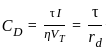
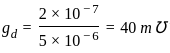
The diffusion capacitance of a p-n junction diode is 2 × 10-7 F and the minority carrier lifetime is 5 μs. Then the dynamic conductance of the diode is equal to
_______ has the maximum fan out capacity
For the given circuit, which output gives logic function A.B.C.D.?

The Leq for the circuit shown in the given figure is:

Which of the following is used as a receiver for fiber optic communication?
Which of the following regarding TCP/IP and ISO-OSI model is/are incorrect?
In graded index multimode optical fiber, the refractive index of the core is
The Off-push button is connected as ___________ of the motor starter that controls the wiring.
What type of operation is generally used in GMAW?
He told us that
P :and enjoyed it immensely
Q :in a prose translation
R :he had read Milton
S :which he had borrowed from his teacher
The Proper sequence should be:
Direction: Choose the option closest in meaning to the OPPOSITE of the word given in capitals.
TENACIOUS
Direction: Read the following passages carefully and answer the question that follows.
Although an Eco-friendly process and one of the important ways to save the environment, recycling is not gaining pace in the industry. The recycling undergoes many process. First is collecting and sorting of garbage. This required a lot of manpower and tools which are expensive. Another disadvantage of recycling which makes it unviable is that for the manufacturers economically, the recycled material is not highly demanded since its quality is not as good as the original material. So, if the marketing of recycled goods is not worthwhile then the whole process of recycling cannot be economically efficient. Recycled products face other disadvantage as well, such life, difficult in de-linking the dyed products and less durability etc.
Q. The authors highlights the problem of?
Direction: Read the following passages carefully and answer the question that follows.
Although an Eco-friendly process and one of the important ways to save the environment, recycling is not gaining pace in the industry. The recycling undergoes many process. First is collecting and sorting of garbage. This required a lot of manpower and tools which are expensive. Another disadvantage of recycling which makes it unviable is that for the manufacturers economically, the recycled material is not highly demanded since its quality is not as good as the original material. So, if the marketing of recycled goods is not worthwhile then the whole process of recycling cannot be economically efficient. Recycled products face other disadvantage as well, such life, difficult in de-linking the dyed products and less durability etc.
Q. What are the basic requirements of recycling?
What is the part of the CPU that performs logical operations called?
Which of the following shortcuts can be used to insert a new line in the same cell?
'Ophthalmia' is related to 'Eye' in the same way as 'Rickets' is related to:
In this questions, a number series is given with one term missing. Choose the correct alternative that will continue the same pattern and fill in the black spaces.
Q. 1, 2, 3, 6, 9, 18, (___), 54
Directions to Solve
In each of the following questions find out the alternative which will replace the question mark.
Question -
Master : OCUVGT :: LABOUR : ?
If a Paper (Transparent Sheet ) is folded in a manner and a design or pattern is drawn. When unfolded this paper appears as given below in the answer figure. Choose the correct answer figure given below.
Find out from the four alternatives as how the pattern would appear when the transparent sheet is folded at the dotted line.
Question Figure

Answer Figure

Directions to Solve
Each of the following questions has a group. Find out which one of the given alternatives will be another member of the group or of that class.
Question -
Root, Stem, Branch