Electrical Engineering (EE) Exam  >  Electrical Engineering (EE) Tests  >  TANGEDCO AE EE Full Test - 3 - Electrical Engineering (EE) MCQ

TANGEDCO AE EE Full Test - 3 - Electrical Engineering (EE) MCQ


Test Description

30 Questions MCQ Test - TANGEDCO AE EE Full Test - 3

TANGEDCO AE EE Full Test - 3 for Electrical Engineering (EE) 2025 is part of Electrical Engineering (EE) preparation. The TANGEDCO AE EE Full Test - 3 questions and answers have been prepared according to the Electrical Engineering (EE) exam syllabus.The TANGEDCO AE EE Full Test - 3 MCQs are made for Electrical Engineering (EE) 2025 Exam. Find important definitions, questions, notes, meanings, examples, exercises, MCQs and online tests for TANGEDCO AE EE Full Test - 3 below.
Solutions of TANGEDCO AE EE Full Test - 3 questions in English are available as part of our course for Electrical Engineering (EE) & TANGEDCO AE EE Full Test - 3 solutions in Hindi for Electrical Engineering (EE) course. Download more important topics, notes, lectures and mock test series for Electrical Engineering (EE) Exam by signing up for free. Attempt TANGEDCO AE EE Full Test - 3 | 100 questions in 120 minutes | Mock test for Electrical Engineering (EE) preparation | Free important questions MCQ to study for Electrical Engineering (EE) Exam | Download free PDF with solutions
TANGEDCO AE EE Full Test - 3 - Question 1

The complex number is

Detailed Solution for TANGEDCO AE EE Full Test - 3 - Question 1

Given complex no.

Rationalize the above expression

TANGEDCO AE EE Full Test - 3 - Question 2

The function w = z2 is

Detailed Solution for TANGEDCO AE EE Full Test - 3 - Question 2

Concept:

Cauchy-Riemann Equation (Condition for a function to be analytic):

If z = x + iy and w = f(z) = u(x,y) + iv(x,y) then

i.e. ux = vy and uy = -vx

Calculation:

Given:

w = z2 ⇒ (x + iy)2

∴ w = (x2 – y2) + i(2xy)

Comparing with standard form i.e. w = f(z) = u(x,y) + iv(x,y)

u(x, y) = x2 – y2 and v(x, y) = 2xy

ux = 2x, -vx = -2y

uy = -2y, vy = 2x

C-R equations are satisfied every where in the finite part of complex plane and all first order partial derivatives ux, uy, vx, vy are continuous function of x and y

∴ f(z) = z2 is analytic everywhere i.e., f(z) = z2 is entire function.

Other Related Points

Entire function:

A function f(z) which is analytic at every point of the finite complex plane is known as entire functions.

Eg. polynomial and exponential functions are entire functions.

TANGEDCO AE EE Full Test - 3 - Question 3

Find for what value of k, the set of equations
2x - 3y + 6z - 5t = 3
y - 4z + t = 1
4x - 5y + 8z - 9t = k
has an infinite number of solutions for ‘k’ equal to

Detailed Solution for TANGEDCO AE EE Full Test - 3 - Question 3

Concept:
System of linear equations are defined by
a11x1 + a12x2 + ⋯ + a1nxn = b1
a21x1 + a22x2 + ⋯ + a2nxn = b2
⋮ ⋮ ⋮
am1x1 + am2x2 + ⋯ + amnxn = bn
‘m’ number of equations and ‘n’ number of unknowns.
Augmented matrix is defined as:


Calculation:
2x - 3y + 6z - 5t =3 
y - 4z + t = 1
4x - 5y + 8z - 9t = k
Number of unknowns is 4 here.
Matrix ‘A’ is defined as


Performing Row operations and making Matrix into Echelon Form and it is defined below.

In this matrix, ‘k’ is a non zero value.
R3 → R3 – 2R1

R3 → R3 - R2

The number of non zero rows is 2. So, rank = 2
Now augmented matrix is (A|B)

For k = 7, R(A|B) = 2 and R < n
So we get an infinite number of solutions.

TANGEDCO AE EE Full Test - 3 - Question 4
At point (1, 0, 3) on the surface 2x2 + 3y2 + z2 – 11 = 0, the directional derivative in the direction is
Detailed Solution for TANGEDCO AE EE Full Test - 3 - Question 4

Concept:

If any surface is given by f = f(x, y, z), To find the directional derivative at any point P(x1, y1, z1) on the surface in the direction of the vector. Follow the following steps.

Find,

Then, find the value of ∇f at point P(x1, y1, z1).

Calculation:

Given:

f(x, y, z) = 2x2 + 3y2 + z2 - 11

⇒ î(4x) + ĵ(6y) + k̂(2z)

At point P(1, 0, 3), ∇f = î (4 × 1) + ĵ (6 × 0) + k̂ (2 × 3) = 4î + 6k̂

Direction vector () = î + 2ĵ + k̂

TANGEDCO AE EE Full Test - 3 - Question 5
represents
Detailed Solution for TANGEDCO AE EE Full Test - 3 - Question 5

Newton's forward difference formula is given as:

Where

Newton's backward difference formula is given as:

Where

Newton's divided difference formula is given as:

Gauss forward difference formula is given as:

Where and

∴ The correct option is 1.

TANGEDCO AE EE Full Test - 3 - Question 6

Intrinsic impedance of free space is:

Detailed Solution for TANGEDCO AE EE Full Test - 3 - Question 6

Intrinsic Impedance of free space is given by

μ = 4 π x 10 -7 H/m

ϵ = 8.85 x 10 -12 F/m

TANGEDCO AE EE Full Test - 3 - Question 7

For stability and economic reasons we operate the transmission line with power angle in the range

Detailed Solution for TANGEDCO AE EE Full Test - 3 - Question 7
  • In a synchronous generator, the magnetic field rotates at synchronous speed and the rotating magnetic field is created in the stator. These two fields are not fully aligned. The stator field lags the rotating field. This lagging angle is called a load angle or torque angle or power angle. It is denoted by ‘δ’.
  • For stable operation, the maximum angle of torque angle is 90° i.e. 0 < δ < 90°. But in practical stable systems, the normal value of ‘δ’ lies between 0 to 30°.
  • For stability and economic reasons, we operate the transmission line with a power angle in the range of 30° to 45°
  • In an unstable system, δ increases indefinitely with time, and the machine loses synchronism.

Important Points:
Equal Area Criteria:

  • The equal-area criterion is a simple graphical method for concluding the transient stability.
  • This principle does not require the swing equation for the determination of stability conditions.
  • The stability conditions are recognized by equating the areas of segments on the power angle diagram.

Starting with the swing equation:
Where,
M is the moment of inertia or angular momentum
δ is the power angle between rotor rotating field and stator rotating field
Ps is a mechanical input power
Pe is the electrical output
Multiply the above equation with dδ / dt
we get,
Rearranging, multiplying by dt, and integrating, we have
At steady-state condition, the torque angle was not changing i.e. before the disturbance.
dδ / dt = 0
Also, if the system has transient stability the machine will again operate at synchronous speed after the disturbances, i.e.,
dδ / dt = 0

Hence the condition for stability is dδ / dt = 0

TANGEDCO AE EE Full Test - 3 - Question 8

Corona loss increases with:

Detailed Solution for TANGEDCO AE EE Full Test - 3 - Question 8

Corona loss (PL):

Where,

f = Supply frequency in Hz

r = Radius of conductor

d = distance between two adjacent conductors

Vo = Operating voltage in kV

VC = Critical disrputive voltage in kV

δ = Air density correction factor

  • Frequency of supply: Corona loss increases as the supply frequency increases
  • Air Pressure: In hilly areas, the corona effect is more dominant due to reduced pressure
  • By increasing conductor size, the voltage at which corona occurs is raised and hence corona effects are considerably reduced.
  • By increasing the spacing between conductors, the voltage at which corona occurs is raised and hence corona effects can be eliminated.
TANGEDCO AE EE Full Test - 3 - Question 9

Choose the correct statement about the kinetic friction and static friction.

Detailed Solution for TANGEDCO AE EE Full Test - 3 - Question 9

Concept:

  • Friction: Friction is an opposing force that comes into play when the body is actually moving (slide or roll) or even tries to move over the surface of another body.
    • Static friction(Fs): the opposing force that is active when the body tends to move over the surface, but the actual motion is yet not started.
    • Kinetic friction(Fk): kinetic or dynamic force is an opposing force that is active when the body is actually moving on another surface.
  • Kinetic friction is always slightly less than static friction.
    • Fk < Fs

  • The unbalance force (P – Fk) produces acceleration.
    • Fs ≤ μsN
    • where μs is called the coefficient of static friction.
  • The magnitude of the kinetic friction force:
    • Fk = μkN
    • where μk is called the coefficient of kinetic friction.

The coefficients μs and μk do not depend on the surface area in contact but depend on the nature of the surfaces in contact.
The coefficient of kinetic friction is generally less than the coefficient of static friction.

TANGEDCO AE EE Full Test - 3 - Question 10

For the reaction which one of the following statement is correct?

Detailed Solution for TANGEDCO AE EE Full Test - 3 - Question 10

Concept:
Le Chatelier's principle states that - "If an equilibrium is subjected to a change of concentration, pressure or temperature, the equilibrium shifts in the direction that tends to undo the effect of the change".
Explanation:
In the reaction, , the most favourable conditions of temperature and pressure for greater yield of SO2 are high pressure and low temperature.

  • High pressure is maintained because the moles of the product are less than the moles of reactants.
Δng = 2 − (2+1) = −1
Δng < 0
  • When pressure is increased, the equilibrium will shift to product side (which contains less number of moles of gaseous species).
  • This nullifies the effect of increase in pressure. Hence, more and more product will be formed.
  • Low temperature favours exothermic reaction. Heat is evolved during the reaction (positive value of enthalpy change).
  • When an inert gas is added to an equilibrium system at constant volume, there will be an increase in the total pressure of the system. The concentrations of the products and reactants will not change.
  • Therefore, there will be no effect on the equilibrium.

So, the reaction is favoured by only the increase in pressure.

TANGEDCO AE EE Full Test - 3 - Question 11

The principle involved in paper chromatography is

Detailed Solution for TANGEDCO AE EE Full Test - 3 - Question 11

The correct answer is option 2, i.e. The principle involved in paper chromatography is Partition.

  • Chromatography is a separation technique which is used to separate the components of a mixture.
  • There are two phases: a stationary phase and a mobile phase
    • Stationary phase provides a differential resistance to the components of the mixture so that they move with a different pace.
    • Mobile phase carries the components of the mixture with it and moves over the stationary phase.
  • In paper chromatography, the water trapped in the paper acts as a stationary phase and a suitable solvent acts as a mobile phase.
  • The components get separated due to the difference in the way they get attracted to water or the mobile phase.

TANGEDCO AE EE Full Test - 3 - Question 12

Which of the following is/are the indicating instruments?

Detailed Solution for TANGEDCO AE EE Full Test - 3 - Question 12

Based on the nature of the operation, instruments can be classified into three types:
Indicating Instruments: These indicate the quantity being measured by means of a pointer that moves on a scale. These instruments indicate the instantaneous value of the electrical quantity being measured at the time at which it is being measured.

  • Example: Ammeter, Voltmeter, Wattmeter

Recording Instruments: These instruments record continuously the variation of any electrical quantity with respect to time. In principle, these are indicating instruments but so arranged that a permanent continuous record of the indication is made on a chart or dial.
Any electrical quantity like current, voltage can be recorded by a suitable recording mechanism.

  • Example: A potentiometric type of recorder used for monitoring temperature records the instantaneous temperatures on a strip chart recorder, CRO, DSO.

Integrating Instruments: These instruments record the consumption of the total quantity of electricity, energy, etc. during a particular period of time. These instruments give reading for a specific period of time but no indication of reading for a particular instant of time.

  • Example: Ampere-hour meter, Household energy meter, kilovolt ampere-hour meter.
TANGEDCO AE EE Full Test - 3 - Question 13

In a nuclear reactor, ceramics can be used as

Detailed Solution for TANGEDCO AE EE Full Test - 3 - Question 13

Concept:
Nuclear reactor:

  • It is a device in which a nuclear reaction is initiated, maintained, and controlled.
  • It works on the principle of controlled chain reaction and provides energy at a constant rate.


Explanation:

  • Nuclear Fuel: It is a fissionable material to be used for the fission process to take place.
    • Commonly used fuels in a nuclear reactor are U233, U235, PU239, etc.
    • Generally, uranium oxide pellets are inserted end to end into long hollow metal tubes constituting the fuel rods. When slow neutrons interact with the fuel, the fission starts, and the energy is released.
  • Ceramics hold a unique position in nuclear fission reactors since they are used for fuel, the coating for fuel particles and pressure or reactor vessels, and as the materials of moderator and reflector, control and shielding. Therefore option 2 is correct.
TANGEDCO AE EE Full Test - 3 - Question 14

Given the systems (i) y(n) = n x(n) and (ii) y(n) = ex(n)

Detailed Solution for TANGEDCO AE EE Full Test - 3 - Question 14

Concept:
Linearity: Necessary and sufficient condition to prove the linearity of the system is that linear system follows the laws of superposition i.e. the response of the system is the sum of the responses obtained from each input considered separately.
y{ax1[n] + bx2[t]} = a y{x1[n]} + b y{x2[n]}
Conditions to check whether the system is linear or not.

  • The output should be zero for zero input
  • There should not be any non-linear operator present in the system

Causality: A system is causal, if the output of the system does not depend on future inputs, but only on past input.
Time-Invariance: If the input to a time-invariant system is shifted in time, its output remains the same signal, but is shifted equally in time.
If the output for an input x(t) is y(t), then for a time shift of t0 in the input gives the t0 shift in the output.
x(t) → y(t), then x(t – t0) → y(t – t0)
Application:
(i) y(n) = n x(n)
Here in the system, there is a nonlinear operator and hence it is linear.
(ii) y(n) = ex(n)
Here there is a non-linear operator (exponential) and hence it is nonlinear.

TANGEDCO AE EE Full Test - 3 - Question 15

A tuned amplifier has center frequency of 3 MHz and required bandwidth for speech is 5 kHz. The Q factor of amplifier will be ______.

Detailed Solution for TANGEDCO AE EE Full Test - 3 - Question 15

Concept:
The Q factor is 2π times the ratio of the stored energy to the energy dissipated per oscillation cycle, or equivalently the ratio of the stored energy to the energy dissipated per radian of the oscillation.
Mathematically, the Q-factor is given by:


It is also defined in terms of Bandwidth, i.e.

Where,
fr = Center frequency of the filter or the resonant frequency.
BW = Bandwidth of the tuned amplifier.
Calculation:
Given:
Center frequency (fr) = 3 MHz
Bandwidth (BW) = 5 KHz


Important Point
The sharpness of the resonance in the RLC series resonant circuit is measured by the quality factor and is explained in the figure shown below:

Observations:

  • Less the Bandwidth, more the Quality factor.
  • More the Bandwidth, less is the Quality factor.
  • For the above figure, BW2 > BW1, so Q2 < Q1
TANGEDCO AE EE Full Test - 3 - Question 16

The inverse z-transform of a given function

is αn-ku(n - k).

Then, the value of k is _____.

Detailed Solution for TANGEDCO AE EE Full Test - 3 - Question 16

Concept:
The z-transform of a function x(n) = αn u(n) is given as:

Time shifting property of z-transform:


Calculation:
Given,
This can be written as,

Now, if , its IZT = αn u(n)


On comparing, we get k = 10.

TANGEDCO AE EE Full Test - 3 - Question 17

Which of the following is/are true about different layers of the OSI model?
I. Segmentation of datagram is performed at Network layer
II. Data compression is done at transport layer

Detailed Solution for TANGEDCO AE EE Full Test - 3 - Question 17
  • Layers of OSI model: Physical Layer, Data Link Layer, Network Layer, Transport Layer, Session Layer, Presentation Layer, Application Layer
  • Packet segmentation is the process of dividing a data packet into smaller units for transmission over the network; Packet segmentation happens at the transport layer
  • Data compression (bit-rate reduction) involves encoding information using fewer bits than the original representation; Data compression is done at Presentation Layer

Note:

TANGEDCO AE EE Full Test - 3 - Question 18

Harmonic restraint feature is imparted to transformer differential relays to prevent its maloperation due to.

Detailed Solution for TANGEDCO AE EE Full Test - 3 - Question 18
  • When an unloaded transformer is switched on, it draws a large initial magnetizing current. It is called as magnetizing inrush current.
  • As the inrush current flows only in the primary winding, the differential protection will see this inrush current as an internal fault.
  • The harmonic contents in the inrush currents are different than those in the usual fault current.
  • The dc component varies from 40 to 60%, the second harmonic 30 to 70% and the third harmonic 10 to 30%.
  • The third harmonic and its multiples do not appear in CT leads connected as these harmonics circulate in the delta winding of the transformer.
  • As the second harmonic is more in the inrush current than in the fault current, this feature can be utilized to distinguish between a fault and magnetizing inrush current.

The figure shows a high-speed biased differential scheme incorporating a harmonic restraint feature.


Operating principle:

  • The operating principle is o filter out the harmonics from the differential current, rectify them and add them to percentage restraint.
  • The tuned circuit XCXL allows only the current of the fundamental frequency to flow through the operating coil.
  • The dc and harmonics, mostly second harmonics in case of magnetic inrush current, are diverted into the restraining coil.
  • The relay is adjusted so as not to operate when the second harmonic (restraint) exceeds 15% of fundamental current (operating).
TANGEDCO AE EE Full Test - 3 - Question 19
In a three phase (50Hz) full converter, the ripple frequency in output voltage?
Detailed Solution for TANGEDCO AE EE Full Test - 3 - Question 19

Concept:

Ripple frequency at the output = m × supply frequency

fo = m × fs

Where m = types of the pulse converter

Calculation:

A three-phase full-wave AC to DC converter is a 6-pulse converter

Number of pulses (m) = 6

fo = 6 × supply voltage frequency

∴ f0 = 6 x 50

f0 = 300 Hz

TANGEDCO AE EE Full Test - 3 - Question 20

The time constant for the given circuit will be

Detailed Solution for TANGEDCO AE EE Full Test - 3 - Question 20

Concept:
Time constant
τ = CeqReq
Where,
τ is the time period of the circuit
Req is the equivalent resistance in the circuit
Ceq is the equivalent capacitance is the circuit
Calculation:
For calculating equivalent Resistance:

All the voltage sources should be short-circuited and all the current sources must be open-circuited.
Both the resisters are in series so,

= 3 + 3 = 6Ω
For calculating equivalent Capacitance:
Two capacitors are parallel
So,
Ceq1 = C1 + C2
= 1 + 1 = 2F
Now these parallel capacitors are in series with another capacitor of capacitance 1F

Time constant τ = ReqCeq
= 6 × 2/3
= 4s
The time constant of the above circuit is 4s

TANGEDCO AE EE Full Test - 3 - Question 21
Single phase synchronous motors are known as unexcited motors because
Detailed Solution for TANGEDCO AE EE Full Test - 3 - Question 21
  • Usually, unexcited single-phase synchronous motor runs at a constant speed equal to the synchronous speed of revolving flux
  • They do not need a dc excitation for their rotors
  • That’s why they are called as unexcited single-phase synchronous motors
  • These motors are divided into two types, one is reluctance motor and another one is hysteresis motor
TANGEDCO AE EE Full Test - 3 - Question 22

A relay has a rating of 5 A, 2.2 sec IDMT and a relay setting of 125% TMS = 0.6. It is connected to a supply circuit through a C.T. 400/5 ratio. The fault current is 4000 A. The operating current of the relay is

Detailed Solution for TANGEDCO AE EE Full Test - 3 - Question 22

Concept:
The plug setting multiplier of a relay is defined as the ratio of secondary fault current to the pick-up current.
PSM = Secondary fault current / Relay current setting
Pick up current or operating current = (Rated secondary current in CT) x (Current setting)
Calculation:

Given that,
Relay current setting = 125% = 1.25, Rated secondary current = 5 A
Therefore, operating current of relay = 5 x 1.25 = 6.25 A

TANGEDCO AE EE Full Test - 3 - Question 23

Every network adaptor has a unique identity in the form of a _______.

Detailed Solution for TANGEDCO AE EE Full Test - 3 - Question 23

A media access control address (MAC address) is a unique identifier assigned to a network adaptor for use as a network address in communications within a network segment. This use is common in most IEEE 802 networking technologies, including Ethernet, Wi-Fi, and Bluetooth.

Important Points:
MAC broadcast address (MAC destination) consists of 6 bytes i.e. 48 bits and all are 1’s
MAC broadcast address → FF:FF:FF:FF:FF:FF
Limited broadcast address (IP-32 bit) → 255.255.255.255

TANGEDCO AE EE Full Test - 3 - Question 24
Hysteresis loss (Ph) is computed using the equation
Detailed Solution for TANGEDCO AE EE Full Test - 3 - Question 24

Hysteresis losses: These are due to the reversal of magnetization in the transformer core whenever it is subjected to alternating nature of magnetizing force.

Where

x is the Steinmetz constant = 1.6

Bm = maximum flux density

f = frequency of magnetization or supply frequency

v = volume of the core

At a constant V/f ratio, hysteresis losses are directly proportional to the frequency.

Wh f

Eddy current losses: Eddy current loss in the transformer is I2R loss present in the core due to the production of eddy current.

Where,

K - coefficient of eddy current. Its value depends upon the nature of magnetic material

Bm - Maximum value of flux density in Wb/m2

t - Thickness of lamination in meters

f - Frequency of reversal of the magnetic field in Hz

V - Volume of magnetic material in m3

At a constant V/f ratio, eddy current losses are directly proportional to the square of the frequency.

We f2

TANGEDCO AE EE Full Test - 3 - Question 25

UDP is _________ protocol

Detailed Solution for TANGEDCO AE EE Full Test - 3 - Question 25

Concept:
Stateless Protocols are the type of network protocols in which the client sends the request to the server and server response back according to the current state.
It does not require the server to retain session information or status about each communicating partner for multiple requests.

  • Application Layer protocol: HTTP and DNS
  • Transport Layer protocol: TCP and UDP
  • Stateless protocol: HTTP, UDP, DNS

Explanation:
UDP is an unreliable connectionless-transport layer Protocol used for its simplicity and efficiency in applications where error can be provided by the application layer. UDP provided process-to-process communication
Important Point:

  • UDP (User Datagram Protocol) → transport layer protocol → connectionless
  • TCP (Transmission Control Protocol) → transport layer protocol → connection-oriented
  • FTP (File Transfer Protocol) → Application layer protocol → connection-oriented
  • NVT → Network Virtual Terminal → Application Layer Protocol → connection-oriented
TANGEDCO AE EE Full Test - 3 - Question 26
If modulation index of an AM was is changed from 0 to 1, then the transmitted power
Detailed Solution for TANGEDCO AE EE Full Test - 3 - Question 26

Concept:

For an AM signal, the transmitted power is given by:

Pc = Carrier Power

μ = Modulation Index

Calculation:

For μ = 0

Pt = Pc (1 + 0)

Pt = Pc

For μ = 1

Pt = 1.5 Pc

We observe that the transmitted power is increased by 50%.

TANGEDCO AE EE Full Test - 3 - Question 27
If a particular integral of the differential equation is , then the value of 'a' is
Detailed Solution for TANGEDCO AE EE Full Test - 3 - Question 27

Concept:

Linear Differential Equation: Linear differential equations are those in which the dependent variable, its derivatives occur only in the first degree and they are not multiplied together. It is of the form:

Where, k1, k2, …kn are the constants and X is the function of x only.

The solution of the equation is given as:

y = C.F + P.I

where C.F is the complementary function and P.I is the particular integral.

The above linear differential equation in the symbolic form is represented as

(Dn + k1 Dn-1 + k2 Dn-2 +…+ kn) y = X

X

When X = eax:

provided f(a) ≠ 0

Calculation:

Given:

Auxiliary equation is D2 + 2D - 1

PI is

put D = a

TANGEDCO AE EE Full Test - 3 - Question 28
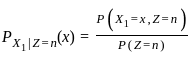
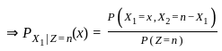
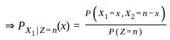
Let X1 and X2 be independent random variables each having geometric distribution qk p ; k = 0, 1, 2, …. Then the conditional distribution of X1 given X1 + X2 is
Detailed Solution for TANGEDCO AE EE Full Test - 3 - Question 28

Concept:

The conditional distribution of X given Y is given by

Calculation:

Given X1 and X2 are two independent random variables having geometric distribution qk p = 0;

Let Z = X1 + X2;

Now

The conditional distribution of X1 given X1 + X2 is uniform.

TANGEDCO AE EE Full Test - 3 - Question 29
Moment of Inertia of a Circular lamina of radius 10 cm and mass 100 kg is given by
Detailed Solution for TANGEDCO AE EE Full Test - 3 - Question 29

Concept:

Here, the circular lamina means disc who moment of inertia is given by

Calculation:

Given:

m = 100 kg, r = 10 cm

I = 5000 kg cm2

TANGEDCO AE EE Full Test - 3 - Question 30

The regions of electromagnetic spectrum given in terms of wave length for Microwave, Visible and Mid. IR spectroscopy are given respectively by

Detailed Solution for TANGEDCO AE EE Full Test - 3 - Question 30
  • The Electromagnetic spectrum: The electromagnetic spectrum is the distribution of electromagnetic radiation according to energy (or equivalently, by virtue of the relations in the previous section, according to frequency or wavelength).



So, the regions of electromagnetic spectrum given in terms of wavelength for Microwave, Visible and Mid. IR spectroscopy are given respectively by

  • Microwave: 1 – 100 mm
  • Visible wave: 380 – 780 nm
  • Infrared wave: 2.5 – 50 μm
View more questions
Information about TANGEDCO AE EE Full Test - 3 Page
In this test you can find the Exam questions for TANGEDCO AE EE Full Test - 3 solved & explained in the simplest way possible. Besides giving Questions and answers for TANGEDCO AE EE Full Test - 3, EduRev gives you an ample number of Online tests for practice
Download as PDF