Electrical Engineering (EE) Exam  >  Electrical Engineering (EE) Tests  >  TANGEDCO AE EE Full Test - 4 - Electrical Engineering (EE) MCQ

TANGEDCO AE EE Full Test - 4 - Electrical Engineering (EE) MCQ


Test Description

30 Questions MCQ Test - TANGEDCO AE EE Full Test - 4

TANGEDCO AE EE Full Test - 4 for Electrical Engineering (EE) 2025 is part of Electrical Engineering (EE) preparation. The TANGEDCO AE EE Full Test - 4 questions and answers have been prepared according to the Electrical Engineering (EE) exam syllabus.The TANGEDCO AE EE Full Test - 4 MCQs are made for Electrical Engineering (EE) 2025 Exam. Find important definitions, questions, notes, meanings, examples, exercises, MCQs and online tests for TANGEDCO AE EE Full Test - 4 below.
Solutions of TANGEDCO AE EE Full Test - 4 questions in English are available as part of our course for Electrical Engineering (EE) & TANGEDCO AE EE Full Test - 4 solutions in Hindi for Electrical Engineering (EE) course. Download more important topics, notes, lectures and mock test series for Electrical Engineering (EE) Exam by signing up for free. Attempt TANGEDCO AE EE Full Test - 4 | 100 questions in 120 minutes | Mock test for Electrical Engineering (EE) preparation | Free important questions MCQ to study for Electrical Engineering (EE) Exam | Download free PDF with solutions
TANGEDCO AE EE Full Test - 4 - Question 1

Let z(t) = x(t) * y(t), where “ * ” denotes convolution. Let c be a positive real-valued constant. Choose the correct expression for z(ct).

Detailed Solution for TANGEDCO AE EE Full Test - 4 - Question 1

Given that,
z(t) = x(t) * y(t)
Apply Laplace transform,
Z(s) = X(s) . Y(s)
Now apply time scaling property,

Apply inverse Laplace
z(ct) = c x(ct) * y(ct)

TANGEDCO AE EE Full Test - 4 - Question 2

Evaluate

Detailed Solution for TANGEDCO AE EE Full Test - 4 - Question 2

Let

It is a ∞° form. To evaluate such limits use log concept.

Taking log on both sides

Now applying L-H rule,

⇒ y = e1 = e
TANGEDCO AE EE Full Test - 4 - Question 3

The value of  along a closed path Γ is equal to (4 π i), where z = x + iy and i=√-1. The correct path Γ is

Detailed Solution for TANGEDCO AE EE Full Test - 4 - Question 3

Concept:
Cauchy’s Integral Formula - If f(z) is analytic within and on the closed curve C and if zo is any point inside C then

Cauchy’s Residue Theorem – If f(z) is analytic in a closed curve C except at a finite number of singular point lies inside C then,

If f(z) has a simple pole at z = a then,

Calculation:

∴ Sum of residue must be equal to 2

∴ Z = 1 must lies inside C, Z = 2 lies outside C.

TANGEDCO AE EE Full Test - 4 - Question 4

The function f(x) = 3 + |x - 2| at the point (2, 3) is

Detailed Solution for TANGEDCO AE EE Full Test - 4 - Question 4

Concept:


g(x) = ϕ(x-2) = |x-2|
Shift the graph to right on X-axis by 2 units.


F(x) = g(x) + 3 = 3 + |x-2|
Shift the above graph 3 units on the y-axis in the upward direction.


As the graph is continuous on the given point (2, 3). So the given function is continuous at the point (2, 3). But there is a sharp edge at point (2, 3), so the limiting value of the function in the left and right proximity of the point will be different. Hence the function is not differentiable at the point (2, 3).

TANGEDCO AE EE Full Test - 4 - Question 5

is equal to

Detailed Solution for TANGEDCO AE EE Full Test - 4 - Question 5

In limit calculation problems, the first thing we should try is to simply plug in the values and see if we can compute the limit.
In the question, we can simply put the values of x and y in the function to get:

= 1 + 4 = 5
Important Point

L' Hospital's rule:
If by plugging the values the limit is coming to be 0/0 or , all we need to do is differentiate the numerator and differentiate the denominator and then take the limit. We can keep on differentiating until the limit can be estimated.
For example,

Putting x → 0, we are getting 0/0

Differentiating the numerator and denominator we get,

Putting x → 0, we are getting 0/0
Differentiating the numerator and denominator again we get,

Putting x → 0, we are getting 0/0

Differentiating the numerator and denominator again we get,

=

TANGEDCO AE EE Full Test - 4 - Question 6

An alternator having an induced emf of 1.6 pu is connected to an infinite bus of 1.0 pu. If the bus bar has reactance of 0.6 pu and alternator has reactance of 0.2 pu, what is the maximum power that can be transferred?

Detailed Solution for TANGEDCO AE EE Full Test - 4 - Question 6

TANGEDCO AE EE Full Test - 4 - Question 7

A radio station broadcasts at a frequency of 108 M. If the broadcast is an electromagnetic wave, then what is its wavelength?

Detailed Solution for TANGEDCO AE EE Full Test - 4 - Question 7

Concept:

  • Wavelength (λ): It is equal to the distance traveled by the wave during the time in which any one particle of the medium completes one vibration about its mean position. It is the length of one wave.
  • Frequency (f) : It is defined as the number of vibrations completed by the particle in one second.
    • It is the number of complete wavelengths traversed by the wave in one second.

The relation between velocity, frequency, and wavelength is given by
c = f × λ

where, c = velocity of light, f = frequency Hz, λ = wavelength
Calculation:
Given that, f = 108 MHz, c = 3 × 108 m/s (standard value)
Putting all the values in
c = f × λ
λ = c/f = 3 × 108/ 108 × 106 = 2.7 m
The correct option is 2.7 m.

TANGEDCO AE EE Full Test - 4 - Question 8

Determine the output of following C code segment:

int add (int a, int b)
{
return a + b;
}
main()
{
int c;
c = add (10, 20);
printf("c = %d", c);
}

Detailed Solution for TANGEDCO AE EE Full Test - 4 - Question 8

int add (int a, int b) // formal argument
{
return a + b;
}
main()
{
int c;
c = add (10, 20);
printf("c = %d", c);
}

In this Program Add function is following the call by value mechanism so that value cannot be called outside the function So the answer will be a+b = 10+ 20 = 30

Therefore Option B is correct

TANGEDCO AE EE Full Test - 4 - Question 9

Given,

Gas: H2, CH4, CO2, SO2.

Critical temperature/K: 33, 190, 304, 630.

On the basis of data given above, predict which of the following gases shows the least adsorption on a definite amount of charcoal?
Detailed Solution for TANGEDCO AE EE Full Test - 4 - Question 9

Concept:

  • The same adsorbent (charcoal in this case) at the same temperature will adsorb different gases to a different extent. The extent to which gases are adsorbed is proportional to the critical temperature of the gas.

Where a, is the magnitude of intermolecular forces between gaseous molecules. Thus, higher the critical temperature more is the gas adsorbed. Among the given gases, H2 has the minimum critical temperature, i.e. 33 K thus; it shows least adsorption on a definite amount of charcoal
TANGEDCO AE EE Full Test - 4 - Question 10

In C programming, which of the following loop use explicitly breaks out of the loop by executing the break; statement?

Detailed Solution for TANGEDCO AE EE Full Test - 4 - Question 10

while Loop:
Both while loops and do-while loops are condition-controlled, meaning that they continue to loop until some condition is met. While loops check for the stopping condition first, and may not execute the body of the loop at all if the condition is initially false.

where the body can be either a single statement or a block of statements within { curly braces }.
do-while Loops:
do-while loops are exactly like while loops, except that the test is performed at the end of the loop rather than the beginning. This guarantees that the loop will be performed at least once.

In theory, the body can be either a single statement or a block of statements within { curly braces }, but in practice, the curly braces are almost always used with do-whiles.
for Loops:
for-loops are counter-controlled, meaning that they are normally used whenever the number of iterations is known in advance.

TANGEDCO AE EE Full Test - 4 - Question 11
Fluid is a substance that
Detailed Solution for TANGEDCO AE EE Full Test - 4 - Question 11

Concept:

  • ​The distinction between a solid and a fluid is made on the basis of the substance’s ability to resist an applied shear (tangential) stress that tends to change its shape.
  • A solid can resist an applied shear by deforming its shape whereas a fluid deforms continuously under the influence of shear stress, no matter how small its shape is.
  • A fluid can be defined as a substance which is capable of flowing and changing its shape according to the surrounding without offering internal resistance. Liquid offers no resistance to change of shape and it conforms to the shape of its surrounding.
  • The fluid is a substance that continues to deform under the action of shear forces. If shear force is absent, fluid will be at rest.
TANGEDCO AE EE Full Test - 4 - Question 12

A network has a pole at s = -1 and a zero at s = -2. If this network is excited by sinusoidal input, the output

Detailed Solution for TANGEDCO AE EE Full Test - 4 - Question 12

The given network has a pole at s = -1 and a zero at s = -2.

The transfer function of the network can be represented as

TF = s+2 / s+1

The phase angle of the above system is,

The above phase angle is negative for all the frequencies. Therefore, the above system provides a lagging angle. This network is an example of lag compensator.

Therefore, if this network is excited by sinusoidal input, the output lags the input.

Note:

If the network provides a leading angle, then the output will be leading the input.

If the network provides zero angle, then the output will be in phase with the input.

TANGEDCO AE EE Full Test - 4 - Question 13

Calculate the regulation of the transformer in which ohmic loss is 1% of the output and reactance drop is 5% of the voltage, when the power factor is 0.8 leading

Detailed Solution for TANGEDCO AE EE Full Test - 4 - Question 13

Concept:
Voltage regulation is the change in secondary terminal voltage from no load to full load at a specific power factor of load and the change is expressed in percentage.
E2 = no-load secondary voltage
V2 = full load secondary voltage
Voltage regulation for the transformer is given by the ratio of change in secondary terminal voltage from no load to full load to no load secondary voltage.

Voltage regulation
It can also be expressed as,

Regulation

Regulation = %R cos ϕ ± %X sin ϕ
+ sign is used for lagging loads
- ve sign is used for leading loads
Where %R = ohmic drop
%X = reactance drop
Calculation:
Ohmic loss (%R) = 1%
Reactance drop (%X) = 5%
Power factor = cos ϕ = 0.8 leading
sin ϕ = 0.6
Regulation = %R cos ϕ ± %X sin ϕ
= 1 (0.8) - 5 (0.6) = -2.2%

TANGEDCO AE EE Full Test - 4 - Question 14

For a type 1 system, the low frequency asymptote of its Bode plot will have a slope of

Detailed Solution for TANGEDCO AE EE Full Test - 4 - Question 14

In a Bode magnitude plot,

  • For a pole at the origin, the initial slope is -20 dB/decade
  • For a zero at the origin, the initial slope is 20 dB/decade
  • The slope of magnitude plot changes at each corner frequency
  • The corner frequency associated with poles causes a slope of -20 dB/decade
  • The corner frequency associated with poles causes a slope of -20 dB/decade
  • The final slope of Bode magnitude plot = (Z – P) × 20 dB/decade

Type-1 System:

A low-frequency slope of the magnitude plot of -20 dB/decade indicates a single pole of G(s)H(s) at s = 0 and therefore a type 1 system.

TANGEDCO AE EE Full Test - 4 - Question 15
A dc chopper is fed from 200 V dc. Output voltage is rectangular pulses with Ton = 1 ms and T = 3 ms. The average output voltage and ripple factor for this chopper are
Detailed Solution for TANGEDCO AE EE Full Test - 4 - Question 15

Concept:

For the Step-Down, DC chopper-

V0 = α Vs

Where V0 = Average output Voltage

Vs = Input Voltage

And the duty ratio is α.

Ripple factor is given by-

Voltage Ripple factor

Where form factor (FF) =

So, V.R.F. =

Calculation:

Vs = 200 Volt

V0 = (1/3) × 200 = 66.66 Volt

V.R.F. = ≈ 1.5

TANGEDCO AE EE Full Test - 4 - Question 16
A packet filtering firewall operates at which of the following OSI layers?
Detailed Solution for TANGEDCO AE EE Full Test - 4 - Question 16

The correct answer is At the network.

Packet-filtering firewalls operate at the network layer (Layer 3) of the OSI model. Packet-filtering firewalls make processing decisions based on network addresses, ports, or protocols.

Host-to-Network Layer :
This is at the lowest of the stack among layers in the TCP/IP model. The host has to communicate to the network using some protocol, so that it may transmit IP packets over it. This protocol differs from host to host and network to network.
Protocols used: ARPANET, SATNET, LAN, packet radio are the protocols that are utilized in this layer.

Transport Layer :

  • It performs the same functions as that of the transport layer present in the OSI model. Here are the key points regarding the transport layer:
    1. It uses TCP and UDP protocol for an end to end transmission.
    2. TCP is a reliable and connection-oriented protocol.
    3. TCP also handles flow control.
    4. The UDP is not reliable and a connectionless protocol also does not perform flow control.
  • Protocols utilized in this layer: TCP/IP and UDP protocols are deployed in this layer.

Internet Layer :

  • The responsibility of this layer is to permit the host to insert packets into the network and then make them travel independently to the destination. However, the sequence of receiving the packet may vary from the sequence they were sent.
  • Protocols used: Internet Protocol (IP) is deployed in the Internet layer.

Application Layer :
This layer is the same as that of the OSI model and performs the given functions:
It provides various facilities such as manipulation of information in different ways, redistributing the files of information, distributing the results, etc.
The functions such as log in or password checking are also performed by the application layer.
Protocols used in this layer: TELNET, HTTP, NNTP, FTP, SMTP, DN are the protocols employed in this layer.
TANGEDCO AE EE Full Test - 4 - Question 17
Which type of chopper is generally used in high power circuits where load fluctuation is not very large?
Detailed Solution for TANGEDCO AE EE Full Test - 4 - Question 17

Chopper circuits are known as DC to DC converters. Similar to the transformers of the AC circuit, choppers are used to step up and step down the DC power. They change the fixed DC power to variable DC power.

Applications of Choppers:

Load Commutated Chopper:

In this type of commutation, the current through the SCR is reduced below the holding current value by resonating the load. In this type, the load circuit is so designed that even though the supply voltage is positive, an oscillating current tends to flow and when the current through the SCR reaches zero, the device turns off.

This type of chopper is used in Series Inverter circuits.

Current Commutated Chopper:

This is a type of commutation in which an LC series circuit is connected across the SCR. Since the commutation circuit has negligible resistance it is always under-damped i.e., the current in the LC circuit tends to oscillate whenever the SCR is on.

Voltage Commutated Chopper:

Voltage commutated choppers are widely used in high power circuits where load fluctuation is not large.
TANGEDCO AE EE Full Test - 4 - Question 18

Determine the inverse z-transform of: Where ROC: |Z| > 1

Detailed Solution for TANGEDCO AE EE Full Test - 4 - Question 18


Dividing, we get

…1)

We know that X(z)

Comparing 1) and 2) we get

TANGEDCO AE EE Full Test - 4 - Question 19

At a particular instant, the R- phase voltage of a balanced 3-phase system is +30 V, and the Y - phase voltage is -90V. The voltage of B - phase at that instant is

Detailed Solution for TANGEDCO AE EE Full Test - 4 - Question 19

Concept:
Let's consider 3-phase balanced voltage phasors as
VR = Vm sin (ωt)
VY = Vm sin (ωt - 120°)
VB = Vm sin (ωt -240°)
Where
VR, VY, VB are phase voltages of the balanced 3 phase system
Vm is the maximum value
Calculation:
Given that
at particular instant VR = + 30 V, VY = -90 V
VR = Vm sin (ωt) = +30
VY = Vm sin (ωt - 120°) = -90
Divide VR by VY
We will get, sin (ωt - 120°) = -3 sin (ωt)By solving wt =19.1°
And VR = 30 = Vm sin (ωt)
⇒ Vm = 91.68 V
Now substitute the value of wt and Vm in the VB equation,
VB = Vm sin (ωt +120°)
= 91.68 sin( 19.1°+120°)
=60 V
Therefore the value of B phase VB = +60 V
Alternative method:
At any instant of time sum of all the three phasors of three phase balanced system is equal to zero
so, VR + VY + VB =0
Given that at some instant VR = +30 V , VY = -90 V
From the above equation +30 + (-90) + VB = 0
⇒ VB = +60 V

TANGEDCO AE EE Full Test - 4 - Question 20
For differential protection of power transformer (delta-delta) the current transformers will have
Detailed Solution for TANGEDCO AE EE Full Test - 4 - Question 20

The differential relay actually compares between primary current and secondary current of power transformer, if any unbalance found in betweenprimary and secondary currents the relay will actuate and inter trip both the primary and secondary circuit breaker of the transformer.

For differential protection of power transformer, CT s must be connected in star in the delta side of the transformer and in delta in the star side of the transformer.

Therefore, the current transformers will have Star-star connection.
TANGEDCO AE EE Full Test - 4 - Question 21

The Nyquist plot for a control system is shown below, the type of the system is

Detailed Solution for TANGEDCO AE EE Full Test - 4 - Question 21

Concept:

  • The number of infinite radii half circles will be equal to the number of poles at the origin.
  • The infinite radius half-circle will start at the point where the mirror image of the polar plot ends. And this infinite radius half-circle will end at the point where the polar plot starts.

Analysis:


The above plot is not having ‘’ radius semi-circle. It means the system is a Type-0 system.

TANGEDCO AE EE Full Test - 4 - Question 22
A differentially compound DC generator has its series and shunt field providing 20% and 80% flux respectively. The series field is suddenly short circuited without changing the load. Then the terminal voltage ignoring all the resistances
Detailed Solution for TANGEDCO AE EE Full Test - 4 - Question 22

In a differentially compound DC generator,

Flux due to shunt field ϕrh = 80% of ϕ

Flux due to series field ϕre = 20% of ϕ

Since all the resistances are ignored, the voltage drop is zero.

⇒ Vt = Eg

As, Vt = Eg - IaRa

Vt = terminal voltage

Eg = generated voltage

The generated voltage is,

⇒ Eg ∝ ϕ

⇒ Vt ∝ ϕ ⇒ Vt ∝ (ϕrh – ϕre)

Now, the series field is suddenly short-circuited

⇒ ϕre = 0

Percentage change in terminal voltage = 100 × (Vtnew - Vtold) / Vtold

⇒ % change in Vt = 100 × (0.8 ϕ - 0.6 ϕ) / 0.6 ϕ

⇒ % change in Vt = 100 × 1 / 3 = 33.33%

∴ Terminal voltage increases by 33.33%

TANGEDCO AE EE Full Test - 4 - Question 23
The open loop transfer function of a unity feedback system is . The steady state error for unit acceleration input is
Detailed Solution for TANGEDCO AE EE Full Test - 4 - Question 23

Concept:

KP = position error constant =

Kv = velocity error constant =

Ka = acceleration error constant =

Steady state error for different inputs is given by

From the above table, it is clear that for type – 1 system, a system shows zero steady-state error for step-input, finite steady-state error for Ramp-input and steady-state error for parabolic-input.

Calculation:

Given transfer function is

Acceleration error constant

Steady state error

TANGEDCO AE EE Full Test - 4 - Question 24

A single phase full bridge converter supplies a load drawing current (constant and ripple free) If the triggering angle is 30°, the input power factor will be

Detailed Solution for TANGEDCO AE EE Full Test - 4 - Question 24

Concept
Harmonic Analysis on AC side of the converter
The Fourier series for the source current waveform is


where,
θn = -nα

Here only odd harmonics are present, even harmonics are canceled (or) eliminated
The RMS value of nth harmonic input current,
RMS value of fundamental current,
RMS value of total input current,

Also, θ1 = -α (Negative sign for θ1 indicates that fundamental current lags the source voltage).

Fundamental Displacement Factor (or) Displacement Factor

FDF = cos θ1 = cos (-α) = cos α

Current distortion factor (CDF) or (g)

Harmonic Factor (or) Total Harmonic Distortion

Harmonic estimated by the shape of the waveform e.g. square wave case, THD = 48.34% does not depend upon the magnitude of voltage (or) current waveform.

Power factor

Harmonics on DC side of the converter

Voltage ripple factor (VRF) measure the harmonics on DC side of the converter

VRF = 48.3426%
At α = 0
i.e. ripple is minimum
At α = 90°, ripple is maximum
Active power Input (P)
Only the RMS fundamental component of contributes to delivered useful power in the AC side of the converter but in
case of dc, the average value is responsible to provide useful power
Active power input P = Vsr Is1 cos α

P= V0I0
Reactive power input (Q):

Q = P tan α
Q = V0 I0 tan α
Calculation
Input power factor = 0.9 cos α
= 0.9 × cos 30° = 0.78

TANGEDCO AE EE Full Test - 4 - Question 25
Find out the fundamental period of discrete-time signal x(n) = (-1)n
Detailed Solution for TANGEDCO AE EE Full Test - 4 - Question 25

A discrete-time signal is periodic if there is a non-zero integer N ∈ discrete time such that for all n ∈ discrete time, x(n + N) = x(n).

The smallest value of N is known as the fundamental period.

The signal repeats after every N value.

x(n) = (-1)n

= 1, for n = 0, ±2, ±4, ±6, ±8, …

= 0, for n = ±1, ±3, ±5, …

The given signal repeats after every two values.

Therefore, the fundamental period = 2

Alternate method:

Given discrete-time signal is, x(n) = (-1)n

= (e)n = eiπn

= cos nπ + sin nπ

= conπs

Fundamental frequency, ω = π

Fundamental time period

TANGEDCO AE EE Full Test - 4 - Question 26

What is the convolution of the sequences of x1(n) = x2(n) = {1, 1, 1}?

Detailed Solution for TANGEDCO AE EE Full Test - 4 - Question 26

Concept:
Convolution of signals:
Convolution is a mathematical way of combining two signals to form a third signal.
Convolution methods:

  1. Sum by column method or Convolution summation method
  2. Periodic or Circular convolution method
  3. Matrix method.

Let, no. of terms in x1(n) = m,
No. of terms in x2(n)= n
then no. of terms in output signal y(n) is =m + n - 1.
y(n) = x1(n) * x2(n)
Calculation:
Given signals are
x1(n) = x2(n) = {1, 1, 1}
m = 3, n = 3
By using Sum by column method.

y(n) = x1(n) * x2(n)

Output y(n) = {1, 2, 3, 2, 1}

TANGEDCO AE EE Full Test - 4 - Question 27

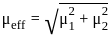
A carrier voltage is simultaneously modulated by two sine waves causing modulating indexes of 0.4 and 0.3. The overall modulation index is

Detailed Solution for TANGEDCO AE EE Full Test - 4 - Question 27

Concept:
When a carrier is modulated by different waves having different modulation indexes, the overall modulation index is given by:

Calculation:
Given μ1 = 0.4 and μ2 = 0.3, the overall modulation index will be:

μeff = 0.5
Important Point

We can calculate the total power of the modulated signal for the given overall modulation index as:

Pc = Carrier Power
μeff = Effective modulation Index

TANGEDCO AE EE Full Test - 4 - Question 28
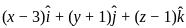
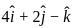
Equation of a plane passing through the point and perpendicular to the vector is
Detailed Solution for TANGEDCO AE EE Full Test - 4 - Question 28

Concept:

If two lines are perpendicular, then their dot product will be zero.

Calculation:

Let the point on the plane be (x, y, z)

Given that plane passes through the point (3, -1, 1), then the line vector passing through these two points is

since it is perpendicular to their dot product becomes zero

4x + 2y - z = 9

TANGEDCO AE EE Full Test - 4 - Question 29
If X ∼ N (0, 1) and Y = X2 then the correlation coefficient r (X, Y) is
Detailed Solution for TANGEDCO AE EE Full Test - 4 - Question 29

Concept:

The correlation coefficient is given by

Cov(X,Y) = E(XY) – E(X) E(Y)

Where cov(X, Y) = covariance of X and Y; σ = standard deviation; E = expectation;

Calculation:

Given X ∼ N (0, 1)μx = 0 & σx2 = 1 ⇒ σx = 1;

And the probability density function will be

μx = 0 ⇒ E(X) = 0;

var(X) = σX2 = E (X2) – [E (X)]2 = 1 ⇒ E (X2) = 1;

Given Y = X2; therefore Y is a chi-square distribution with 1 degree of freedom.

For a chi-square distribution with degree of freedom (n) = 1,

Expectation = E(Y) = n = 1; variance = σy2 = 2 × n = 2;

Now

E(XY) = E (X3) =

Hence, the function inside the integral is odd, we can say it is symmetric w.r.t zero.

E(X3) = 0;

Now

Cov(X, X2) = E (X3) – E(X) E(X2) = 0 – 0 × 1 = 0;

TANGEDCO AE EE Full Test - 4 - Question 30

The purpose of including an external resistance at the time of starting a DC motor is to

Detailed Solution for TANGEDCO AE EE Full Test - 4 - Question 30

A starter is necessary to start a DC motor because it restricts initial high armature current that exists, as the value of starting back-EMF is zero.
A resistor is used in the starter for a DC shunt motor

  • When the connected dc motor is to be started, the lever is turned gradually to the right
  • When the lever touches point 1, the field winding gets directly connected across the supply, and the armature winding gets connected with resistances R1 to R5 in series
  • During starting, full resistance is added in series with the armature winding
  • Then, as the lever is moved further, the resistance is gradually is cut out from the armature circuit
  • Now, as the lever reaches to position 6, all the resistance is cut out from the armature circuit and armature gets directly connected across the supply

So, the purpose of including an external resistance at the time of starting a DC motor is to reduce the starting current.

View more questions
Information about TANGEDCO AE EE Full Test - 4 Page
In this test you can find the Exam questions for TANGEDCO AE EE Full Test - 4 solved & explained in the simplest way possible. Besides giving Questions and answers for TANGEDCO AE EE Full Test - 4, EduRev gives you an ample number of Online tests for practice
Download as PDF