DGAFMS Group C Exam  >  DGAFMS Group C Tests  >  DGAFMS Group C Mock Test - 3 - DGAFMS Group C MCQ

DGAFMS Group C Mock Test - 3 - DGAFMS Group C MCQ


Test Description

30 Questions MCQ Test - DGAFMS Group C Mock Test - 3

DGAFMS Group C Mock Test - 3 for DGAFMS Group C 2025 is part of DGAFMS Group C preparation. The DGAFMS Group C Mock Test - 3 questions and answers have been prepared according to the DGAFMS Group C exam syllabus.The DGAFMS Group C Mock Test - 3 MCQs are made for DGAFMS Group C 2025 Exam. Find important definitions, questions, notes, meanings, examples, exercises, MCQs and online tests for DGAFMS Group C Mock Test - 3 below.
Solutions of DGAFMS Group C Mock Test - 3 questions in English are available as part of our course for DGAFMS Group C & DGAFMS Group C Mock Test - 3 solutions in Hindi for DGAFMS Group C course. Download more important topics, notes, lectures and mock test series for DGAFMS Group C Exam by signing up for free. Attempt DGAFMS Group C Mock Test - 3 | 100 questions in 120 minutes | Mock test for DGAFMS Group C preparation | Free important questions MCQ to study for DGAFMS Group C Exam | Download free PDF with solutions
DGAFMS Group C Mock Test - 3 - Question 1

Select the option figure that can replace the question mark (?) in the figure given below to complete the pattern.

Detailed Solution for DGAFMS Group C Mock Test - 3 - Question 1

The figure that will replace the question mark in order to complete the pattern is-

Therefore, we see the figure in the third option completes the pattern.
Hence, the correct answer is "Option 4".

DGAFMS Group C Mock Test - 3 - Question 2

In the following question, select the figure which can be placed at the sign of question mark (?) from the given alternatives.

Detailed Solution for DGAFMS Group C Mock Test - 3 - Question 2

The logic followed here is:
1) The elements shift anticlockwise subsequently.

Thus, the final series is:

Hence, "Option 4" is the correct answer.

DGAFMS Group C Mock Test - 3 - Question 3

Select the correct mirror image of the given figure when the mirror is placed at MN as shown below.

Detailed Solution for DGAFMS Group C Mock Test - 3 - Question 3

The correct mirror image of the given figure is:

Hence, the correct answer is "Option 1".

DGAFMS Group C Mock Test - 3 - Question 4

Pointing to a boy in a television advertisement, Rajinii said, "He is the brother of the daughter of the wife of my husband." How is the boy in a television advertisement related to Rajinii?

Detailed Solution for DGAFMS Group C Mock Test - 3 - Question 4

Preparing the family tree using the following symbols,

Given:

  • "He is the brother of the daughter of the wife of my husband."
  • Break the statement: Rajinii husband wife is Rajinii

We can draw the following Family Tree from the information given above:

Hence, the boy is the "Son" of Rajinii.

DGAFMS Group C Mock Test - 3 - Question 5

Select the correct mirror image of the given figure when the mirror is placed at 'MN' as shown below.

Detailed Solution for DGAFMS Group C Mock Test - 3 - Question 5

The correct mirror image of the given figure is:

Hence, the correct answer is "Option 3".

DGAFMS Group C Mock Test - 3 - Question 6

Select the option that is embedded in the given figure (rotation is NOT allowed).

Detailed Solution for DGAFMS Group C Mock Test - 3 - Question 6

We analyze the given options and see whether the options can be embedded in the given figure:
Option 1) The figure can be embedded.
Option 2) The figure cannot be embedded.
Option 3) The figure cannot be embedded.
Option 4) The figure cannot be embedded.
Hence the correct answer is option 1)

DGAFMS Group C Mock Test - 3 - Question 7

Directions: The question given below is followed by two arguments numbered I and II. You have to decide which of the argument is a strong argument and which is a weak argument.
Statement: Should physical education be made compulsory in the Indian education system?
Arguments:
I. Yes, it helps in the fitness of students.
II. No, the students will be diverted from their studies.

Detailed Solution for DGAFMS Group C Mock Test - 3 - Question 7

Option 1 is the correct answer. As we know that physical education is an important factor for students because it helps to keep the students healthy. So, the argument I is strong. Physical education does not affect the studies of the students if their time is managed properly. So, argument II is weak here.

DGAFMS Group C Mock Test - 3 - Question 8
While traveling from Nashik to Daman, Harsh drove for 1 hour at a speed of 50 km/h and for the next three hours at 60 km/h. What was his average speed for the whole trip?
Detailed Solution for DGAFMS Group C Mock Test - 3 - Question 8

Given:

Harsh travels from Nashik to Damant for 1 hr with a speed of 50 km/h,

Again 3 hr with a speed of 60 km/h

Concept used:

Average speed = (Total distance)/(Total time)

Calculation:

⇒ Average speed = (1 × 50 + 3 × 60)/( 1 + 3)

⇒ Average speed = (50 + 180)/4 = 57.5 km/h

∴ The average speed of Harsh is 57.5 km/h.

DGAFMS Group C Mock Test - 3 - Question 9
Number of years in which a sum of money triples itself when the rate of interest being 5% is
Detailed Solution for DGAFMS Group C Mock Test - 3 - Question 9

Given:

The sum of money triples itself.

Rate of interest = 5%

Concept used:

Simple interest = PRT/100

Amount = SI + P

P → principal R → rate of interest T → time

Calculation:

Amount = 3P

Simple interest = 3P - P = 2P

2P = P × 5 × T/100

T = 200/5 = 40 years

∴ The number of years by which a sum will triple itself at 5% p.a is 40 years.

DGAFMS Group C Mock Test - 3 - Question 10

If , then what will be the value of following-

Detailed Solution for DGAFMS Group C Mock Test - 3 - Question 10

Concept:

=

Calculation:

Given,

= = = = 5.4

​​​​ = = = = 0.54

​​​​ = = = = 0.054

​​​​ = = = = 0.0054

= 5.4 + 0.54 + 0.054 + 0.0054

= 5.9994

= 5.9994

DGAFMS Group C Mock Test - 3 - Question 11

One dozen books quoted at ₹120 are available at 15% discount. How many books can be bought for ₹51?

Detailed Solution for DGAFMS Group C Mock Test - 3 - Question 11

Given:

  • Marked price of a dozen books = Rs. 120
  • Discount = 15 %

Concept Used:

  • Selling Price = Marked Price – Discount

Calculation:

  • ⇒ Marked Price of 12 books = Rs. 120
  • ⇒ Marked Price of 1 book = 120 ÷ 12 = Rs. 10
  • ⇒ Discount = 15 % of MP = 15/100 × 10 = Rs. 1.5
  • ⇒ Selling Price of 1 book = 10 – 1.5 = Rs. 8.5

⇒ Number of books that can be bought for Rs. 51 = 51 ÷ 8.5 = 6
Hence, 6 books can be bought for Rs. 51

DGAFMS Group C Mock Test - 3 - Question 12
U and V started a business by investing amounts Rs. 184000 and Rs. 224000 respectively. If U’s share in the profit received at the end of year is Rs. 20700, then what will be the total profit (in Rs.) earned by them together?
Detailed Solution for DGAFMS Group C Mock Test - 3 - Question 12

Ratio of profit = (investment × time) of U ∶ (investment × time) of V

Ratio of profit = (184000 × 1) ∶ (224000 × 1) = 23 ∶ 28

U’s share in profit = {23/(23 + 28)} × Total profit = (23/51) × total profit

According to the question,

(23/51) × total profit = 20700

∴ Total profit = 20700 × (51/23) = 45900
DGAFMS Group C Mock Test - 3 - Question 13
Twenty seven years ago, at the time of marriage, the average age of a couple was 25 years. Now they have a daughter of age 25 years. What is the average age of the family?
Detailed Solution for DGAFMS Group C Mock Test - 3 - Question 13

Given:

The average age of the couple 27 years ago = 25 years

The daughter's present age is 25 years

Formula used:

Average = sum of all terms/number of terms

Concept:

If operations(+, -, ×, ÷ ) are performed on all the terms of an average then it also affects the average.

for eg:

Let A be the average of a and b

If after adding n in both the terms it becomes a + n and b + n

Then, the New average will be A + n

Calculation:

Let the present age of wife and husband be x and y

Average 27 years back,

Age of the wife 27 years ago = x - 27

Age of the husband 27 years ago = y - 27

Average 27 years ago = 25

⇒ (x - 27 + y - 27)/2 = 25

⇒ x + y = 104

∴ Sum of the present ages of couple = 50 + 54 = 104

Average age of family = (104 + 25)/3 = 43

∴ The average age of the family is 43 years.

DGAFMS Group C Mock Test - 3 - Question 14
If x (x + y + z) = 30, y (x + y + z) = 64, z (x + y + z) = 50, then find the value of 2(x + y + z), where x, y, z > 0.
Detailed Solution for DGAFMS Group C Mock Test - 3 - Question 14

Given:

x(x + y + z) = 30 -----(1)

y(x + y + z) = 64 -----(2)

z(x + y + z) = 50 -----(3)

Where x, y, z > 0.

Calculation:

By adding the equations (1), (2), and (3) we get

[x (x + y + z)] + [y (x + y + z)] + [z (x + y + z)] = 144

Taking (x + y + z) common,

⇒ (x + y + z) (x + y + z) = 144

⇒ (x + y + z)2 = 144

⇒ (x + y + z) = 12

Multiplying 2 on both sides,

⇒ 2 (x + y + z) = 24

∴ The value of 2(x + y + z) is 24.

DGAFMS Group C Mock Test - 3 - Question 15

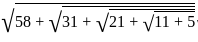
The value of is:

Detailed Solution for DGAFMS Group C Mock Test - 3 - Question 15

Given:

? =

Concept:

Calculation:

⇒ ? =

⇒ ? = [87 + 46]/[25 - 2/3 × {90 ÷ 15}]

⇒ ? = 133/[25 - 2/3 × 6]

⇒ ? = 133/[25 - 4]

⇒ ? = 19/3

=

DGAFMS Group C Mock Test - 3 - Question 16
If the number 59a44b is divisible by 36, then the maximum value of a + b is:
Detailed Solution for DGAFMS Group C Mock Test - 3 - Question 16

Given:

The number 59a44b is divisible by 36.

Formula:

Divisibility law of 9 ⇒ A number is divisible by 9 if sum of its digit is divisible by 9.

Divisibility law of 4 ⇒ A number divisible by 4 if its last two digit is divisible by 4

Calculation:

The number 59a44b is divisible by 4 if 4b is divisible by 4.

4b is divisible by 4,

if b = 0, 4 or 8

If b = 0, then 59a440

59a440 divisible by 9 if

5 + 9 + a + 4 + 4 + 0

⇒ 22 + a (if a = 5)

⇒ 22 + 5

⇒ 27 (27 divisible by 9)

Again,

If b = 4, then

⇒ 5 + 9 + a + 4 + 4 + 4

⇒ 26 + a (if a = 1)

⇒ 26 + 1

⇒ 27 (27 divisible by 9)

Again,

If b = 8, then

⇒ 5 + 9 + a + 4 + 4 + 8

⇒ 30 + a (if a = 6)

⇒ 30 + 6

⇒ 36 (36 divisible by 9)

For maximum value

b = 8 and a = 6

⇒ a + b

⇒ 6 + 8

⇒ 14

DGAFMS Group C Mock Test - 3 - Question 17
Find the value of
Detailed Solution for DGAFMS Group C Mock Test - 3 - Question 17

Given:

The expression =

Calculation:

⇒ 8

∴ The required result will be 8.

DGAFMS Group C Mock Test - 3 - Question 18
We could do nothing but □( ) his movements silently. The correct non-finite verb to complete the sentence is:
Detailed Solution for DGAFMS Group C Mock Test - 3 - Question 18
The correct answer is 'watch'.
Explanation
  • The verb "watch" is in its base form and fits correctly in the sentence.
  • The sentence "We could do nothing but watch his movements silently" requires a base form of the verb after "but".
  • Options 1, 2, and 3 are grammatically incorrect in this context.
Therefore, the correct answer is Option 4.
Complete Sentence: "We could do nothing but watch his movements silently."
Additional Information
  • Option 1: "to watch" is incorrect because the infinitive form is not needed here.
  • Option 2: "watching" is incorrect; the gerund form does not fit in this construction.
  • Option 3: "watched" is incorrect because the past tense does not fit in this construction.
DGAFMS Group C Mock Test - 3 - Question 19

Select the most appropriate ANTONYM of the given word.
Admiration

Detailed Solution for DGAFMS Group C Mock Test - 3 - Question 19

The correct answer is D. Contempt

The term "Admiration" signifies a feeling of deep respect and approval. For instance, one might admire a beautiful sunset. In contrast, "Contempt" denotes a belief that someone or something is unworthy or deserving of disdain, as illustrated when someone speaks with contempt about government corruption. Therefore, the antonym of "admiration" is clearly "contempt."

Details on Other Options:

  • A: "Diminish" means to reduce in size or importance, which does not relate to "admiration" as it does not convey a contrasting sentiment.
  • B: "Cognisance" refers to awareness or knowledge, and it does not serve as an opposite to "admiration," lacking any emotional context.
  • C: "Accomplish" means to successfully complete a task, which is unrelated to the concept of admiration and does not express an opposing feeling.

Conclusion:

Option: D, as the most accurate and relevant choice, stands out for its direct opposition to "admiration," clearly distinguishing it from the other options. Thus, Contempt is the correct choice.

DGAFMS Group C Mock Test - 3 - Question 20

Select the most appropriate option to fill in the blank.
Online shopping refers to purchasing goods available on the world wide web. You have different websites which have a huge __________ of products that you can choose from.

Detailed Solution for DGAFMS Group C Mock Test - 3 - Question 20

The correct answer is D. assortment

Online shopping involves purchasing items from various websites, which provide a vast selection or assortment of products. The term "assortment" signifies a diverse collection of different items, making it the most suitable choice in this context. The other options—"assignment," "assessment," and "appraisal"—do not convey the intended meaning of variety in products available for purchase.

Details on Other Options:

  • A: This option is incorrect because "assignment" refers to a task or piece of work, which does not relate to the variety of products.
  • B: This option is incorrect as "assessment" pertains to evaluating something's quality or nature, rather than indicating a collection of items.
  • C: This option is incorrect since "appraisal" involves assessing value, which does not fit the context of a range of products.

Conclusion:

Option: D, as the most accurate and relevant choice, emphasizes the diversity of products available in online shopping, clearly distinguishing it from the other options. Thus, assortment is the correct choice.

DGAFMS Group C Mock Test - 3 - Question 21

Fill in the blanks with a suitable collective noun from the given options:

The _________ aboard the aircraft were very friendly.

Detailed Solution for DGAFMS Group C Mock Test - 3 - Question 21

The correct answer is D. crew

The term "crew" serves as a collective noun denoting a group of individuals working together on a vehicle, such as an aircraft. In the context of the sentence, it specifically refers to the personnel operating the aircraft, making "crew" the most appropriate choice among the options provided.

Details on Other Options:

  • A: This option is incorrect because "staff" is a broader term that can refer to any group of employees but does not specifically indicate those working on an aircraft.
  • B: This option is incorrect as "workers" is a general term that lacks the specificity and context of a collective noun for those operating a vehicle.
  • C: This option is incorrect since "employees" is a general term that does not convey the specific group working on an aircraft, lacking the nuance of a collective noun.

Conclusion:

The D, as the most accurate and relevant option, stands out for its specific reference to the group working on the aircraft, clearly differentiating it from the other options. Thus, crew is the correct choice.

DGAFMS Group C Mock Test - 3 - Question 22
Select the most appropriate synonym of the given word: Flawed.
Detailed Solution for DGAFMS Group C Mock Test - 3 - Question 22

The correct answer is C. Awry

The term "flawed" denotes something that has imperfections or errors, indicating a lack of perfection. For example, a flawed plan may require major adjustments to work effectively. Conversely, "awry" signifies that something has deviated from what is expected or has gone wrong. An example would be when plans go awry due to unforeseen circumstances, highlighting the similarity in meaning to "flawed."

Details on Other Options:

  • A: This option is incorrect because "florid" describes something overly ornate or complex, which does not convey the idea of imperfection.
  • B: This option is incorrect as "suitable" means appropriate or fitting for a specific purpose, lacking the connotation of flaws or errors.
  • D: This option is incorrect since "proper" refers to something that is correct or socially acceptable, which does not relate to the concept of being flawed.

Conclusion:

Option: C, as the most accurate and relevant choice, reflects the essence of imperfection, clearly distinguishing it from the other options. Thus, Awry is the correct selection.

DGAFMS Group C Mock Test - 3 - Question 23

Select the most appropriate option to fill in blank number 5.

Detailed Solution for DGAFMS Group C Mock Test - 3 - Question 23
The correct answer is Option 4)
Explanation
  • The passage discusses the lasting impression and effect that a work of art can have on our senses.
  • "Impact" is the most appropriate word as it conveys the powerful influence and strong effect that the work of art leaves on us.
  • Other options like "affect", "result", and "blow" do not appropriately convey the intended meaning of a significant and lasting influence.
  • The correct word to be placed in fill in the blank no. 5 is 'Impact.'
  • Therefore the correct statement from he given passage is "he reminds us that it is important to visit museums in our country to experience the impact that a work of art leaves on our senses, to find among all the riches one particular vision of beauty that speaks to us alone..."
Other Related Points
  • "Affect" means to have an influence on or cause a change in, which is similar but less appropriate compared to "impact" in this context.
  • "Result" means the outcome of an action, which does not fit as well in the context of the description of art's effect on our senses.
  • "Blow" means a sudden shock or disappointment, which is not suitable in this context.
DGAFMS Group C Mock Test - 3 - Question 24

Direction: Select the option that is opposite in meaning to the given bold word and mark your response accordingly.
He had made his decision before they arrived, and he remained adamant.

Detailed Solution for DGAFMS Group C Mock Test - 3 - Question 24

The correct answer is C. flexible

The term adamant refers to someone who is unyielding and refuses to change their mind. In contrast, flexible describes someone who is adaptable and willing to change according to circumstances. Thus, flexible serves as the appropriate antonym for adamant.

Details on Other Options:

  • A: obstinate refers to being stubbornly persistent, often to the point of being unreasonable, which aligns closely with adamant, making it an unsuitable antonym.
  • B: dogged indicates a determined approach to achieving something, even amidst difficulty, which does not oppose the inflexibility implied by adamant.
  • D: stubborn describes a similar quality to adamant, as both terms imply an unwillingness to change one's stance or opinion.

Conclusion:

Option: C, as the most fitting antonym, highlights the contrast between rigidity and adaptability, clearly setting it apart from the other options. Thus, flexible is the correct choice.

DGAFMS Group C Mock Test - 3 - Question 25

Directions: Select the most appropriate meaning of the given idiom.
Lean and mean

Detailed Solution for DGAFMS Group C Mock Test - 3 - Question 25

The correct answer is D. Ready and efficient

The idiom lean and mean signifies being prepared, capable, and eager to work diligently to achieve goals, particularly in an effective or dominant way. For instance, one might say, "Our team has been training rigorously, so we are looking lean and mean this season." This reflects a state of readiness and efficiency.

Details on Other Options:

  • A: This option is incorrect because "fat and lazy" conveys a negative connotation of inactivity and lack of effort, which contradicts the proactive essence of the idiom.
  • B: This option is inappropriate as "evil and selfish" does not align with the meaning of being efficient or ready; it instead suggests a moral judgment that is irrelevant to the idiom.
  • C: This option is misleading since "thin and weak" implies a lack of strength or capability, which is opposite to the intended meaning of being effective and strong in performance.

Conclusion:

Option: D, as the most accurate and relevant choice, emphasizes readiness and efficiency, distinguishing it from the other options. Thus, Ready and efficient is the correct interpretation of the idiom.

DGAFMS Group C Mock Test - 3 - Question 26

Choose the correct statement regarding Republic Day 2025?

1. India confirmed Indonesian President Prabowo Subianto's state visit from January 25-26 as the chief guest for the 76th Republic Day.
2. The theme for the year 2025 is “Swarnim Bharat: Virasat or Vikas”.

Detailed Solution for DGAFMS Group C Mock Test - 3 - Question 26

The correct answer is C. Both 1 and 2

Both statements regarding Republic Day 2025 are accurate. Indonesian President Prabowo Subianto is confirmed as the chief guest for the 76th Republic Day celebrations on January 26, 2025, and the theme for the event is “Swarnim Bharat: Virasat or Vikas.” These details highlight the significance of the occasion in promoting India's international relations and cultural heritage.

Details on Other Options:

  • A: This option is incorrect because it only acknowledges the first statement about President Subianto's visit, neglecting the accurate theme of the celebrations.
  • B: This option is incorrect as it recognizes only the theme, missing the confirmation of President Subianto as the chief guest.
  • D: This option is incorrect since it dismisses both statements, which are both valid and relevant to Republic Day 2025.

Conclusion:

Option: C, as the most accurate and relevant choice, encompasses both the confirmation of the chief guest and the theme for Republic Day 2025, clearly distinguishing it from the other options. Thus, Both 1 and 2 is the correct choice.

DGAFMS Group C Mock Test - 3 - Question 27
What is India's rank globally in terms of the size of its National Highway network?
Detailed Solution for DGAFMS Group C Mock Test - 3 - Question 27

The correct answer is B. Second

India ranks as the second-largest country globally in terms of its National Highway network, having experienced a remarkable 60% growth over the last decade.

Details on Other Options:

  • A: This option is incorrect because India is not the largest; it ranks second, with the United States holding the top position in terms of National Highway length.
  • C: This option is incorrect as it underestimates India's position; India is actually second, not third, which reflects significant infrastructure development.
  • D: This option is incorrect since ranking fourth does not align with the current data, which clearly places India in the second position globally.

Conclusion:

Option: B, as the most accurate and relevant option, stands out for its reflection of India's substantial highway network growth, clearly differentiating it from the other options. Thus, Second is the correct choice.

DGAFMS Group C Mock Test - 3 - Question 28
Which of the following is not one of the writings of Lala Lajpat Rai?
Detailed Solution for DGAFMS Group C Mock Test - 3 - Question 28

The correct answer is India Wins Freedom.

Explanation

  • India Wins Freedom is a fascinating description of the partition from the standpoint of the author, Maulana Azad.
  • It details his personal experiences following India's independence as well as his views on freedom and liberty.
  • The Story of My Deportation, unhappy India and Arya Samaj was written by Lala Lajpat Rai.
  • Lala Lajpat Rai was an Indian author, political activist, and freedom warrior. He was a key figure in the Indian independence struggle. Punjab Kesari was his popular moniker.
  • He was one of the Lal Bal Pal triumvirate's three members.
  • In 1894, he was also involved in the early phases of the Punjab National Bank and the Lakshmi Insurance Company.
  • He died a few weeks after incurring serious injuries while leading a peaceful protest march against the all-British Simon CommissIndian constitutional change when he was attacked by cops with a baton.
DGAFMS Group C Mock Test - 3 - Question 29
Transverse sand dunes in the Thar desert are known as:
Detailed Solution for DGAFMS Group C Mock Test - 3 - Question 29

The correct answer is Barkhans

Explanation

  • Aeolian Landforms are landforms that are formed by the wind's erosional and depositional actions.
  • Barkhan is a crescent-shaped sand dune produced by the action of wind predominately from one direction.
  • One of the commonest types of dunes, it occurs in sandy deserts all over the world.

Other Related PointsSeif Dunes :

  • The Seif dune is also crescent-shaped but it is a Long type.
  • Seif dunes are associated with bidirectional winds.
  • The long axes and ridges of these dunes extend along the resultant direction of sand movement.

Yardangs :

  • Yardangs are parallel troughs cut into softer rock running in the direction of the wind, separated by ridges.
  • They are formed by wind erosion through the abrasion process.
  • The direction of the yardangs can indicate the direction of the prevailing wind.

Zeugen :

  • Zeugen is a table-shaped area of rock found in arid and semi-arid areas formed when more resistant rock is reduced at a slower rate than softer rocks around it under the effects of wind erosion.
  • It is usually composed of alternating layers of hard and soft rocks.
DGAFMS Group C Mock Test - 3 - Question 30

Consider the following:

  1. Theosophical Society
  2. Home Rule League
  3. Women's Indian Association

Annie Besant is associated with the establishment of which of the above?

Detailed Solution for DGAFMS Group C Mock Test - 3 - Question 30

The correct answer is ​2 and 3 only.Explanation

  • Annie Besant was a British socialist, theosophist, women's rights activist, writer, orator, educationist, and philanthropist.
  • Regarded as a champion of human freedom, she was an ardent supporter of both Irish and Indian self-rule.
  • As an educationist, her contributions included being one of the founders of the Banaras Hindu University.
  • In 1907 she became president of the Theosophical Society, whose international headquarters were, by then, located in Adyar, Madras, (Chennai).
    • Theosophical Society was established by a group of westerners- Madame H.P.Blavatsky and Colonel M.S. Olcott, who were inspired by Indian thought and culture.
    • Initially, it was set in New York and later they shifted their headquarters to Adyar, Madras in India.
    • Therefore though Annie Besant was associated with the Theosophical Society she wasn't involved in its establishment. Hence, 1 is not correct.
  • Annie Besant also became involved in politics in India, joining the Indian National Congress. When World War I broke out in 1914, she helped launch the Home Rule League to campaign for democracy in India, and dominion status within the British Empire. Hence, 2 is correct.
    • This led to her election as president of the Indian National Congress, in late 1917.
  • The Women's Indian Association (WIA) was founded at Adayar, Madras, in 1917 by Annie Besant, Margaret Cousins, Jeena Raja Dasa, and others. Hence, 3 is correct.
    • Its aim was to liberate women from the deplorable condition women suffered in socio-economic and political matters during the 19th and the early 20th century.

View more questions
Information about DGAFMS Group C Mock Test - 3 Page
In this test you can find the Exam questions for DGAFMS Group C Mock Test - 3 solved & explained in the simplest way possible. Besides giving Questions and answers for DGAFMS Group C Mock Test - 3, EduRev gives you an ample number of Online tests for practice
Download as PDF