Electrical Engineering (EE) Exam  >  Electrical Engineering (EE) Tests  >  TANGEDCO AE EE Full Test - 5 - Electrical Engineering (EE) MCQ

TANGEDCO AE EE Full Test - 5 - Electrical Engineering (EE) MCQ


Test Description

30 Questions MCQ Test - TANGEDCO AE EE Full Test - 5

TANGEDCO AE EE Full Test - 5 for Electrical Engineering (EE) 2025 is part of Electrical Engineering (EE) preparation. The TANGEDCO AE EE Full Test - 5 questions and answers have been prepared according to the Electrical Engineering (EE) exam syllabus.The TANGEDCO AE EE Full Test - 5 MCQs are made for Electrical Engineering (EE) 2025 Exam. Find important definitions, questions, notes, meanings, examples, exercises, MCQs and online tests for TANGEDCO AE EE Full Test - 5 below.
Solutions of TANGEDCO AE EE Full Test - 5 questions in English are available as part of our course for Electrical Engineering (EE) & TANGEDCO AE EE Full Test - 5 solutions in Hindi for Electrical Engineering (EE) course. Download more important topics, notes, lectures and mock test series for Electrical Engineering (EE) Exam by signing up for free. Attempt TANGEDCO AE EE Full Test - 5 | 100 questions in 120 minutes | Mock test for Electrical Engineering (EE) preparation | Free important questions MCQ to study for Electrical Engineering (EE) Exam | Download free PDF with solutions
TANGEDCO AE EE Full Test - 5 - Question 1

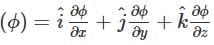
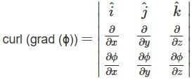
If φ is a scalar point function, the value of curl Grad φ is

Detailed Solution for TANGEDCO AE EE Full Test - 5 - Question 1

Concept:
Let ϕ be a function of (x, y, z)
Then grad 

curl (grad (ϕ))
curl (grad (ϕ)) = 0

TANGEDCO AE EE Full Test - 5 - Question 2

Find the Z transform of

Detailed Solution for TANGEDCO AE EE Full Test - 5 - Question 2

Concept:

The definition of z-transform is given by,

Analysis:

TANGEDCO AE EE Full Test - 5 - Question 3

The integral is evaluated along the circle x2 + y2 = 81 traversed in anticlockwise direction. The integral is equal to

Detailed Solution for TANGEDCO AE EE Full Test - 5 - Question 3

By Green’s Theorem

M = 3y

N = 6x

92 = r2 = x2 + y2

A =

I =

I =
TANGEDCO AE EE Full Test - 5 - Question 4

The Laplace transform of a unit ramp function starting at t = a, is

Detailed Solution for TANGEDCO AE EE Full Test - 5 - Question 4

Concept:
The Laplace transform F(s) of a function f(t) is defined by:

From the time-shifting property of Laplace transform:

We know,

n = 1,

Analysis:

L [(t-a)] =

TANGEDCO AE EE Full Test - 5 - Question 5

An over current relay of current rating 5 A and setting 150% is connected to the secondary of CT of ratio 300:5. Then the current in the lines for which the relay pick up is

Detailed Solution for TANGEDCO AE EE Full Test - 5 - Question 5

Concept:

The plug setting multiplier of a relay is defined as the ratio of secondary fault current to the pick up current.

PSM = Secondary fault current/Relay current setting

Pick up current = (Rated secondary current in CT) x (Current setting)

Calculation:

Given that,

Current setting = 150% = 1.5

Relay CT ratio = 300/5

Rated secondary current = 5 A

Therefore, pickup value current of relay = 5 x 1.5 = 7.5 A

For 7.5 A, the current in the primary of the CT is

TANGEDCO AE EE Full Test - 5 - Question 6

The difference between light wave and sound wave is based on which of the following phenomenon?

Detailed Solution for TANGEDCO AE EE Full Test - 5 - Question 6

Concept:
Sound:

  • A sound is a form of energy that produces a sensation of hearing in our ears.
  • It is a kind of disturbance that travels through a medium due to repeated vibrations of the particles of the medium about their mean positions.
  • The disturbance being handed over from one particle to the next.

Light:

  • Light is a form of electromagnetic radiation that can be detected by the human eye.
  • When light falls on an object, some part of the light is reflected on our eyes and we are able to see.

Explanation

  • Sound waves are longitudinal waves and light waves are transverse waves.
  • As we know sound waves are longitudinal waves and travel through compression and rarefactions in the medium on the other hand light waves are transverse in nature and do not require medium to travel.
  • As we know that, the sound wave and lightwave travels with different velocity and have a different frequency, therefore the wavelength (λ = v/f) is different for both.
  • Both sound and light waves follow the law of reflection, refraction, and interference of waves.

Therefore option 2 is correct.

TANGEDCO AE EE Full Test - 5 - Question 7

A cylinder of 50-litre capacity contains oxygen at temperature of 27°C and at absolute pressure 10 MPa. What will be the density of oxygen? [Gas constant for oxygen is 0.26 kJ/kg-K]

Detailed Solution for TANGEDCO AE EE Full Test - 5 - Question 7

Concept:
A hypothetical gas that obeys the law PV = nR̅T at all pressures and temperatures is called Ideal gas. There are two equations for Ideal Gas.

  • PV = nR̅T
  • PV = mRT, P = ρRT

where,
P = Absolute pressure (Pa), V = Volume (m3), n = Number of moles of the gas = m/M

Universal gas constant (8314 J/kg-mol.K), T = Absolute Temperature (K)
R = characteristic gas constant R/M M = Molecular weight of the gas
m = Mass of gas (kg) & ρ = Density of gas (kg/m3)
[Note: Use any of the above equation as per the inputs given]
Calculation:
Given:

V = 50 lit, T = 27 °C ⇒ 300 K, Pabs = 10 MPa ⇒ 10 × 106 Pa, R = 0.26 kJ/kg-K ⇒ 0.26 × 103 J/kg-K
P = ρRT
⇒ 10 × 106 = ρ × 0.26 × 103 × 300
⇒ ρ = 128.20 kg/m3

TANGEDCO AE EE Full Test - 5 - Question 8
The maximum efficiency is achieved in a transformer when the:
Detailed Solution for TANGEDCO AE EE Full Test - 5 - Question 8

Copper loss:

A loss in a transformer that takes place in the winding resistance of a transformer is known as the copper loss. These are variable losses.

Copper loss = i2R

Iron loss:

Iron losses = Eddy current loss + hysteresis loss

Eddy current loss = Ket2f2B2

Hysteresis loss = KhfBx

These are constant losses.

Efficiency:

The efficiency of the Transformer

Where, X = Fraction of load

S = Apparent power in kVA

Wi = Iron losses

Wcu = Copper losses

The transformer will give the maximum efficiency when their copper loss is equal to the iron loss.

Efficiency is maximum at some fraction x of full load.

Where Wi = iron losses

Wcu = copper losses

kVA at maximum efficiency is given by,

TANGEDCO AE EE Full Test - 5 - Question 9

The source of light for optic fiber transmission is ________.

Detailed Solution for TANGEDCO AE EE Full Test - 5 - Question 9
  • For fiber optics with glass fibers, light in the infrared region is widely used which has wavelengths longer than visible light, typically of 850, 1300, and 1550 nm.
  • Transmitters (Lasers or LEDs) emit in infrared regions and are used as a light source for fiber transmission.
  • Receivers (photodetectors) at these particular wavelengths are also easy to construct.

Notes:

  • We use infrared because the attenuation of the fiber is much less at those wavelengths.
  • The attenuation of glass optical fiber is caused by two factors, absorption, and scattering.
  • Absorption occurs in several specific wavelengths called water bands due to the absorption by minute amounts of water vapor in the glass.
TANGEDCO AE EE Full Test - 5 - Question 10

Open-circuit test of a transformer gives

Detailed Solution for TANGEDCO AE EE Full Test - 5 - Question 10

Open circuit test:

  • It is done by keeping one of the windings open (without load, usually high voltage winding is open) and applying rated voltage to other winding (usually low voltage winding because it is easier to apply rated voltage).
  • The current drawn from this terminal is the no-load current at low power factor corresponding to the core loss component. Since the no-load current is very small it doesn’t contribute to the copper loss. Core loss is calculated by multiplying the applied voltage and no-load current.
  • As the secondary side is open, the entire coil will be purely inductive in nature. So, the power will be lagging due to the inductive property of the circuit. So LPF (Low Power Factor) Wattmeter is used in the open circuit test of the transformer.

It is used to find

  • The core loss (iron losses or constant losses) of the transformer
  • The no-load current
  • Equivalent resistance referred to metering side
  • Shunt branch parameters i.e. magnetizing impedance

Short circuit test:

  • It is done by shorting one of the winding terminals (usually low voltage terminal) and applying a small voltage across the other winding terminals (high voltage terminal because the current in HV terminal will be less and easy to handle) and using a wattmeter to measure the power dissipated in the LV terminal. Wattmeter will indicate the full load copper loss.
  • In the short circuit test, the secondary winding of the transformer is short-circuited. As the secondary side is short-circuited the entire coil will be purely resistive in nature. So, the power factor will be High or unity.

Short circuit test is done to find

  • The full load copper loss or ohmic loss
  • Short circuit current
TANGEDCO AE EE Full Test - 5 - Question 11

The process of mixing the signal with the carrier is called

Detailed Solution for TANGEDCO AE EE Full Test - 5 - Question 11

Modulation:

  • A message carrying signal for transmission takes the help of a high-frequency carrier signal that does not change the contents of the message signal.
  • This process is known as Modulation.
  • The parameters of the carrier signal (amplitude, frequency, and phase) are changed in accordance with the instantaneous value of the message signal.
  • A mixer, or frequency mixer, is a nonlinear electrical circuit that creates new frequencies at the sum and difference of the original frequencies from two signals applied to it.
  • Mixers are widely used to shift signals from one frequency range to another, a process known as heterodyning.
  • Frequency mixers are also used to modulate a carrier signal in radio transmitters.

​Three types of Modulation are shown below:



Important Point
Dispersion:
Dispersion, in wave motion, is any phenomenon associated with the propagation of individual waves at speeds that depend on their wavelengths. Dispersion is sometimes called the separation of light into colors, an effect called angular dispersion
Attenuation: Attenuation is the loss of signal strength in networking cables or connections. This typically is measured in decibels (dB) or voltage and can occur due to a variety of factors.
Demodulation: Demodulation is the process of extracting the original information-bearing signal (message signal) from a carrier wave. It is the inverse of the modulation process.

TANGEDCO AE EE Full Test - 5 - Question 12

The Mohr circle for a point in hydrostatic fluid will be

Detailed Solution for TANGEDCO AE EE Full Test - 5 - Question 12

Explanation:
Mohr Circle:

  • It is a two-dimensional graphical representation (σ as x-axis and τ as y-axis) of the state of stress inside a body.
  • The abscissa and ordinate of each point on the circle are the magnitudes of the normal stress and shear stress components, respectively.
  • In other words, the Mohr circle is the locus of those points which represents the normal and shear stress on various planes passing through a point on a loaded body.

Properties of Mohr Circle:

  • Centre of Mohr circle always lies on x-axis (σ-axis) i.e. Mohr circle is always symmetrical about the σ-axis.
  • The co-ordinate of centre is which represents normal stress on the plane of τmax.
  • Radius of Mohr circle represents maximum shear stress i.e.
  • If two-point on the circumference of Mohr circle subtends an angle 2θ at centre, then the angle between those plane will be θ.

Special case:
1) Hydrostatic loading / Hydrostatic stress:

In the case of hydrostatic fluid, equal and alike normal stress acts on two mutually perpendicular planes without any shear i.e. σx = σy = σ and τxy = 0.

∴ centre is at (σ, 0) and radius = 0, which represents a point on x-axis / σ-axis or normal stress axis.

 
2) Pure shear
In pure shear σx and σy = 0, τxy = τ

∴ centre is at origin (0, 0) and radius = τ.
 

TANGEDCO AE EE Full Test - 5 - Question 13

In radix-2 FFT, if the number of points N = 16 then the number of complex additions and number of complex multiplications are respectively

Detailed Solution for TANGEDCO AE EE Full Test - 5 - Question 13

Concept:
The N- point DFT is given as:

The number of complex additions and multiplications in direct DFT are N(N - 1) and N2
For a large value of N, it will take a large time to compute the DFT.
So, we use a different technique called fast Fourier transform (FFT) which follows the “Cooley-Tukey” algorithm.
The number of complex additions (P) and multiplications (Q) will be:


Calculation:
Given that, N = 16
Number of complex additions P = 16 log 16 = 64
Number of complex multiplications Q = 16/2 log 16 = 32

TANGEDCO AE EE Full Test - 5 - Question 14

If the magnetic flux through each turn of the coil consisting of 200 turns is (t2 - 3t) milli-Webers, where t is in seconds, then the induced emf in the coil at t = 4 sec is

Detailed Solution for TANGEDCO AE EE Full Test - 5 - Question 14

Concept:
According to Faraday's law, the induced emf in a coil (having N turns) is the rate of change of magnetic flux linked with coil,

N = number of turns in the coil
ϕ = magnetic flux link with the coil
Calculation:
Given that ϕ = (t2 – 3t) m-wb and N = 200
Induced emf in coil


e = -200 (2t - 3) × 10-3
then the induced emf in the coil at t = 4
e = - 200 (2 × 4 - 3) × 10-3 = - 1 V

TANGEDCO AE EE Full Test - 5 - Question 15

What is the ideal shape for the cross-section of the core of a transformer?

Detailed Solution for TANGEDCO AE EE Full Test - 5 - Question 15
  • The ideal shape of cross-section of a transformer core is circular.
  • For making perfect circular cross section, each and every successive lamination steel sheet should be cut in different dimension and size.
  • This is absolutely uneconomical for practical manufacturing.
  • In reality, manufacturers use different groups or packets of predefined number of same dimension lamination sheets.
  • The group or packet is a block of laminated sheets with a predefined optimum height (thickness).
  • The core is an assembly of these blocks in such a successive manner as per their size from core central line, that it gives an optimum circular shape of the cross-section.
TANGEDCO AE EE Full Test - 5 - Question 16

The line currents of a three-phase system are j3 A, (1 + j1) A, (-1 -j1) A. The zero sequence current will be:

Detailed Solution for TANGEDCO AE EE Full Test - 5 - Question 16

Concept:

The relation between the line currents in terms of the symmetrical components of currents is given below.

Ia0 = Zero Sequence Component of Current

Ia1 = Positive Sequence Component of Current

Ia2 = Negative Sequence Component of Current

a = 1∠120°, which represents the rotation of 120° in clockwise direction.

a2 = 1∠-120° or 1∠240° in anticlockwise direction or in clockwise direction, respectively.

Calculation:

Given

Ia = j3 A

I= (1 + j1) A

Ic = (-1 -j1) A

The zero sequence current:

Ia0 = j1 A

TANGEDCO AE EE Full Test - 5 - Question 17

By adding zero to the system transfer function, the improvement to transient response is called as:

Detailed Solution for TANGEDCO AE EE Full Test - 5 - Question 17

By adding a pole to the system, the steady-state response will improve.
By adding a zero to the system, the transient response will improve.

If a > b, then it is a lag compensator
If a < b, then it is a lead compensator
To improve the transient response, the zero should be nearer to the origin. Which is possible if b > a
Therefore, the lead compensator will improve the transient response.
Important Point
Lead compensator:
Transfer function:

If it is in the form of , then a > 1
If it is in the form of , then a < b
Maximum phase lead frequency:
Maximum phase lead:
ϕm is positive
Pole zero plot:

The zero is nearer to the origin.
Filter: It is a high pass filter (HPF)
Effect on the system:

  • Rise time and settling time decreases and Bandwidth increases
  • The transient response becomes faster
  • The steady-state response is not affected
  • Improves the stability

Lag compensator:
Transfer function:

If it is in the form of , then a < 1

If it is in the form of , then a > b
Maximum phase lag frequency:
Maximum phase lag:

ϕm is negative

Pole zero plot:

The pole is nearer to the origin.
Filter: It is a low pass filter (LPF)
Effect on the system:

  • Rise time and settling time increases and Bandwidth decreases
  • The transient response becomes slower
  • The steady-state response is improved
  • Stability decreases
TANGEDCO AE EE Full Test - 5 - Question 18

The Values of:

i)

ii) u(n) – u(n - 1)

Detailed Solution for TANGEDCO AE EE Full Test - 5 - Question 18

Concept:
∑ x(n) δ (n – n0) = x (n0)

Application:
(i)

Since, the impulse is present at -1 and limit is from 0 to

(ii) u(n) – u(n – 1)

∴ u[n] – u[n - 1] = δ [n]

TANGEDCO AE EE Full Test - 5 - Question 19

A random experiment has 64 equally likely outcomes. Find the information associated with each outcome.

Detailed Solution for TANGEDCO AE EE Full Test - 5 - Question 19

Concept:

The entropy of a probability distribution is the average or the amount of information when drawing from a probability distribution.

It is calculated as:

bits

pi is the probability of the occurrence of a symbol.

Application:

The number of outcomes = 64.

Since all the outcomes are equally likely, the probability of each outcome happening is:

The information associated with each outcome will be:

∴ The information associated with each outcome is of 6 bits.

TANGEDCO AE EE Full Test - 5 - Question 20

Which of the following frequency is suitable for the space wave communication?

Detailed Solution for TANGEDCO AE EE Full Test - 5 - Question 20

Concept:

  • In the field of communication different types of propagation method are used for electromagnetic wave.
    • Ground wave propagation: If the radio waves have a frequency less than 2 MHz, then this method is used to communicate from one place to another via earth surface.
      • It gives the best efficiency at receiving end.
    • Sky wave propagation: If the radio frequency is between 2 MHz to 30 MHz then it can be communicated via sky wave by ionosphere reflection of a wave toward earth.
      • This type of propagation is used by short wave broadcast service.
      • Ionosphere act as a reflecting surface for this propagation.
      • It extends its height from 65 to 400 km above the earth surface.
    • Space wave Propagation: It is also known as line-of-sight (LOS) propagation. If the frequency is above 40 MHz then for communication we use this method.
      • Space wave is used in line-of-sight as well as space communication.
      • Because of LOS type of communication sometimes it is blocked by objects in between.
      • Examples are- Television Broadcast, microwave links, satellite communication etc.

Explanation: 

  • For waves of frequency:
    • Less than 2 MHz – Ground wave propagation
    • Up to 30 MHz to 40 MHz – Sky wave propagation
    • More than 40 MHz – Space wave propagation

So, Option 3 is correct.

TANGEDCO AE EE Full Test - 5 - Question 21

A piece of writing paper that is 10 cm wide, 15 cm long and 0.05 mm thick has a dielectric strength of 8 kV/mm. if it is placed between two copper plates and subjected to an increasing voltage, it will break down at

Detailed Solution for TANGEDCO AE EE Full Test - 5 - Question 21

Concept:
Electric field intensity between two parallel conducting plates can be calculated as:
E = V/L
Where E = Electric field intensity
V = supply voltage supplied by the source.
l = distance by which parallel conducting plates are separated.
Application:
Given:
l = 0.05 mm
E = 8 kV/mm
The maximum voltage that can be applied before breakdown is:
8 × 0.05 = 0.4 kV

TANGEDCO AE EE Full Test - 5 - Question 22
Which one of the following plays an important role in the fine recording of audio signals on magnetic tape recorder?
Detailed Solution for TANGEDCO AE EE Full Test - 5 - Question 22
  • A magnetic tape recorder is used to record data which can be retrieved and reproduced in electrical form again. This recorder can record signals of high frequency.
  • Speed of the motor plays an important role in the fine recording of audio signals on magnetic tape recorder.
  • A motor circuit of a tape recorder comprises a mechanical switch in which a movable contact is connected to a first contact in response to the depression of a recording or reproduction button, and also to a second contact in response to the depression of a fast feeding or rewinding button.
  • A motor control circuit is connected to a D.C. power source through the first contact of the mechanical switch to provide a motor speed suitable for the recording or reproduction.
  • An output terminal of a constant voltage circuit connected to the D.C. power source is connected to the motor through a switching transistor.
  • The switching transistor is rendered conducting in response to the closing of the second contact of the mechanical switch, causing an output from the constant voltage circuit to be supplied to the motor to rotate the motor at a high speed suitable for the fast feeding or rewinding.
TANGEDCO AE EE Full Test - 5 - Question 23

If Im and Is are the currents in the main and starting windings respectively, the torque developed by a split phase motor is proportional to

Detailed Solution for TANGEDCO AE EE Full Test - 5 - Question 23

A split-phase motor has no capacitance in the auxiliary circuit. A phase shift with respect to the main current is achieved by using narrow conductors to achieve a high resistance to reactance ratio.

Increasing the resistance means that the auxiliary winding can only be used during starting, otherwise, it would overheat.
A split-phase motor has significantly lower torque at starting than any of the capacitor motors due to the reduced phase angle between main and starting winding currents.

Torques developed by a split-phase motor is proportional to the sine of the angle between Im and Is

TANGEDCO AE EE Full Test - 5 - Question 24

The open loop control system is one in which

Detailed Solution for TANGEDCO AE EE Full Test - 5 - Question 24

Open-loop control system:
The open-loop control system can be described by a block diagram as shown in the figure below.

These are the systems in which the control action is independent of output and other state variables.
Ex:
Traffic signals, washing machine and bread toaster, systems having no sensor, etc.
Advantages:

  • Simple construction and design
  • Cost is less
  • Maintenance is easy
  • No problem of instability
  • Convenient to measure when the output is difficult to measure

Disadvantages:

  • These are less accurate, and their accuracy depends on the calibration.
  • Inaccurate results are obtained with parameter variations within the system.
  • Recalibration of the controller is required time to time to maintain accuracy.

Closed-loop control system:
The open-loop control system can be described by a block diagram as shown in the figure below.

These are the systems in which the control action depends on the output. These systems have a tendency to oscillate.
Ex: Temperature controllers, speed control of the motor, systems having sensors, etc.
Advantages:

  • More accurate
  • Non-linear distortions are less
  • Output is less sensitive to parameter changes within the system
  • Bandwidth increases

Disadvantages:

  • Design is complicated
  • More expensive
  • May become unstable, if there are malfunctions in the feedback.
TANGEDCO AE EE Full Test - 5 - Question 25

In a 3-phase inverter with 180° conduction mode the number of switches that is on at any instant of time is

Detailed Solution for TANGEDCO AE EE Full Test - 5 - Question 25

180-degree conduction with star connected resistive load:

The configuration of the three-phase inverter with star connected resistive load as shown in the figure. The following convention is followed.

  • A current leaving a node point a, b or c and entering the neutral point n is assumed to be positive.
  • All the three resistances are equal, Ra = Rb = Rc = R

In this mode of operation, each switch conducts for 180°. Hence at any instant of time three switches remain on. There are six possible modes of operation in a cycle and each mode is of 60° duration and the explanation of each mode is as follows:

TANGEDCO AE EE Full Test - 5 - Question 26
In the Butterworth first order filter, the gain rolls off at the rate-
Detailed Solution for TANGEDCO AE EE Full Test - 5 - Question 26
For any first order filter, the roll off is at a rate of -20 dB/decade.
TANGEDCO AE EE Full Test - 5 - Question 27

The following figure shows a composite switch consisting of a power transistor (BJT) in series with a diode. Assuming that the transistor switch and the diode are ideal, the I-V characteristic of the composite switch is

Detailed Solution for TANGEDCO AE EE Full Test - 5 - Question 27

Both the power transistor and the diode are ideal.
When voltage V is positive, both transistor and diode will be ON and making voltage across them zero and current I will be flowing.
⇒ at V = 0, I = Imaximum (∞)
When voltage V is negative, then both will be OFF and offering infinite resistance and hence voltage is maximum, and the current is zero.
⇒ at V = Vmax (∞), I = 0
Now, the V-I characteristics are as shown below.

TANGEDCO AE EE Full Test - 5 - Question 28

When the frequency band is selected, we can specify the sampling rate and the characteristics of the pre-filter, which is also called as

Detailed Solution for TANGEDCO AE EE Full Test - 5 - Question 28

Anti-Aliasing Filter:

  • An anti-aliasing filter (AAF) is a filter used before a signal sampler to restrict the bandwidth of a signal.
  • It blocks the higher frequency contents in a signal to restrict it to a maximum frequency.
  • Anti-aliasing filters are commonly used at the input of the digital signal processing system's analog-to-digital converter.

Important Point
Aliasing is explained with the help of the spectrum as shown:

TANGEDCO AE EE Full Test - 5 - Question 29

The dimension of ferromagnetic domains is in the order of

Detailed Solution for TANGEDCO AE EE Full Test - 5 - Question 29

The atoms in these materials have permanent magnetic moments, and a phenomenon called exchange coupling takes place in which the magnetic moments of nearby atoms line up with one another. This forms domains, small neighbourhoods where the magnetic moments are aligned. Typical dimensions of domains are 0.1 to 1 mm.

When a ferromagnetic material is not magnetized it still has domains, but the domains have random magnetization directions. If an external field is turned on two things happen. Domains aligned with the field grow at the expense of domains aligned against the field, and the magnetization direction within each domain tends to shift towards the direction of the applied field.

TANGEDCO AE EE Full Test - 5 - Question 30

Which of the following can be used to extend the range of an ammeter?

Detailed Solution for TANGEDCO AE EE Full Test - 5 - Question 30
  • Shunts are used for the range extension of ammeters.
  • A shunt is a low-value resistance having minimum temperature co-efficient.
  • It is connected in parallel with the ammeter whose range is to be extended. The combination is connected in series with the circuit whose current is to be measured.
  • Shunt provides a path for extra current as it is connected across (in parallel with) the instrument.
  • These shunted instruments can be used to measure currents many times greater than their normal full-scale deflection currents.
  • The ratio of maximum current (with shunt) to the full-scale deflection current (without shunt) is known as the ‘multiplying power’ or ‘multiplying factor’ of the shunt.


In the figure
I is total current flowing in the circuit
Ish is the current through the shunt resistor
Rm is the ammeter resistance

View more questions
Information about TANGEDCO AE EE Full Test - 5 Page
In this test you can find the Exam questions for TANGEDCO AE EE Full Test - 5 solved & explained in the simplest way possible. Besides giving Questions and answers for TANGEDCO AE EE Full Test - 5, EduRev gives you an ample number of Online tests for practice
Download as PDF