Electronics and Communication Engineering (ECE) Exam  >  Electronics and Communication Engineering (ECE) Tests  >  BEL Trainee Engineer Electronics Mock Test - 1 - Electronics and Communication Engineering (ECE) MCQ

BEL Trainee Engineer Electronics Mock Test - 1 - Electronics and Communication Engineering (ECE) MCQ


Test Description

30 Questions MCQ Test - BEL Trainee Engineer Electronics Mock Test - 1

BEL Trainee Engineer Electronics Mock Test - 1 for Electronics and Communication Engineering (ECE) 2025 is part of Electronics and Communication Engineering (ECE) preparation. The BEL Trainee Engineer Electronics Mock Test - 1 questions and answers have been prepared according to the Electronics and Communication Engineering (ECE) exam syllabus.The BEL Trainee Engineer Electronics Mock Test - 1 MCQs are made for Electronics and Communication Engineering (ECE) 2025 Exam. Find important definitions, questions, notes, meanings, examples, exercises, MCQs and online tests for BEL Trainee Engineer Electronics Mock Test - 1 below.
Solutions of BEL Trainee Engineer Electronics Mock Test - 1 questions in English are available as part of our course for Electronics and Communication Engineering (ECE) & BEL Trainee Engineer Electronics Mock Test - 1 solutions in Hindi for Electronics and Communication Engineering (ECE) course. Download more important topics, notes, lectures and mock test series for Electronics and Communication Engineering (ECE) Exam by signing up for free. Attempt BEL Trainee Engineer Electronics Mock Test - 1 | 100 questions in 120 minutes | Mock test for Electronics and Communication Engineering (ECE) preparation | Free important questions MCQ to study for Electronics and Communication Engineering (ECE) Exam | Download free PDF with solutions
BEL Trainee Engineer Electronics Mock Test - 1 - Question 1

An IP packet has arrived with the first 8 bits as 0100 0010. Which of the following is correct?

Detailed Solution for BEL Trainee Engineer Electronics Mock Test - 1 - Question 1

The correct answer is option 2.

Concept:

Minimum header size of IPv4 = 20-byte

The maximum header size of IPv4 = 60 bytes

The header length field in the IPv4 header is 4 bits.

Maximum possible value (1111) = 15.

Explanation:

The given data,  the first 8 bits is 0100 0010,
The First 4 bits represent version IPV4 (0100).
And another 4 bits represent header length ( bits decimal value x 4) which should range between 20 to 60 bytes. This means that these 4 bits must represent the decimal number between 5 and 15. 

Which is 2 × 4 = 8 bytes which is not possible since the minimum header length for IPv4 is 20 bytes. 

Here (0010=2)

Here are the last bits of decimal value=2.
Hence Receiver will reject the packet.

Hence the correct answer is The receiver rejects the packet.

BEL Trainee Engineer Electronics Mock Test - 1 - Question 2

In a semiconductor, Drift current is due to:

Detailed Solution for BEL Trainee Engineer Electronics Mock Test - 1 - Question 2

Drift Current:

  • Drift current in the diode is the combined effect of movement of the minority charge carrier and majority charge carriers and also on the electric field applied to the diode.
  • Drift current is due to the motion of charge carriers when a force exerted on them by an electric field.
  • In the p-n junction diode, electrons are the majority charge carriers in the n-region and holes are the majority charge carriers in the p-region.
  • When an electric field is applied to the diode there is more number of covalent bonds break and the concentration of charge carriers also increases in both region (p-type, n-type), and hence they affect the drift current in the diode.

Drift current Idrift = Jdrift × A

Where, Jdrift = Drift current density

A = Area of semiconductor

Now, Jdrift = σ ⋅ E

= (nqμn + p.qμp)

σ = Conductivity

E = Electric field

⇒ Idr = (nq.μn + p.qμp) ⋅ E A,

n = Number of electrons in n region

p = Number of holes in p-region

q = Charge on electrons and holes

μp = Mobility of holes

μn = Mobility of electrons

Additional Information

Diffusion

1) Diffusion is a natural phenomenon.

2) The migration of charge carriers from higher concentration to lower concentration or from higher density to lower density is called diffusion.

3) Diffusion is mainly due to the concentration gradient and is always negative.

It is given by:

 for holes and

 for electrons.

Diffusion current is calculated by:

 -----(1)

where,

Dis hole diffusion constant in cm2/sec

and q is charge in Coulomb.

BEL Trainee Engineer Electronics Mock Test - 1 - Question 3

What will be the decimal number equivalent to the binary number (11001)2?

Detailed Solution for BEL Trainee Engineer Electronics Mock Test - 1 - Question 3

Given:

Binary number = 11001

Calculation:

According to the question, we have

Converting the binary number to decimal number

⇒ Decimal number = 1 x 24 + 1 x 23 + 0 x 22 + 0 x 21 + 1 x 20

⇒ 16 + 8 + 0 + 0 + 1

⇒ 25

∴ 25 is the decimal equivalent of the binary number (11001)2

BEL Trainee Engineer Electronics Mock Test - 1 - Question 4

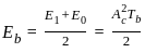
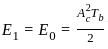
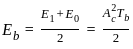
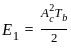
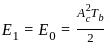
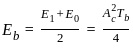
The energy per bit Eb of ASK, PSK and FSK follow:

Detailed Solution for BEL Trainee Engineer Electronics Mock Test - 1 - Question 4

For ASK:

The energy of bit 1, 

 and energy of bit 0, 

So, average energy per bit,

 

For PSK:

So, average energy per bit,

 

For FSK:

So, average energy per bit, 

Thus, we see: 

2EBASK  = EBPSK = EBFSK

BEL Trainee Engineer Electronics Mock Test - 1 - Question 5
Shifting the register content to left by two bits can be used to implement
Detailed Solution for BEL Trainee Engineer Electronics Mock Test - 1 - Question 5

1) Shift registers are sequential circuits that are used for storage or for the transfer of binary data.

2) The shift register takes the data present on the input and "shifts" it to the output once every clock cycle.

3) Every shift in the register content to the right by one-bit position is equivalent to dividing the original number by two 

4) Every shift in the register content to the left by one-bit position is equivalent to multiplying the original number by two.

This is explained with the help of the following Example:

Example:

Let the original content of a 4-bit right shift register is 0100 which is 4 in decimal, i.e.

(0100)2 = (4)10 

1). Shifting the content of the register to the left by two-bit position, the new content now becomes (10000)2, which is 16 in decimal, i.e.

(10000)2 = (16)10

Clearly, the original number is multiplied by 4. 

2). Shifting the content of the register to the right by one-bit position, the new content now becomes (0010)2, which is 2 in decimal, i.e.

(0010)2 = (2)10

Clearly, the original number is divided by 2. 

BEL Trainee Engineer Electronics Mock Test - 1 - Question 6

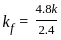
In a frequency modulated (FM) system, when the audio frequency is 500 Hz and the audio frequency voltage is 2.4 V, the frequency deviation δ is 4.8 kHz. If the audio frequency voltage is now increased to 7.2 V then what is the new value of deviation?

Detailed Solution for BEL Trainee Engineer Electronics Mock Test - 1 - Question 6

Concept:

For an FM system, the frequency modulation is given as:

δ = Am kf

Am = Maximum amplitude of the modulating signal

kf = Frequency sensitivity of the FM modulator.

Note: We observe that the frequency deviation in independent of the frequency of the modulating signal.

Calculation:

For Am = 2.4 V, δ = 4.8 kHz, i.e.

4.8k = kf × 2.4

∴ For Am = 7.2 V, the dideviation will be:

δ = kf × 7.2

δ = 14.4 kHz

Important Point

Modulation Index (β) in FM is given by:

kf = frequency sensitivity

Am = modulating voltage

BEL Trainee Engineer Electronics Mock Test - 1 - Question 7
Which of the following is NOT a cursor control devices used in CAD systems
Detailed Solution for BEL Trainee Engineer Electronics Mock Test - 1 - Question 7

Explanation:

CAD/CAM

  • CAD stands for Computer-Aided Design whereas CAM is the abbreviation for Computer-Aided Manufacturing.
  • CAD/CAM applications are used to both design a product and programme manufacturing processes, specifically, CNC machining.
  • CAD and CAM can be set up to create a direct link between the design and manufacture of a product. The drawing geometry is then used in the CAM program to generate instructions for the CNC machine tools employing stamping, cutting, burning, bending and other types of operations.

Hardware devices which are used in CAD/CAM application:

Cursor control devices:

  • Absolute touchpad
  • Thumbwheels
  • Mouse
  • Trackball
  • Light pen
  • Relative touchpad
  • Displacement joystick
  • Force joystick
BEL Trainee Engineer Electronics Mock Test - 1 - Question 8

Which of the following PCM schemes is depicted in the below figure?

Detailed Solution for BEL Trainee Engineer Electronics Mock Test - 1 - Question 8

Concept:

Adaptive Delta Modulation (ADM):

  • This Modulation is the refined form of delta modulation.
  • This method was introduced to solve the granular noise and slope overload error caused during Delta modulation.
  • In DM the step size is constant and depends on a maximum slope but in ADM the step size is varied according to the slope of the message signal.

Key Points

  • In Adaptive Delta Modulation, the step size of the staircase signal is not fixed and changes depending upon the input signal.
  • Here first the difference between the present sample value and previous approximation is calculated.
  • This error is quantized i.e. if the present sample is smaller than the previous approximation, quantized value is high or else it is low. (This is performed by the comparator)
  • The output of the one-bit quantizer is given to the Logic step size control circuit where the step size is decided.
BEL Trainee Engineer Electronics Mock Test - 1 - Question 9

The Ku frequency band used in satellite communication (for uplink and downlink) is:

Detailed Solution for BEL Trainee Engineer Electronics Mock Test - 1 - Question 9

Concept:

  • The microwave spectrum is usually defined as a range of frequencies ranging from 1 GHz to over 300 GHz.
  • This range has been divided into a number of frequency bands, each represented by a letter.

Various frequency bands and their uplink and downlink frequencies used in satellite communication are shown in the table below

BEL Trainee Engineer Electronics Mock Test - 1 - Question 10

An ON-OFF controller is 

Detailed Solution for BEL Trainee Engineer Electronics Mock Test - 1 - Question 10
  • On-Off control is the simplest form of feedback control.
  • An on-off controller simply drives the manipulated variable from fully closed to fully open depending on the position of the controlled variable relative to the setpoint.
  • A common example of on-off control is the temperature control in a domestic heating system.
  • It can be represented as a P controller.
BEL Trainee Engineer Electronics Mock Test - 1 - Question 11

Which of the following is used as a low noise amplifier in satellite receiver?

Detailed Solution for BEL Trainee Engineer Electronics Mock Test - 1 - Question 11
  • A low-noise amplifier (LNA) is an electronic amplifier that amplifies a very low-power signal without significantly degrading its signal-to-noise ratio
  • LNAs are designed to amplify a signal while minimizing additional noise
  • The LNA boosts the antenna signal to compensate for the feed line losses between the (outdoor) antenna and the (indoor) receiver

TUNNEL Diode is used as an LNA in satellite communication because of its high sensitivity.

BEL Trainee Engineer Electronics Mock Test - 1 - Question 12
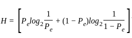
When the channel is extremely noisy, producing a conditional probability of error = 0.75; then the channel capacity and entropy function respectively are:
Detailed Solution for BEL Trainee Engineer Electronics Mock Test - 1 - Question 12

Channel capacity, 

but, for a noisy channel

∴ C ≈ B.W log21

≈ 0 bps

The probability of error, 

Pe = 0.75 = 3/4

∴ The entropy for a noisy channel is:

= 0.311 + 0.5 = 0.811

BEL Trainee Engineer Electronics Mock Test - 1 - Question 13

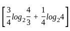
The total number of complex multiplications required for a 32- point FFT (Fast Fourier Transform) is:

Detailed Solution for BEL Trainee Engineer Electronics Mock Test - 1 - Question 13

Concept:

The total number of complex multiplies for an N-point FFT is given by:

Calculation:

Given N = 32

So, for a 32-point FFT, the total number of complex multiplies required will be: 

  = 16 × 5 = 80

BEL Trainee Engineer Electronics Mock Test - 1 - Question 14
An IP packet has arrived with the first 8 bits as 0100 0010. Which of the following is correct?
Detailed Solution for BEL Trainee Engineer Electronics Mock Test - 1 - Question 14

The correct answer is option 2.

Concept:

Minimum header size of IPv4 = 20-byte

The maximum header size of IPv4 = 60 bytes

The header length field in the IPv4 header is 4 bits.

Maximum possible value (1111) = 15.

Explanation:

The given data,  the first 8 bits is 0100 0010,
The First 4 bits represent version IPV4 (0100).
And another 4 bits represent header length ( bits decimal value x 4) which should range between 20 to 60 bytes. This means that these 4 bits must represent the decimal number between 5 and 15. 

Which is 2 × 4 = 8 bytes which is not possible since the minimum header length for IPv4 is 20 bytes. 

Here (0010=2)

Here are the last bits of decimal value=2.
Hence Receiver will reject the packet.

Hence the correct answer is The receiver rejects the packet.

BEL Trainee Engineer Electronics Mock Test - 1 - Question 15

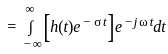
Assuming zero initial conditions, the response y(t) of the system given below to a unit step input   is ____

Detailed Solution for BEL Trainee Engineer Electronics Mock Test - 1 - Question 15

Concept:

Blocks which are cascaded are multiplied with their system in the frequency domain

Multiplication in the frequency domain corresponds to the Convolution in the time domain.

x(t) ∗ h(t) = y(t)

Laplace transform:  It comes in two variables, Bilateral and Unilateral.

The Bilateral Laplace transform offers insight into the nature of system characteristics such as Stability, causality, and frequency response.

The unilateral Laplace transform is a convenient tool for solving differential equations with initial conditions.

Analysis:

Let us consider the Laplace transform of h(t) is H(s)

Inverse Laplace transform is derived as shown

The above equation indicates that

H ( σ + jω ) is a Fourier transform of   

Hence the inverse Fourier transform of H ( σ + jω ) must be

. i.e,

A change of variable is performed by letting, s = σ + jω,

which also yields dω = ds/j, s → (σ – j∞ ) as:

 ω → - ∞ and s → (σ + j∞ ) as ω → ∞

Calculation:

 If we use integral formula the solution becomes very lengthy and it will be an iterative process.

So we use the simple property.

 ⋯ (i)

From the given question output equation will be multiplication since these are in the frequency domain.

comparing this with the above equation (i) the value of n = 1.

So the inverse Laplace transform y(t) will be tu(t).

BEL Trainee Engineer Electronics Mock Test - 1 - Question 16

Systems in which the output has no effect on the control action are called:

Detailed Solution for BEL Trainee Engineer Electronics Mock Test - 1 - Question 16

Open-loop control system:

The open-loop control system can be described by a block diagram as shown in the figure below.

These are the systems in which the control action is independent of output.

Ex: Traffic signals, washing machine and bread toaster, systems having no sensor, etc.

Advantages:

  • Simple construction and design
  • Cost is less
  • Maintenance is easy
  • No problem of instability
  • Convenient to measure when the output is difficult to measure

Disadvantages:

  • These are less accurate, and their accuracy depends on the calibration.
  • Inaccurate results are obtained with parameter variations within the system.
  • Recalibration of the controller is required time to time to maintain accuracy.

Closed-loop control system:

The open-loop control system can be described by a block diagram as shown in the figure below.

These are the systems in which the control action depends on the output. These systems have a tendency to oscillate.

Ex: Temperature controllers, speed control of the motor, systems having sensors, etc.

Advantages:

  • More accurate
  • Non-linear distortions are less
  • Output is less sensitive to parameter changes within the system
  • Bandwidth increases

Disadvantages:

  • Design is complicated
  • More expensive
  • May become unstable, if there are malfunctions in the feedback.
BEL Trainee Engineer Electronics Mock Test - 1 - Question 17
Which instrument is representing an integrating type instrument? 
Detailed Solution for BEL Trainee Engineer Electronics Mock Test - 1 - Question 17

An energy meter is a type of integrating instrument.

Types of measuring instruments

The measuring instruments are divided into four major parts:

1.) Indicating Instrument

  • The indicating Instrument displays only the value of the electrical quantities per time of measurement.
  • This instrument gives the reading only when connected to the electrical supply. Otherwise, it goes to the zero position.
  • Ammeters, Voltmeters, Wattmeters, etc are examples of indicating instruments.

2.) Recording Instrument

  • The recording Instrument displays and records the reading of the electrical quantities per time of measurement.
  • This instrument is generally used in the generating Station and substation.
  • ECG and X-Rays are examples of recording instruments.

3.) Integrating Instrument

  • The Integrating Instrument displays, record, and add the numerical value of the reading of the electrical quantities per time of measurement.
  • The energy meter and Ampere-hour meter are examples of integrating instruments.

4.) Null Deflection Instrument

  • The Null Deflection Instrument shows the reading of the electrical quantities without the deflection angle at per time of measurement.
  • The potentiometer is an example of a null deflection instrument.
BEL Trainee Engineer Electronics Mock Test - 1 - Question 18
With reference to IoT, how a system is associated with the data?
Detailed Solution for BEL Trainee Engineer Electronics Mock Test - 1 - Question 18

The answer is Cloud.

Key Points

  • The Internet of Things or IoT is a collective network of connected devices that facilitates communication among devices and between devices and the cloud. Hence Option 3 is correct.
  • Devices in the network are referred to as physical things such as smart lights, sensors, cars etc. These devices share the data they collect by connecting to an IoT gateway, where the data is sent to the cloud.
  • IoT applications are prebuilt Software-as-a-Service (SaaS) that can analyze and present captured IoT sensor data to users.

Additional Information

  • Cloud is a network of remote servers that are hosted for storing and retrieving data over the internet. It offers various services like servers, databases, virtual storage etc. Two of the popular cloud providers are Amazon Web Services and Microsoft Azure. 
  • The Internet is a worldwide system of computer networks to establish communication between computers in order to share files, download resources etc.
  • An intranet is a restricted communicating network for a certain group of people such as a business organization. It is owned by private firms.
  • The extranet is a private network like the intranet, usually open to external users of the organization such as partners, clients etc.
BEL Trainee Engineer Electronics Mock Test - 1 - Question 19

One who possesses many talents

Detailed Solution for BEL Trainee Engineer Electronics Mock Test - 1 - Question 19

One word substitution is Versatile.

Versatile: able to adapt or be adapted to many different functions or activities.
Nubile: sexually mature; old enough for marriage.
Exceptional: unusually good; outstanding.
Gifted: having exceptional talent or natural ability.
 

BEL Trainee Engineer Electronics Mock Test - 1 - Question 20

Find out the Synonym of the following word:

RECKLESS

Detailed Solution for BEL Trainee Engineer Electronics Mock Test - 1 - Question 20
  • Reckless or rash means "acting or done without considering the possible results".
  • Courageous: not deterred by danger or pain; brave.
  • Bold: (of a person, action, or idea) showing a willingness to take risks; confident and courageous.
  • Daring: causing outrage or surprise by being boldly unconventional.

Hence Correct Answer is Option B

BEL Trainee Engineer Electronics Mock Test - 1 - Question 21

Direction: Read the following passages carefully and answer the question that follows.
The ancient Harappan Civilization emerged, flourished and collapsed under a steadily weakening monsoon, according to new research findings, that scientists say, provide the strongest evidence yet to link its risk and fall to changing climate. A team of scientists has combined multiple sets of date to show that weakening monsoon and reduced river water initially stimulated intensive agriculture and urbanisation, but later precipitated the decline and collapse of the subcontinent's earliest cities. The scientist said their research also suggests that a larger river, summed to be the mythical Saraswati, which once watered the Harappan Civilization's heartland between the suggests it was a glacier fed river with origins in the Himalyas. The findings appear today in the US Journal Proceedings of the National Academy of Science

Q. What was the controversy in the passage?

Detailed Solution for BEL Trainee Engineer Electronics Mock Test - 1 - Question 21

The controversy is about the monsoon fed river and the glacier fed river.

BEL Trainee Engineer Electronics Mock Test - 1 - Question 22

Direction: Read the following passages carefully and answer the question that follows.
The ancient Harappan Civilization emerged, flourished and collapsed under a steadily weakening monsoon, according to new research findings, that scientists say, provide the strongest evidence yet to link its risk and fall to changing climate. A team of scientists has combined multiple sets of date to show that weakening monsoon and reduced river water initially stimulated intensive agriculture and urbanisation, but later precipitated the decline and collapse of the subcontinent's earliest cities. The scientist said their research also suggests that a larger river, summed to be the mythical Saraswati, which once watered the Harappan Civilization's heartland between the suggests it was a glacier fed river with origins in the Himalyas. The findings appear today in the US Journal Proceedings of the National Academy of Science

Q. Why the Harappan Civilisation collapsed?

Detailed Solution for BEL Trainee Engineer Electronics Mock Test - 1 - Question 22

The Harappan Civization collapsed just because of mosson.

BEL Trainee Engineer Electronics Mock Test - 1 - Question 23

By clicking on ________ folder we can retrieve the earlier email message that we work on but not yet completed or plan to send at a later time.

Detailed Solution for BEL Trainee Engineer Electronics Mock Test - 1 - Question 23

The correct answer is Draft.

Key Points

  • A draft is simply an email message you haven't yet sent.
  • The Drafts folder is where you keep email messages that you have not yet completed or plan to send at a later time.
  • It is an email message you close by choosing File → Save or closing the window rather than clicking the Send button.
  • This act places the message into the Drafts folder.
  • Drafts in Gmail contains the emails which are composed but not sent.

No More Fear: Preview your emails as Drafts, then send them with one click

Additional Information

  • Inbox by Gmail scans the user's incoming Gmail messages for information.
    • It gathers email messages related to the same overall topic to an organized bundle with a title describing the bundle's content.
    • The service highlights key details and important information in messages, such as flight itineraries, event information, and photos and documents. 
  • Sent- The message successfully sent to the recipient.
    • Once the message has been sent, most e-mail programs move the message to the "Sent" or "Sent Messages" folder. 
BEL Trainee Engineer Electronics Mock Test - 1 - Question 24

______ techniques can be used to resolve conflicts, such as competition for resources, and to synchronize processes so that they can cooperate.

Detailed Solution for BEL Trainee Engineer Electronics Mock Test - 1 - Question 24
Techniques for Resolving Conflicts and Synchronizing Processes
There are several techniques that can be used to resolve conflicts and synchronize processes in various systems. These techniques include:
1. Mutual Exclusion:
- This technique ensures that only one process accesses a shared resource at a time.
- It uses locks, semaphores, or other synchronization mechanisms to enforce exclusive access.
- By preventing concurrent access, conflicts and data corruption can be avoided.
2. Busy Waiting:
- In this technique, a process continuously checks for the availability of a resource.
- It keeps looping until the resource becomes available, which may waste CPU cycles and decrease overall system efficiency.
- However, it can be useful in situations where the waiting time is expected to be short.
3. Deadlock:
- Deadlock occurs when two or more processes are unable to proceed because each is waiting for a resource held by the other.
- It can be resolved using various techniques like resource allocation graphs, deadlock detection algorithms, and deadlock prevention algorithms.
4. Starvation:
- Starvation happens when a process is perpetually denied necessary resources or unable to progress.
- It can be resolved by implementing fair scheduling algorithms that ensure every process gets a fair share of resources.
In conclusion, mutual exclusion is the appropriate technique to resolve conflicts and synchronize processes. It ensures exclusive access to shared resources, preventing conflicts and data corruption. Busy waiting, deadlock, and starvation, on the other hand, are potential issues that need to be addressed to maintain system efficiency and fairness.
BEL Trainee Engineer Electronics Mock Test - 1 - Question 25

The full form of HTML is:

Detailed Solution for BEL Trainee Engineer Electronics Mock Test - 1 - Question 25

The full form of HTML is Hypertext Markup Language.

 Key Points

  1.  HTML, in a full hypertext markup language, a formatting system for displaying material retrieved over the Internet.
  2. Each retrieval unit is known as a Web page (from World Wide Web), and such pages frequently contain hypertext links that allow related pages to be retrieved.
  3. HTML is the markup language for encoding Web pages.
BEL Trainee Engineer Electronics Mock Test - 1 - Question 26

Which of the following statement about first generation computers is false? 

Detailed Solution for BEL Trainee Engineer Electronics Mock Test - 1 - Question 26

The correct answer is They used small number of transistors that emitted less amount of heat.

Key Points

  • They used small number of transistors that emitted less amount of heat, this statement about first-generation computers is false.
    • The generations of computers are characterized by a major technological development that fundamentally changed the way computers operate.
    • It results in the development of smaller, cheaper, more powerful, and more efficient and reliable devices.

Additional Information 

  • First Generation Computers (1940-1956)
    • The first computers used vacuum tubes for circuitry and magnetic drums for memory.
    • These were enormous in size, taking up entire rooms.
    • These computers were very expensive to operate.
    • In addition to using a great deal of electricity, the first computers generated a lot of heat, which was often the cause of malfunctions.
    • First-generation computers relied on machine language, the lowest-level programming language understood by computers to perform operations.
    • They could only solve one problem at a time.
    • It would take operators days or even weeks to set up a new problem and calculate.
    • However, they were the fastest-calculating device of their time.  
    • The input was based on punched cards and paper tape, and the output was displayed on printouts.
    • The UNIVAC and ENIAC computers are examples of first-generation computing devices.
    • The UNIVAC was the first commercial computer delivered to a business client, the U.S. Census Bureau in 1951.​
BEL Trainee Engineer Electronics Mock Test - 1 - Question 27

Which of the following includes special effects that can be applied to drawing objects?

Detailed Solution for BEL Trainee Engineer Electronics Mock Test - 1 - Question 27
Special Effects for Drawing Objects:
The special effects that can be applied to drawing objects include:
1. Gradient Fills: Gradient fills allow you to apply a smooth transition of colors to a shape or object. This effect can be used to create depth, shading, and visual interest in your drawings.
2. Line Color and Style: You can change the color and style of lines in your drawings to add emphasis or create different visual effects. For example, you can use dashed or dotted lines to create a sense of movement or highlight specific areas.
3. Rotating: Rotating an object allows you to change its orientation. This effect can be used to create dynamic compositions or adjust the positioning of objects within your drawing.
Overall, the answer is All of these (option D) as all the mentioned options include special effects that can be applied to drawing objects.
BEL Trainee Engineer Electronics Mock Test - 1 - Question 28

Arrange the following words in the logical and meaningful order.

1. Designing

2. Manufacturing

3. Production

4. Planning

5. Implementation

Detailed Solution for BEL Trainee Engineer Electronics Mock Test - 1 - Question 28

The logic follows here is :-

From the given words we can understand that it is a process of construction or a materials.

Planning → Designing → Implementation → Manufacturing → Production 

So, logical and meaningful order is 4 - 1 - 5 - 2 - 3

Thus, the correct answer is "4 - 1 - 5 - 2 - 3".

BEL Trainee Engineer Electronics Mock Test - 1 - Question 29

Direction: In each of the following questions a pair of capitalised words is followed by four pair of words. You are required to mark as the answer the pair of words which have a relationship between them most similar to the relationship between the capitalised pair.

Malapropism : Words

Detailed Solution for BEL Trainee Engineer Electronics Mock Test - 1 - Question 29

Malapropism: The mistaken use of a word in place of a similar-sounding one, often with unintentionally amusing or nonsensical results.

  1. Anachronism: Something or someone placed in the wrong time period, out of its proper chronological order.
  2. Ellipsis: The omission of one or more words from a sentence, where the omitted words are understood from the context.
  3. Jinjanthropism: Attributing human characteristics or behavior to apes or other non-human primates.
  4. Catechism: A summary of religious principles, often in the form of questions and answers, used for instruction in religious doctrine.

Hence according to meanings, Option A is correct.

BEL Trainee Engineer Electronics Mock Test - 1 - Question 30

Study the figures in given matrix and find out the answer figure which completes the problem figure matrix.

Detailed Solution for BEL Trainee Engineer Electronics Mock Test - 1 - Question 30

The pattern followed is,

In the first row,

The first figure is surrounded by two circles.

The second figure is surrounded by one circle.

The third figure is not surrounded by any circle.

In the second row,

The first figure is surrounded by one square.

The second figure is not surrounded by any square.

 In the third figure there is no outline.

In the third row,

The first figure is surrounded by two triangles.

The second figure is surrounded by one triangle.

And,

The third figure should not be surrounded by any triangle.

The correct image that fits is,

Hence, option 3 is the correct answer.

View more questions
Information about BEL Trainee Engineer Electronics Mock Test - 1 Page
In this test you can find the Exam questions for BEL Trainee Engineer Electronics Mock Test - 1 solved & explained in the simplest way possible. Besides giving Questions and answers for BEL Trainee Engineer Electronics Mock Test - 1, EduRev gives you an ample number of Online tests for practice
Download as PDF