Electronics and Communication Engineering (ECE) Exam  >  Electronics and Communication Engineering (ECE) Tests  >  BEL Trainee Engineer Electronics Mock Test - 5 - Electronics and Communication Engineering (ECE) MCQ

BEL Trainee Engineer Electronics Mock Test - 5 - Electronics and Communication Engineering (ECE) MCQ


Test Description

30 Questions MCQ Test - BEL Trainee Engineer Electronics Mock Test - 5

BEL Trainee Engineer Electronics Mock Test - 5 for Electronics and Communication Engineering (ECE) 2025 is part of Electronics and Communication Engineering (ECE) preparation. The BEL Trainee Engineer Electronics Mock Test - 5 questions and answers have been prepared according to the Electronics and Communication Engineering (ECE) exam syllabus.The BEL Trainee Engineer Electronics Mock Test - 5 MCQs are made for Electronics and Communication Engineering (ECE) 2025 Exam. Find important definitions, questions, notes, meanings, examples, exercises, MCQs and online tests for BEL Trainee Engineer Electronics Mock Test - 5 below.
Solutions of BEL Trainee Engineer Electronics Mock Test - 5 questions in English are available as part of our course for Electronics and Communication Engineering (ECE) & BEL Trainee Engineer Electronics Mock Test - 5 solutions in Hindi for Electronics and Communication Engineering (ECE) course. Download more important topics, notes, lectures and mock test series for Electronics and Communication Engineering (ECE) Exam by signing up for free. Attempt BEL Trainee Engineer Electronics Mock Test - 5 | 100 questions in 120 minutes | Mock test for Electronics and Communication Engineering (ECE) preparation | Free important questions MCQ to study for Electronics and Communication Engineering (ECE) Exam | Download free PDF with solutions
BEL Trainee Engineer Electronics Mock Test - 5 - Question 1

If the input to T-flipflop is 200 Hz signal, the final output of the three T- flipflops in cascade is

Detailed Solution for BEL Trainee Engineer Electronics Mock Test - 5 - Question 1

Concept:

If we pass the input signal to a single T-flip flop, we will get half of the frequency at the output.

Similarly, when we pass the input signal to n-T flip-flops, the output frequency (fout) will be:

Application:

Given Input frequency f = 200 Hz

fout = 25 Hz

BEL Trainee Engineer Electronics Mock Test - 5 - Question 2

For an AM signal, the bandwidth is 6 kHz and the highest frequency component present is 600 kHz. The carrier frequency used for this AM signal is

Detailed Solution for BEL Trainee Engineer Electronics Mock Test - 5 - Question 2

The frequency spectrum of an Amplitude Modulated wave is given by:

Bandwidth in AM = 2fm = 6 kHz

fm = 3 kHz

Upper sideband = fc + fm = 600 kHz

∴ The carrier frequency is:

fc = 600 – fm = 600 - 3 kHz

fc = 597 kHz

BEL Trainee Engineer Electronics Mock Test - 5 - Question 3

Which of the following is an example of amplitude combination?

Detailed Solution for BEL Trainee Engineer Electronics Mock Test - 5 - Question 3
  • In electronics, a super-heterodyne receiver uses frequency mixing to convert a received signal to a fixed intermediate frequency (IF) which can be more conveniently processed than the original carrier frequency and audio stage does not need alignment in a radio receiver.
  • Audio mixing is one of the applications where two different audio frequencies are mixed using super-heterodyne receiver. 
BEL Trainee Engineer Electronics Mock Test - 5 - Question 4

In _________ transmission, the channel capacity is shared by both communicating devices at all times.

Detailed Solution for BEL Trainee Engineer Electronics Mock Test - 5 - Question 4

Concept:

The data flow between the two devices can be in simplex, half duplex and full duplex modes.

1. Simplex

  • In Simplex, communication is unidirectional. Only one of the devices sends the data and the other one only receives the data.
  • The channel capacity is used by only one device all the time.

Example: A CPU sends data while a monitor only receives data.

2. Half Duplex

  • In half duplex both the stations can transmit as well as receive but not at the same time. When one device is sending other can only receive and vice-versa
  • The channel capacity is shared by both the devices but at a time only once device uses the full capacity.

Example: A walkie-talkie

3. Full Duplex

  • In Full duplex mode, both stations can transmit and receive at the same time.
  • The channel capacity is shared by both communicating devices at all times.

Example: mobile phones

BEL Trainee Engineer Electronics Mock Test - 5 - Question 5

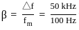
The frequency deviation produced in a VHF carrier by a signal of 100 Hz is 50 kHz. The frequency modulation index is:

Detailed Solution for BEL Trainee Engineer Electronics Mock Test - 5 - Question 5

The modulation index,  for a Frequency modulated wave, is given by:

Δf = Frequency deviation

fm = Modulating frequency

Calculation:

Given, Δf = 50 kHz and fm = 100 Hz

β = 500

BEL Trainee Engineer Electronics Mock Test - 5 - Question 6

Which one is used for the generation of a PWM (pulse width modulation) signal?

Detailed Solution for BEL Trainee Engineer Electronics Mock Test - 5 - Question 6

PWM :

It stands for pulse width modulation.

In this narrow or wide pulse is sent which means pulse width is varied.

For the generation of PWM 

  • Comparator
  • MonoStable Vibrator

Hence correct option is "4"

BEL Trainee Engineer Electronics Mock Test - 5 - Question 7

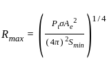
In a radar system, if the peak transmitted power is increased by a factor of 16 and the antenna diameter is increased by a factor of 2, then the maximum range will increase by a factor of

Detailed Solution for BEL Trainee Engineer Electronics Mock Test - 5 - Question 7

Concept:

The maximum range of a radar system is given as

Where:

Rmax = Maximum range of the radar

Smin = Minimum Detectable Signal Power

Pt = Peak transmitted power

Ae = Aperture Area

D = Antenna diameter

We observe that 

Rmax ∝ D1/2 x Pt1/4  

Calculation:

P(new) = 16 P(old)

D(new) = 2D(old)

Rmax ∝ D1/2 x Pt1/4  

R(new) = √2D1/2 x 2P1/4

R(new) = 2√2R(old)

R(new) = √8R(old)

Hence,  If the peak transmitted power is increased by a factor of 16, and the antenna diameter is increased by a factor of 2, the radar range will be increased by a factor of √8.

BEL Trainee Engineer Electronics Mock Test - 5 - Question 8

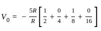
A 4-bit R-2R digital to analog converter (DAC) has a reference of 5 Volts. What is the analog output for input code 1010?

Detailed Solution for BEL Trainee Engineer Electronics Mock Test - 5 - Question 8

Concept:

R – 2R ladder DAC:

3 bit R – 2R DAC  by using Inverting op-amp is shown below:

Output voltage is defined as:

V0 = - I1(RF) ⋯ (i)

Current is calculated as:

     ⋯ (ii)

Current drawn from the source is

I = V / R ⋯ (iii)

Current is calculated as:

The final output voltage is

For n bit DAC output voltage is

Calculation:

Given digital input is 1010 and the reference voltage is 5 V

a= 1, a= 0, a= 1, a= 0

considering the value of the feedback resistor for Op amp is R Ω

Output voltage is

V= -3.125 V

BEL Trainee Engineer Electronics Mock Test - 5 - Question 9
Which of the following is NOT the feature of optical cable?
Detailed Solution for BEL Trainee Engineer Electronics Mock Test - 5 - Question 9

Advantages and disadvantages of step-index mono-mode optical fiber.

BEL Trainee Engineer Electronics Mock Test - 5 - Question 10

Given below in the left column are different modes of communication using the kinds of waves given in the right column.


From the options given below, find the most appropriate match between entries in the left and the right column.
Detailed Solution for BEL Trainee Engineer Electronics Mock Test - 5 - Question 10

Concept:

1. Optical fibres can be used to transmit light and thus information over long distances. The electromagnetic spectrum is composed of visible and near-infrared light like that transmitted by fibre, and all other wavelengths used to transmit signals such as AM and FM radio and television.

For fibre optics with glass fibres, we use light in the infrared region which has wavelengths longer than visible light, typically around 850, 1300 and 1550 nm.

2. Radar is a detection system that uses radio waves to determine the range, angle, or velocity of objects.

Radio waves (pulsed or continuous) from the transmitter reflect off the object and return to the receiver, giving information about the object's location and speed have frequencies as high as 300 gigahertz (GHz) to as low as 30 hertz (Hz). X-band is a segment of the microwave radio region of the electromagnetic spectrum, within the frequency range 8–12 GHz.

3. Sonar is a system used for the detection of objects under water by emitting sound pulses and detecting or measuring their return after being reflected.

Ultrasonic waves (sounds having frequency greater than 20,000 Hz) are used in sonar because Ultrasonic waves can penetrate water to long distances (because of their high frequency and very short wavelength), but ordinary sound waves or infrasonic waves cannot penetrate water to such long distances.

4. A mobile phone receives microwave signals from a nearby phone (or transmitter) and sends microwave signals back. These short bursts of microwave radiation can transmit a lot of information in a very short time with frequencies between 300 MHz (1 m) and 300 GHz (1 mm).

Therefore, the correct matched pairs are


Thus, the correct answer is A-Q, B-S, C-P, D-R.
BEL Trainee Engineer Electronics Mock Test - 5 - Question 11

If an instrument has zero drift, the magnitude of error will be:

Detailed Solution for BEL Trainee Engineer Electronics Mock Test - 5 - Question 11

Sensitivity of measuring instrument

  • All calibrations and specifications of an instrument are only valid under controlled conditions of temperature, pressure, and so on. These standard ambient conditions are usually defined in the instrument specification.
  • As variations occur in the ambient temperature, certain static instrument characteristics change, and the sensitivity to disturbance is a measure of the magnitude of this change.
  • Such environmental changes affect instruments in two main ways, known as zero drift and sensitivity drift.
  • Zero drift or bias describes the effect where the zero reading of an instrument is modified by a change in ambient conditions. This causes a constant error that exists over the full range of measurement of the instrument. 
  • Sensitivity drift defines the amount by which an instrument's sensitivity of measurement varies as ambient conditions change. It is quantified by sensitivity drift coefficients that define how much drift there is for a unit change in each environmental parameter that the instrument characteristics are sensitive to. 

BEL Trainee Engineer Electronics Mock Test - 5 - Question 12

Which of the following statement is Incorrect:

i). Schottky diodes are also known as Hot carrier diodes.

ii). Schottky diodes have high reverse recovery time.

iii). Schottky diode has no PN Junction.

iv). Schottky diode is a Majority carrier device and can be used as a low noise amplifier.

Detailed Solution for BEL Trainee Engineer Electronics Mock Test - 5 - Question 12

Schottky Diode:

It is not a typical diode because it does not have a p-n junction.

Instead, it consists a doped semiconductor (usually n-type) and metal, bound together as shown:

          

  • When the metal comes into contact with n-type semiconductor the majority carriers, electrons, are infused into metal commonly called "Hot carrier" since injected electrons from semi-conductor have very high kinetic energy compared to electrons in a metal.
  • ​The Schottky diode’s significant characteristic is its fast switching speed as it doesn't allow the diode to reach saturation.
  • This makes the Shottky diode useful for high-frequencies and digital applications.
  • Schottky diode is also known as the Schottky barrier diode, surface barrier diode, majority carrier device, hot-electron diode, or hot carrier diode.
  • Its symbolic representation is as shown:-

          1

  • The Schottky diode is a semiconductor formed by the junction of a semiconductor with metal. It has a low forward voltage drop and near-zero reverse recovery time hence used in very fast switching circuits.
  • Schottky barrier diode can be used as a low noise amplifier due to metal-semiconductor junction.
BEL Trainee Engineer Electronics Mock Test - 5 - Question 13

Consider the following statements regarding differential pulse-code modulators:

1. The differential pulse-code modulator system employs a predictor.

2. It needs far fewer bits per each error sample than what would have been needed for the original samples themselves.

3. It will have larger dynamic range than the original message itself.

Select the correct statements using the code given below, 

Detailed Solution for BEL Trainee Engineer Electronics Mock Test - 5 - Question 13

Differential pulse-code modulators:

  • The DPCM module implements one of the simplest compression algorithms.
  • It combines a spatial prediction loop with a non-uniform quantizer of which the representation levels are Huffman encoded.
  • It is a signal encoder that uses PCM but adds some functionalities based on the prediction of the samples of the signal.
  • The input to the DPCM can be an analog or digital signal.
  • The number of encoded bits is smaller than in the PCM system.
  • It needs far fewer bits per error sample than what would have been needed for the original samples themselves.
  • This results in fewer bandwidth requirements by the DPCM system and hence has a lower dynamic range than the original message itself.

Hence, options 1 and 2 are correct.

BEL Trainee Engineer Electronics Mock Test - 5 - Question 14

Kathy was looking for a strong but light material to use for making her water jugs. Unfortunately, she chose noodelite. It proved to too porous to hold jelly. A porous material _____

Detailed Solution for BEL Trainee Engineer Electronics Mock Test - 5 - Question 14

Porous means (of a rock or other material) having minute interstices through which liquid or air may pass

Synonyms: permeable, penetrable, pervious
For instance, the new moonlet might be porous, like an orbiting icy rubble pile
Very high capacity supercapacitors use a porous carbon-based electrode material

BEL Trainee Engineer Electronics Mock Test - 5 - Question 15

The typical elements of process image are ______.
(i) User data
(ii) System data
(iii) User program
(iv) System stack

Detailed Solution for BEL Trainee Engineer Electronics Mock Test - 5 - Question 15
The typical elements of process image are:

  • User data

  • System data

  • User program

  • System stack


Explanation:

  • User data: This includes the data that is specific to the user and is used by the user program.

  • System data: This includes the data that is used by the operating system to manage the process, such as process control block (PCB), process state, priority, etc.

  • User program: This is the actual program code that is executed by the processor.

  • System stack: This is the stack used by the system for managing function calls and local variables.


Therefore, the typical elements of a process image include user data, system data, user program, and system stack.
BEL Trainee Engineer Electronics Mock Test - 5 - Question 16

Hardware that calculates CRC(Cyclic Redundancy Check) uses:

Detailed Solution for BEL Trainee Engineer Electronics Mock Test - 5 - Question 16

The hardware used for calculating a Cyclic Redundancy Check (CRC) typically includes:

  • An XOR unit to perform bitwise exclusive OR operations.
  • A shift register to shift bits, which helps in the calculation of the CRC.

These components work together to efficiently compute the CRC value, ensuring data integrity in digital networks and storage devices.

BEL Trainee Engineer Electronics Mock Test - 5 - Question 17

Control footing is

Detailed Solution for BEL Trainee Engineer Electronics Mock Test - 5 - Question 17
Explanation:
The control footing refers to the labels printed at the end of each control group in a report. It is not the same as the report heading or the labels printed at the end of each page.
Here is a breakdown of the options:
A: Same as report heading
- This statement is incorrect as control footing is not the same as the report heading.
B: The labels printed at the end of each page
- This statement is incorrect as control footing is not the labels printed at the end of each page.
C: The labels printed at the end of each control group
- This statement is correct. Control footing refers to the labels printed at the end of each control group in a report.
D: The labels printed at the end of a report
- This statement is incorrect as control footing is not the labels printed at the end of a report.
Therefore, the correct answer is C: The labels printed at the end of each control group.
BEL Trainee Engineer Electronics Mock Test - 5 - Question 18

Which one of the following is the windows program key combination for undo? :

Detailed Solution for BEL Trainee Engineer Electronics Mock Test - 5 - Question 18

The correct answer is Ctrl + Z.

Key Points

  • Undo is a technique or a command which is implemented in many computer programs.
  • It erases the last change done to the document.
  • We can undo, redo, or repeat many actions in Microsoft Word, PowerPoint, and Excel.
  • With the help of undo command, the users can explore and work without fear of making mistakes, because changes can be made whenever required.
  • The opposite of undo is Redo.
  • The redo command reverses the undo command.
  • In Microsoft Windows applications, the keyboard shortcut for the Undo command is Ctrl+Z or Alt+Backspace, and the shortcut for Redo is Ctrl+Y or Ctrl+Shift+Z.
BEL Trainee Engineer Electronics Mock Test - 5 - Question 19

Report footing is

Detailed Solution for BEL Trainee Engineer Electronics Mock Test - 5 - Question 19
Explanation:
The report footing is the label printed at the end of a report. It serves as a way to identify the end of the report and can include information such as the page number, date, and other details.
Key Points:
- The report footing is different from the report heading, which is the label printed at the beginning of a report.
- The report footing is located at the end of the report, usually at the bottom of the last page.
- It provides important information such as the page number, date, and any other relevant details.
- The report footing helps to organize and structure the report, making it easier for readers to navigate and refer to specific sections.
- It is important to ensure that the report footing is clear, concise, and accurately reflects the content of the report.
- The report footing can be customized according to the specific requirements of the report or the organization's guidelines.
- Including a report footing is a common practice in professional reports to provide a professional and polished look to the document.
BEL Trainee Engineer Electronics Mock Test - 5 - Question 20

The facilities available on the internet are
(i) Electronic mail
(ii) Remote login
(iii) File transfer
(iv) Word processing 

Detailed Solution for BEL Trainee Engineer Electronics Mock Test - 5 - Question 20

The facilities available on the internet are:
Electronic mail:
- Electronic mail, or email, is a widely used facility on the internet.
- It allows users to send and receive messages electronically.
- Email can be used for communication purposes, both personal and professional.
Remote login:
- Remote login allows users to access another computer or network remotely.
- It enables users to connect to a remote computer and access its resources.
- Remote login is commonly used for remote troubleshooting, accessing files, and managing servers.
File transfer:
- File transfer is another facility available on the internet.
- It allows users to transfer files from one computer to another.
- File transfer can be done using protocols such as FTP (File Transfer Protocol) or through cloud storage services.
Word processing:
- Word processing is a facility that allows users to create, edit, and format documents.
- There are various online word processing tools available on the internet.
- Users can create and collaborate on documents in real-time using these tools.
Answer: Option B: i, ii, iii.
BEL Trainee Engineer Electronics Mock Test - 5 - Question 21

What is the use of MS Powerpoint?

Detailed Solution for BEL Trainee Engineer Electronics Mock Test - 5 - Question 21

The correct answer is the Presentation program.

Key Points

  • Microsoft PowerPoint
    • It is a powerful slide show presentation program. Hence, Option 4 is correct.
    • It is a standard component of the company's Microsoft Office suite software and is bundled together with Word, Excel, and other office productivity tools.
    • The program uses slides to convey information rich in multimedia.

Additional Information

BEL Trainee Engineer Electronics Mock Test - 5 - Question 22
In MS Excel 2019, address of currently selected cell is shown in -
Detailed Solution for BEL Trainee Engineer Electronics Mock Test - 5 - Question 22

Name Box: This is a small rectangular box located in the top left corner of the Excel window, to the left of the formula bar. It displays the address of the currently selected cell (for example, "A1" if the first cell is selected). Apart from displaying cell references, you can use it to define names to cells or ranges.

Formula Bar: This is located just below the ribbon and to the right of the name box. It is used to enter or edit a formula, a function, or data in a cell. It displays the contents of the currently active cell and allows you to create and edit formulas.

Status Bar: This is located at the bottom of the Excel window. It provides various types of status information, including the average, count, and sum of selected numbers, whether the scroll lock is on, and other status messages. It doesn't display the address of the selected cells.

Title Bar: This is at the very top of the Excel window, displaying the name of the currently open workbook (Excel file). The title bar is largely used to move the application window around and doesn't show the address of the selected cells.

Among these options, only "Name Box" displays the reference of the currently selected cell or cells.

BEL Trainee Engineer Electronics Mock Test - 5 - Question 23

Direction: If a Paper (Transparent Sheet) is folded in a manner and a design or pattern is drawn. When unfolded this paper appears as given below in the answer figure. Choose the correct answer figure given below.

If a paper is folded in a particular manner and punch is made, when, unfolded this paper appears as given below in the question figure. Find out the manner in which the paper is folded and the punch is made from the answer figures given.
Question Figure

Answer figure

Detailed Solution for BEL Trainee Engineer Electronics Mock Test - 5 - Question 23

BEL Trainee Engineer Electronics Mock Test - 5 - Question 24

If a man has to travel to point E from point A (through these points by the shortest distance), which of the following points will he pass through first?

Detailed Solution for BEL Trainee Engineer Electronics Mock Test - 5 - Question 24

According to the information given in the question, we can draw the following diagram.

Thus we can see if a man has to travel to point E from point A  (through these points by the shortest distance), he has to follow a path point A → B → F → E.

Thus travelling from point A, he will pass the first point B.

Hence, the correct answer is "Point B".

BEL Trainee Engineer Electronics Mock Test - 5 - Question 25

Study the given pattern carefully and select the number that can replace the question mark (?) in it.

Detailed Solution for BEL Trainee Engineer Electronics Mock Test - 5 - Question 25

The logic is:

Column 1: 9 × 5 × 3 = 135

Column 2: 5 × 7 × 4 = 140 

Similarly,

Let the missing number in column 3 be 'a'.

So, 5 × a × 5 = 150

⇒ 25 × a = 150

⇒ a = 150 ÷ 25

⇒ a = 6

Hence, ‘6’ is the correct answer.

BEL Trainee Engineer Electronics Mock Test - 5 - Question 26

Directions to Solve

In each of the following questions find out the alternative which will replace the question mark.

Question -

27 : 125 :: 64 : ?

Detailed Solution for BEL Trainee Engineer Electronics Mock Test - 5 - Question 26

27 → 33; 125 → 53; 64 → 43

Therefore ? = 63 = 216.

BEL Trainee Engineer Electronics Mock Test - 5 - Question 27

Direction: If a Paper (Transparent Sheet) is folded in a manner and a design or pattern is drawn. When unfolded this paper appears as given below in the answer figure. Choose the correct answer figure given below.

A piece of paper is folded and punched as shown below in the question figures. From the given answer figures, indicate how it will appear when opened?

Question Figure

Answer figure

Detailed Solution for BEL Trainee Engineer Electronics Mock Test - 5 - Question 27

BEL Trainee Engineer Electronics Mock Test - 5 - Question 28

Direction: Study the following question carefully and choose the right answer.

If REASON is coded as 5 and BELIEVED as 7, then what is the code for GOVERNMENT?

Detailed Solution for BEL Trainee Engineer Electronics Mock Test - 5 - Question 28

Clearly, each word is coded by the numeral which is 1 less than the number of letters in the word.
Since, there are 10 letters in the word GOVERNMENT, so required = 10 – 1 = 9.
Hence, option C is correct.

BEL Trainee Engineer Electronics Mock Test - 5 - Question 29

Kanti is the niece of Suman. Suman’s mother is Prema. Divya is Prema’s mother Divya’s husband is Harish. Karisma is the motherin-law of Harish. How is Kanti related to Harish?

Detailed Solution for BEL Trainee Engineer Electronics Mock Test - 5 - Question 29

Kanti is the niece of Suman.
Suman is the uncle of Kanti.
Prema is Suman’s mother.
Prema is grandmother of Kanti.
Harish is Prema’s father.
So, Kanti is the great-granddaughter of Harish.

BEL Trainee Engineer Electronics Mock Test - 5 - Question 30

Who is second to the right of W?

Detailed Solution for BEL Trainee Engineer Electronics Mock Test - 5 - Question 30

P, Q, R, S, T, V, W, and Z are sitting around a circle facing at the centre not necessarily in this same order.

i) T is second to the right of R who is third to the right of P.

Mistake Points

Who is used for the second person in a connecting statement.

For example: 

T is second to the right of R who is third to the right of P.

Here, who is used for R and not for T.

ii) S is second to the left of P and fourth to the right of Q.

iii) V who is not an immediate neighbour of P. (This means V cannot sit immediate left or right of P).

iv) Z is third to the right of 

Thus we can see R is second to the right of W

Hence, the correct answer is "Option 1".

View more questions
Information about BEL Trainee Engineer Electronics Mock Test - 5 Page
In this test you can find the Exam questions for BEL Trainee Engineer Electronics Mock Test - 5 solved & explained in the simplest way possible. Besides giving Questions and answers for BEL Trainee Engineer Electronics Mock Test - 5, EduRev gives you an ample number of Online tests for practice
Download as PDF