Territorial Army Exam  >  Territorial Army Tests  >  Territorial Army Mock Test - 3 - Territorial Army MCQ

Territorial Army Mock Test - 3 - Territorial Army MCQ


Test Description

30 Questions MCQ Test - Territorial Army Mock Test - 3

Territorial Army Mock Test - 3 for Territorial Army 2025 is part of Territorial Army preparation. The Territorial Army Mock Test - 3 questions and answers have been prepared according to the Territorial Army exam syllabus.The Territorial Army Mock Test - 3 MCQs are made for Territorial Army 2025 Exam. Find important definitions, questions, notes, meanings, examples, exercises, MCQs and online tests for Territorial Army Mock Test - 3 below.
Solutions of Territorial Army Mock Test - 3 questions in English are available as part of our course for Territorial Army & Territorial Army Mock Test - 3 solutions in Hindi for Territorial Army course. Download more important topics, notes, lectures and mock test series for Territorial Army Exam by signing up for free. Attempt Territorial Army Mock Test - 3 | 100 questions in 120 minutes | Mock test for Territorial Army preparation | Free important questions MCQ to study for Territorial Army Exam | Download free PDF with solutions
Territorial Army Mock Test - 3 - Question 1

Direction: In each of the following questions, various terms of an alphabet series are given with one missing term as shown by (?)
Choose the missing term out of the given alternatives.
R, U,  X,  A,  D, ?

Detailed Solution for Territorial Army Mock Test - 3 - Question 1

Territorial Army Mock Test - 3 - Question 2

If ‘paper’ is called ‘wood’, ‘wood’ is called ‘straw’, ‘straw’ is called ‘grass’, ‘grass’ is called ‘rubber and ‘rubber’ is called ‘cloth’, what is the furniture made up of ?

Detailed Solution for Territorial Army Mock Test - 3 - Question 2

The furniture is made up of wood’ and as given, wood’ is called ‘straw’.
So, the furniture is made up of ‘straw’.

Territorial Army Mock Test - 3 - Question 3

A, B, C, D and E are five friends. A is shorter than B but taller than E. C is the tallest. D is shorter than B and taller than A. Who has two persons taller and two persons shorter than him/her?

Detailed Solution for Territorial Army Mock Test - 3 - Question 3

We have: E < A < B, A < D < B. Since C is the tallest,
so we have: E < A < D B < C.
Clearly, D lies in the middle.

Territorial Army Mock Test - 3 - Question 4

Directions: In each of the following questions, a series is given, with one term missing. Choose the correct alternative from the given ones that will complete the series.
225,  289,  ? , 441.

Territorial Army Mock Test - 3 - Question 5

PROHIBITION is coded as 68032124205. How will you code INHIBITION?

Territorial Army Mock Test - 3 - Question 6

Which of the following interchange would make the equation  8 × 20 ÷ 3 + 9 – 5 = 38

Territorial Army Mock Test - 3 - Question 7

Direction: Choose the odd one out.

Detailed Solution for Territorial Army Mock Test - 3 - Question 7

All except Cube are two–dimensional plane figures.

Territorial Army Mock Test - 3 - Question 8

If, in a language, ‘finger’ is called ‘toe’, ‘toe’ is called ‘foot’, ‘foot’ is called ‘thumb’, ‘thumb’ is called ‘ankle’, ankle’ is called ‘palm’ and ‘ palm’ is called ‘knee’, then in that language, what will an illiterate man put to mark his signatures?

Detailed Solution for Territorial Army Mock Test - 3 - Question 8

Clearly, an illiterate man puts his ‘thumb’ to mark his signatures. But, as given, ‘thumb’ is called ‘ankle. So, an illiterate man will put his ankle’ to mark his signatures.

Territorial Army Mock Test - 3 - Question 9

Find the missing term.

Detailed Solution for Territorial Army Mock Test - 3 - Question 9

In each row, out of the letters A, B and C, each of these must appear once. In each column, the product of the first and third numbers is equal to the second number. So, the missing number will be (2 × 5) i.e., 10 and the letter will be C.
Thus, the answer is 10C.

Territorial Army Mock Test - 3 - Question 10

Direction Consider the given statements to be true and decide which of the given conclusion/assumptions can definitely be drawn from the given statement 
Statements: 

All good athletes win.
All good athletes eat well.
Conclusions: 
I. All those who eat well are good athletes.
II. All those who win eat well.

Detailed Solution for Territorial Army Mock Test - 3 - Question 10

Since the middle term ‘good athletes’ is distributed twice in the premises, the conclusion must be particular and should not contain the middle term. So it follows that ‘Some of those who win, eat well’

Territorial Army Mock Test - 3 - Question 11

Direction: Each of the following problems, contains 4 figures marked (a), (b), (c), (d).
Find the odd figure.

Detailed Solution for Territorial Army Mock Test - 3 - Question 11

All other figures can be rotated into each other.

Territorial Army Mock Test - 3 - Question 12

In the following figure, the boys who are athletes and disciplined are indicated by which number?

The triangle represents girls, the circle athletes, the rectangle boys and the square disciplined. 

Detailed Solution for Territorial Army Mock Test - 3 - Question 12

The required region is the one which is common to the rectangle, circle and square but lies outside the triangle i.e. 2.

Territorial Army Mock Test - 3 - Question 13

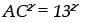
Two poles of heights 6 m. and 11m. stand vertically upright on a plane ground. If the distance between their feet is 12 m. what is the distance between their tops ?

Detailed Solution for Territorial Army Mock Test - 3 - Question 13


Let AB and CD are two poles.
CE = 11 - 6 = 5 m.
BD = AE = 12 m.
AC2 = 122 + 52
       = 144 + 25
      = 169

Distance between their tops = 13m.

Territorial Army Mock Test - 3 - Question 14

What is the total number of three digit numbers with the unit digit 7 and divisible by 11?

Detailed Solution for Territorial Army Mock Test - 3 - Question 14

Three digit numbers with unit digit 7 and divisible by 11 xy7 = Three digit numbers with unit digit 7
x, y are digits from 0 - 9 but x = 0 as
xy7 is three digit number
xy7 is divisible by 11 So
x - y + 7 = 0 x - y + 7 = 0
x + 7 = y
x = 1 or 2
x - 4 = y
x = 4, 5, 6, 7, 8, 9
x -  y + 7 = 22
x - y = 15
Not possible as x -y difference of digit
So possible numbers : 187, 247, 407, 517, 627, 737, 847, 957.

Territorial Army Mock Test - 3 - Question 15

In statistics, a suitable graph for representing the partitioning of total into subpart is?

Territorial Army Mock Test - 3 - Question 16

If sin 17° = x/y  then the value of (sec 17° – sin 73°) is

Detailed Solution for Territorial Army Mock Test - 3 - Question 16


sin 17 ° = x/y

sec17° – sin73°

Territorial Army Mock Test - 3 - Question 17

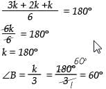
In ∆ABC if 2∠A = 3 ∠B= 6 ∠C value of ∠B is

Detailed Solution for Territorial Army Mock Test - 3 - Question 17


Let 2 ∠A = 3 ∠B = 6 ∠C = k
∠A = 2k ∠B = 3k ∠C = 6k
In ∆ABC ∠A + ∠B + ∠C = 180°
k/2  + 3/k  + 6/k  = 180°

Territorial Army Mock Test - 3 - Question 18

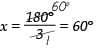
If the compliment of an angle is one fourth of its supplementary angle, then the angle is

Detailed Solution for Territorial Army Mock Test - 3 - Question 18

Let the angle be = x
Compliment of x = 90° – x
Supplement of x = 180° – x
90° – x = 1/4(180° – x)
4(90° – x) = 180° – x
360° – 4x = 180° – x
360° – 180° = 4x – x
3x =  180°

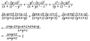
Territorial Army Mock Test - 3 - Question 19

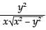
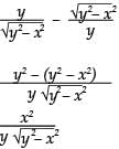
The value of .

Detailed Solution for Territorial Army Mock Test - 3 - Question 19

Territorial Army Mock Test - 3 - Question 20

Directions: In each of the following one word is spelt incorrectly.
Select the word with the incorrect spelling.

Territorial Army Mock Test - 3 - Question 21

A 'slip of the tongue' means something said

Territorial Army Mock Test - 3 - Question 22

Direction: Choose the word which best expresses nearly the same meaning of the given word.
PROLIFIC
 

Territorial Army Mock Test - 3 - Question 23

Direction: Choose the word which best expresses nearly the same meaning of the given word.
RETICENT

Territorial Army Mock Test - 3 - Question 24

Direction: Choose the word which best expresses nearly the same meaning of the given word.
VINDICTIVE

Territorial Army Mock Test - 3 - Question 25

Direction: Choose the word which best expresses the opposite meaning of the word.
PREDILECTION

Territorial Army Mock Test - 3 - Question 26

Who was the first Indian Commander in Chief (C-in- C) of the Indian Army?

Territorial Army Mock Test - 3 - Question 27

The earliest Buddhist literature which deal with the stories of the various birth of Buddha are

Territorial Army Mock Test - 3 - Question 28

Which parts of the Earth’s surface experience least variation in incoming solar radiation throughout the year?

Territorial Army Mock Test - 3 - Question 29

The National Commission for Women was.

Territorial Army Mock Test - 3 - Question 30

Which one of the following constitutional authorities inquires and decides in case of doubts and disputes arising out of election of the President and Vice President of India”

View more questions
Information about Territorial Army Mock Test - 3 Page
In this test you can find the Exam questions for Territorial Army Mock Test - 3 solved & explained in the simplest way possible. Besides giving Questions and answers for Territorial Army Mock Test - 3, EduRev gives you an ample number of Online tests for practice
Download as PDF