Territorial Army Exam  >  Territorial Army Tests  >  Territorial Army Mock Test - 4 - Territorial Army MCQ

Territorial Army Mock Test - 4 - Territorial Army MCQ


Test Description

30 Questions MCQ Test - Territorial Army Mock Test - 4

Territorial Army Mock Test - 4 for Territorial Army 2025 is part of Territorial Army preparation. The Territorial Army Mock Test - 4 questions and answers have been prepared according to the Territorial Army exam syllabus.The Territorial Army Mock Test - 4 MCQs are made for Territorial Army 2025 Exam. Find important definitions, questions, notes, meanings, examples, exercises, MCQs and online tests for Territorial Army Mock Test - 4 below.
Solutions of Territorial Army Mock Test - 4 questions in English are available as part of our course for Territorial Army & Territorial Army Mock Test - 4 solutions in Hindi for Territorial Army course. Download more important topics, notes, lectures and mock test series for Territorial Army Exam by signing up for free. Attempt Territorial Army Mock Test - 4 | 100 questions in 120 minutes | Mock test for Territorial Army preparation | Free important questions MCQ to study for Territorial Army Exam | Download free PDF with solutions
Territorial Army Mock Test - 4 - Question 1

Direction: In each of the following questions, select the related word from the given alternatives:
Amnesia : Memory  ::  Paralysis : ?

Territorial Army Mock Test - 4 - Question 2

Direction: Choose the correct alternative which shows the same relationship.
White : Peace :: Red : ?

Detailed Solution for Territorial Army Mock Test - 4 - Question 2

First is a symbol of the second. 

Territorial Army Mock Test - 4 - Question 3

Amit walked 30 metres towards East, took a right turn and walked 40 metres. Then he took a left turn and walked 30 metres. In which direction is he now from the starting point?

Detailed Solution for Territorial Army Mock Test - 4 - Question 3

The movements of Amit are as shown in Fig. (P to Q. Q to R and R to S).
Clearly, his final position is S which is to the South–east of the starting point P.

Territorial Army Mock Test - 4 - Question 4

Direction Consider the given statements to be true and decide which of the given conclusion/assumptions can definitely be drawn from the given statement 
Statements:

All birds are tall.
Some tall are hens.  
Conclusion:
I. Some birds are hens.
II. Some hens are tall.

Detailed Solution for Territorial Army Mock Test - 4 - Question 4

Since the middle term ‘tall’ is not distributed even once in the premises, no definite conclusion follows. However, II is the converse of the second premise and so it holds.

Territorial Army Mock Test - 4 - Question 5

If × means ÷, – means ×, ÷ means + and + means –,  then (3 – 15 ÷ 19) × 8 + 6 = ?

Detailed Solution for Territorial Army Mock Test - 4 - Question 5

Using the correct symbols, we have:
Given expression = (3 × 15 + 19) ÷ 8 – 6 = 64 ÷ 8 – 6 = 8 – 6 = 2.

Territorial Army Mock Test - 4 - Question 6

Find the missing character in the following figure.

Detailed Solution for Territorial Army Mock Test - 4 - Question 6

Moving clockwise, we have: 594 ÷ 3 = 198;
198 ÷ 3 = 66.
So, missing number 66 ÷ 3 = 22.

Territorial Army Mock Test - 4 - Question 7

Three cubes of metal whose edges are 6 cm, 8 cm and 10 cm respectively are melted and a single cube is formed. What is the length of the edge of the newly formed cube ?

Detailed Solution for Territorial Army Mock Test - 4 - Question 7


Let side of new cube be x
x3 = 63 + 83 + 103
x3 = 216 + 512 + 1000
x3 = 1728

x = 12

Territorial Army Mock Test - 4 - Question 8

Find the wrong number in the sequence 5, 10, 17, 26, 38, 50, 65

Territorial Army Mock Test - 4 - Question 9

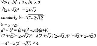
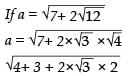
If a =  then (a3 + b3) is equal to

Detailed Solution for Territorial Army Mock Test - 4 - Question 9



64 – 3 (4–3) × 4
64 –12 = 52

Territorial Army Mock Test - 4 - Question 10

A chord of a circle of radius 15 cm subtends deals an angle 60° at the centre find the area of corresponding minor segment of the circle. (use π = 3.14 and √3 = 1.73)

Detailed Solution for Territorial Army Mock Test - 4 - Question 10


OA = OB
∠1 = ∠2               [Angles opposite to equal sides are equal]
60° + ∠1 + ∠2 = 180°
60° + ∠1 + ∠1 = 180°
2 ∠1 = 120°

=  117.75 cm2

1.73/4 × 15 × 15
= 93.3125 cm2
Area of minor segment = 117.75 cm2 – 93.3125 cm2 = 24.4375 cm2  = 24.44 cm2

Territorial Army Mock Test - 4 - Question 11

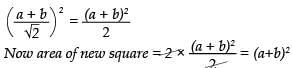
The diagonal of a square A is (a + b). The diagonal of a square whose area is twice the area of square A.

Detailed Solution for Territorial Army Mock Test - 4 - Question 11

Let side of sq. be s.

√2 s = a + b
s = a + b/√2
Area of sq A = side2

side2 = (a + b)2
side = a + b
diagonal of new side = √2 side
= √2  (a + b)

Territorial Army Mock Test - 4 - Question 12

Directions: In these questions, out of the four alternatives, choose the one which expresses the meaning of the word given in the bold.
Conscientious

Territorial Army Mock Test - 4 - Question 13

Directions: In these questions, choose the word opposite in meaning to the word given in the bold.
Impoverished
 

Territorial Army Mock Test - 4 - Question 14

Direction: Choose the word which best expresses nearly the same meaning of the given word.
TALISMAN

Territorial Army Mock Test - 4 - Question 15

Direction: Choose the word which best expresses nearly the same meaning of the given word.
TRIVIAL

Territorial Army Mock Test - 4 - Question 16

Direction: Choose the word which best expresses nearly the same meaning of the given word.
COLLAPSE

Territorial Army Mock Test - 4 - Question 17

Fill up the blanks with the most appropriate word from the option given below.
Real friends, genuinely wanting the best for the organisation, ___________ different garbs.

Territorial Army Mock Test - 4 - Question 18

Direction: In each of the following question out of the four alternatives, choose the one which can be substitute for the given word/ sentence. 
That which cannot be corrected

Territorial Army Mock Test - 4 - Question 19

Direction: In these questions, the first and last sentences of the passage are numbered 1 and 6. The rest of passage is split into four parts and named P, Q, R and S. These four parts are not given in their proper order. Read the sentence and find out which of the four combinations is correct.
S1: All the land was covered by the ocean.
P: The leading god fought the monster, killed it and chopped its body in to two halves.
Q: A terrible monster prevented the gods from separating the land from the water.
R: The god made the sky out of the upper part of the body and ornamented it with stars.
S: The god created the earth from the lower part, grew plants on it and populated it with animals.
S6: The god moulded the first people out of clay according to his own image and mind. 
The Proper sequence should be:

Territorial Army Mock Test - 4 - Question 20

Sahara is located in which part of Africa?

Territorial Army Mock Test - 4 - Question 21

Convertibility of rupee implies

Territorial Army Mock Test - 4 - Question 22

Which one of the following elements is essential for the formation of chlorophyll in green plants?

Territorial Army Mock Test - 4 - Question 23

The University of Nalanda was set-up by which Gupta ruler?

Territorial Army Mock Test - 4 - Question 24

The suppression of Indian language newspapers under the Vernacular Press Act of 1878 was caused by the criticism of

Territorial Army Mock Test - 4 - Question 25

The living content of cell is called protoplasm. It is  composed of:

Territorial Army Mock Test - 4 - Question 26

In 1856, Awadh would not have been annexed with the British Empire if the Nawab of Awadh had

Territorial Army Mock Test - 4 - Question 27

A writ issued to secure the release of a person detained illegally is found to be.

Territorial Army Mock Test - 4 - Question 28

‘Prahaar’ is.

Territorial Army Mock Test - 4 - Question 29

In which state is the India’s largest floating solar power plant is proposed to be set up?

Territorial Army Mock Test - 4 - Question 30

Which Indian IT major has recently obtained Google Cloud Partner status?

View more questions
Information about Territorial Army Mock Test - 4 Page
In this test you can find the Exam questions for Territorial Army Mock Test - 4 solved & explained in the simplest way possible. Besides giving Questions and answers for Territorial Army Mock Test - 4, EduRev gives you an ample number of Online tests for practice
Download as PDF