Civil Engineering (CE) Exam  >  Civil Engineering (CE) Tests  >  JKSSB JE Civil Mock Test - 2 - Civil Engineering (CE) MCQ

JKSSB JE Civil Mock Test - 2 - Civil Engineering (CE) MCQ


Test Description

30 Questions MCQ Test - JKSSB JE Civil Mock Test - 2

JKSSB JE Civil Mock Test - 2 for Civil Engineering (CE) 2025 is part of Civil Engineering (CE) preparation. The JKSSB JE Civil Mock Test - 2 questions and answers have been prepared according to the Civil Engineering (CE) exam syllabus.The JKSSB JE Civil Mock Test - 2 MCQs are made for Civil Engineering (CE) 2025 Exam. Find important definitions, questions, notes, meanings, examples, exercises, MCQs and online tests for JKSSB JE Civil Mock Test - 2 below.
Solutions of JKSSB JE Civil Mock Test - 2 questions in English are available as part of our course for Civil Engineering (CE) & JKSSB JE Civil Mock Test - 2 solutions in Hindi for Civil Engineering (CE) course. Download more important topics, notes, lectures and mock test series for Civil Engineering (CE) Exam by signing up for free. Attempt JKSSB JE Civil Mock Test - 2 | 120 questions in 120 minutes | Mock test for Civil Engineering (CE) preparation | Free important questions MCQ to study for Civil Engineering (CE) Exam | Download free PDF with solutions
JKSSB JE Civil Mock Test - 2 - Question 1

Fill in the blank given below.

________ means original cost of construction of property whereas _______ means present value of property which may be higher or lower than former.

Detailed Solution for JKSSB JE Civil Mock Test - 2 - Question 1

Cost means original cost of construction of property or purchase whereas value means present value of property which may be higher or lower than former.

JKSSB JE Civil Mock Test - 2 - Question 2

NTU is a unit of,

Detailed Solution for JKSSB JE Civil Mock Test - 2 - Question 2

Parameters and their units-

  • Turbidity unit-NTU
  • Odour-expressed in terms of threshold odour number
  • Colour- cobalt units
  • Solids-mg/l
JKSSB JE Civil Mock Test - 2 - Question 3

A concrete has a pulse velocity reading as 5500 m/s. The concrete can be classified as,

Detailed Solution for JKSSB JE Civil Mock Test - 2 - Question 3

Non-destructive testing of concrete:

Ultrasonic test-

JKSSB JE Civil Mock Test - 2 - Question 4

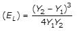
A sluice gate discharges water into a horizontal rectangular channel with some velocity. Depth of flow before and after the jump are 2m and 5m respectively. Energy loss will be,

Detailed Solution for JKSSB JE Civil Mock Test - 2 - Question 4

Energy loss in the hydraulic jump

Depth of flow before hydraulic jump (Y1) = 2 m
Depth of flow after hydraulic jump (Y2) = 5 m

JKSSB JE Civil Mock Test - 2 - Question 5

The slope at which the sewer is laid should be designed for,

Detailed Solution for JKSSB JE Civil Mock Test - 2 - Question 5
  • The minimum flow of sewage passing through the sewer is an important factor in the design of a sewer.
  • At low flow, velocity will be considerably reduced causing silting
  • To avoid this, slope at which the sewer has to be laid is decided in accordance with the requirement of Minimum permissible velocity at minimum hourly discharge.
JKSSB JE Civil Mock Test - 2 - Question 6

For a rectangular channel of width 'b' and depth of flow 'd', section will be most economical when,

Detailed Solution for JKSSB JE Civil Mock Test - 2 - Question 6

Most economical rectangular channel:
Wetted perimeter (P)= b +2d = A/d +2d
For most economical section, dP/d(d) = 0
dP/d(d) = -A/d2+2 = 0
A = 2d2
bd = 2d2
b = 2d

JKSSB JE Civil Mock Test - 2 - Question 7

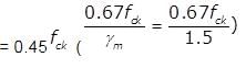
If fck is the characteristic compressive strength of concrete, then the maximum design compressive strength of concrete is,

Detailed Solution for JKSSB JE Civil Mock Test - 2 - Question 7

As per IS 456:2000 Cl.38.1(c),Fig.21-

Stress strain curve for concrete is given below. For design purposes, the compressive strength of concrete in the structure shall be assumed to be 0.67 times the characteristic strength. The partial safety factor of 1.5 shall be applied in addition to this. Therefore,
maximum compressive strength of concrete = 0.67fck  
design maximum compressive strength of concrete 

JKSSB JE Civil Mock Test - 2 - Question 8

Quantities for earthwork, damp proof course and plastering respectively are measured in,

Detailed Solution for JKSSB JE Civil Mock Test - 2 - Question 8

Earthwork- cu m
Damp proof course-sq m
Plastering- sq m

JKSSB JE Civil Mock Test - 2 - Question 9

What will be the pressure difference in a 5m length of a circular pipe of diameter 200 mm, through which a fluid having viscosity of 0.2 poise and relative density as 0.2, is flowing with velocity of 0.5 m/s?

Detailed Solution for JKSSB JE Civil Mock Test - 2 - Question 9

Viscosity = 0.2 poise = 0.2/10 Ns/m2 = 0.02 Ns/m2

As it is less than 2000,the flow is laminar.

JKSSB JE Civil Mock Test - 2 - Question 10

A fluid having kinematic viscosity of 0.02 stokes is carried by a pipeline. If shear velocity and the average height of irregularities projecting from the surface of the boundary of pipe is 0.06 m/s and 10 mm respectively, roughness Reynold's number will be,

Detailed Solution for JKSSB JE Civil Mock Test - 2 - Question 10

Kinematic viscosity = 0.02 stoke = 0.02 x 10-4 m2/s

JKSSB JE Civil Mock Test - 2 - Question 11

Which of the following is not correct for contours?

Detailed Solution for JKSSB JE Civil Mock Test - 2 - Question 11

A closed contour line represents either depression or hill. A set of ring contours with higher values inside, represents a hill whereas the lower value inside, represents a depression (without an outlet).

JKSSB JE Civil Mock Test - 2 - Question 12

A single room building is 6 m x 5 m. Total centre length of walls which are 30 cm thick is,

Detailed Solution for JKSSB JE Civil Mock Test - 2 - Question 12

centre line method-
Thickness of the wall = 30 cm
centre to centre length of long wall= 6 + 0.15 + 0.15 = 6.3 m
centre to centre length of short wall= 5 + 0.15 + 0.15 = 5.3 m
Total centre length = (2 x centre to centre length of long wall) + (2 x centre to centre length of short wall)
= 2 x 6.3 + 2 x 5.3
= 23.2 m

JKSSB JE Civil Mock Test - 2 - Question 13

If the back bearing of a line is 95o, what will be its fore bearing?

Detailed Solution for JKSSB JE Civil Mock Test - 2 - Question 13

Back bearing = fore bearing ± 180o
Fore bearing = 95 + 180 = 275o

JKSSB JE Civil Mock Test - 2 - Question 14

If coefficient of linear expansion is 12x10-6/oC for a steel bar subjected to a temperature raise by 18oC, what will be the temperature strain in it?

Detailed Solution for JKSSB JE Civil Mock Test - 2 - Question 14

Temperature strain = coefficient of linear expansion x temperature difference
= 18 x 12 x10-6
= 0.000216
If the temperature is decreased, temperature stress and strain will be tensile in nature and when temperature is increased, temperature stress and strain will be compressive in nature.

JKSSB JE Civil Mock Test - 2 - Question 15

As per Indian railways standards in which of the following test a rail specimen should withstand the blow without fracture?

Detailed Solution for JKSSB JE Civil Mock Test - 2 - Question 15

Falling weight test/tup test- As per Indian railways standards a rail specimen should withstand the blow without fracture. One Test per cast shall be carried out. Sample for 20% (minimum) of the fresh casts rolled per day shall be selected at random from straightened rails and the remaining samples shall be hot sawn. No retest shall be permitted on account of sample from straightened rails failed in Falling weight test. However, present provision of retests shall be applicable to rest 80% of samples taken from un-straightened rails. Choice of the test sample location within cast and strand shall normally lie with the manufacturer. The test sample position within bloom/ rail shall be selected at the discretion of the inspecting agency.

JKSSB JE Civil Mock Test - 2 - Question 16

Dimensional formula for centre of pressure

Detailed Solution for JKSSB JE Civil Mock Test - 2 - Question 16

Centre of pressure- point of application of the total pressure on the surface of a submerged body.
Unit: meter
Dimensional formula

JKSSB JE Civil Mock Test - 2 - Question 17

The expression for limiting percentage tensile steel is,

Detailed Solution for JKSSB JE Civil Mock Test - 2 - Question 17

As per IS 456:2000, Cl G-1.1:

JKSSB JE Civil Mock Test - 2 - Question 18

Which of the following should be the minimum depth of ballast BG track?

Detailed Solution for JKSSB JE Civil Mock Test - 2 - Question 18

For a BG track, as per Indian Railways, minimum depth of ballast should be 25 cm.

JKSSB JE Civil Mock Test - 2 - Question 19

Which of the following sleepers are used most in Indian railways?

Detailed Solution for JKSSB JE Civil Mock Test - 2 - Question 19

Cast iron sleepers- these are widely used in Indian railways. They are of two types, pot type sleepers and plate type sleepers. Pot type sleepers cannot be used for curves sharper than 4 degrees.

Cast iron plate sleepers-

  • DO plate sleeper
  • Laisy pedestral
  • NWR type, LK type etc.
  • CST-9
  • Rail free duplex

Out of the above types, CST- 9 type sleepers are most extensively used in Indian railways.

JKSSB JE Civil Mock Test - 2 - Question 20

In turbulent flow, if V is the velocity of flow, loss of head is directly proportional to,

Detailed Solution for JKSSB JE Civil Mock Test - 2 - Question 20

Darcy-Weisbach Equation for loss of head in a turbulent flow-

JKSSB JE Civil Mock Test - 2 - Question 21

What will be annual depreciation, assuming that a property loses its value by the same amount every year?

Detailed Solution for JKSSB JE Civil Mock Test - 2 - Question 21

Straight line method of calculating depreciation-
Annual depreciation (D) = (original cost - scrap value)/life of property

JKSSB JE Civil Mock Test - 2 - Question 22

Which of the following connects the highway with commercial establishments like fuel stations, service stations etc.?

Detailed Solution for JKSSB JE Civil Mock Test - 2 - Question 22

Drive ways- connects the highway with commercial establishments like fuel stations, service stations etc. These should be located fairly away from intersections. The radius of the drive way curve should be kept as large as possible. Width of the drive way should be minimized to reduce the length of cross walks.

JKSSB JE Civil Mock Test - 2 - Question 23

Which among the following is not a mandatory/regulatory sign?

Detailed Solution for JKSSB JE Civil Mock Test - 2 - Question 23

MANDATORY/REGULATORY SIGNS

  • These signs are used to inform the road users certain laws, regulations, and prohibitions.
  • Violation of these signs are legal offense.
  • Examples: stop and give way signs, prohibitory signs, no parking, and no stopping signs, speed limit and vehicle control signs, restriction end sign, compulsory direction control and other signs.

WARNING/CAUTIONARY SIGNS

  • These are to warn road users about certain hazardous conditions that exist on or adjacent to the roadway.
  • The signs are equilateral triangle in shape with its apex pointing upward.
  • Examples: right-hand/left-hand curve, right/left hair pin bend, steep ascent/descent, narrow road ahead, narrow bridge ahead, pedestrian crossing etc.

INFORMATION SIGNS

  • For information and guidance of road users.
  • Examples: direction, hospital, etc.
JKSSB JE Civil Mock Test - 2 - Question 24

Which of the following is the effect on design shear strength of concrete in the presence of uniaxial compression?

Detailed Solution for JKSSB JE Civil Mock Test - 2 - Question 24

As per IS 456:2000, Cl 40.2.2:
Shear Strength of Members under Axial Compression- For members subjected to axial compression Pu, the design shear strength of concrete, given in Table 19, shall be multiplied by the following factor;

JKSSB JE Civil Mock Test - 2 - Question 25

In a boundary layer flow, laminar sub layer can be defined as,

Detailed Solution for JKSSB JE Civil Mock Test - 2 - Question 25


A very thin layer next to the wall in which velocity variations are affected only by viscous effects. This layer is known as laminar sublayer and no turbulence exists in it.

JKSSB JE Civil Mock Test - 2 - Question 26

A transverse rigid deformation of pavements that occurs at areas subject to severe acceleration, is known as,

Detailed Solution for JKSSB JE Civil Mock Test - 2 - Question 26

Stability of bituminous mixes- defined as the resistance of the paving mix to deformation under traffic load. Two kinds of failure are;
(i) shoving - a transverse rigid deformation that occurs at areas subject to severe acceleration (ii) grooving - longitudinal ridging due to channelization of traffic

JKSSB JE Civil Mock Test - 2 - Question 27

For design by working stress method, what is the permissible stress for Fe 500 grade in flexural tension (in N/mm2)?

Detailed Solution for JKSSB JE Civil Mock Test - 2 - Question 27

As per IS 456:2000, Cl. B-2.2 (Table 22)
For high yield strength deformed bars of Grade Fe 500, the permissible stress in direct tension and flexural tension shall be 0.55 fy (0.55 fy = 0.55 x 500 = 275 N/mm2).
The permissible stresses for shear and compression reinforcement shall be as for Grade Fe 415.

JKSSB JE Civil Mock Test - 2 - Question 28

Initially the cost of a component is Rs.500000. The salvage value at the end of its useful life of 15 years is 380000. What will be the book value at the end of second year of its useful life, by straight line method?

Detailed Solution for JKSSB JE Civil Mock Test - 2 - Question 28

Annual depreciation = (original cost-salvage value)/useful life
Annual depreciation = (500000-380000)/15= Rs.8000
Book value at the end of second year = 500000- 2 x 8000 = Rs.484000

JKSSB JE Civil Mock Test - 2 - Question 29

If for a turbulent flow,
Friction factor = 0.008
Relative density of fluid = 0.5
Mean velocity of flow = 0.6 m/s
What will be the value of wall shearing stress?

Detailed Solution for JKSSB JE Civil Mock Test - 2 - Question 29

JKSSB JE Civil Mock Test - 2 - Question 30

What will be the volume of earthwork in an embankment for which cross-sectional areas are given below at 30 m interval (use prismoidal rule)?

Detailed Solution for JKSSB JE Civil Mock Test - 2 - Question 30

Here, A1 = 27 sq m, A= 60 sq m, A3 = 54 sq m, A4 = 33 sq m, A5 = 36 sq m, A6 = 48 sq m,
A7 = 51 sq m
Volume by Prismoidal formula:
Volume (V) = D/3 X [A1 + A7 +4(A2 +A4 +A6) +2(A3 +A5)]
V = 30/3 X [27 + 51 +4(60+33+48) +2 (54+36)]= 10 x (78 + 564 + 180)= 8220
V = 8220 m3

View more questions
Information about JKSSB JE Civil Mock Test - 2 Page
In this test you can find the Exam questions for JKSSB JE Civil Mock Test - 2 solved & explained in the simplest way possible. Besides giving Questions and answers for JKSSB JE Civil Mock Test - 2, EduRev gives you an ample number of Online tests for practice
Download as PDF