Electronics and Communication Engineering (ECE) Exam  >  Electronics and Communication Engineering (ECE) Tests  >  BEL Trainee Engineer Electronics Mock Test - 9 - Electronics and Communication Engineering (ECE) MCQ

BEL Trainee Engineer Electronics Mock Test - 9 - Electronics and Communication Engineering (ECE) MCQ


Test Description

30 Questions MCQ Test - BEL Trainee Engineer Electronics Mock Test - 9

BEL Trainee Engineer Electronics Mock Test - 9 for Electronics and Communication Engineering (ECE) 2025 is part of Electronics and Communication Engineering (ECE) preparation. The BEL Trainee Engineer Electronics Mock Test - 9 questions and answers have been prepared according to the Electronics and Communication Engineering (ECE) exam syllabus.The BEL Trainee Engineer Electronics Mock Test - 9 MCQs are made for Electronics and Communication Engineering (ECE) 2025 Exam. Find important definitions, questions, notes, meanings, examples, exercises, MCQs and online tests for BEL Trainee Engineer Electronics Mock Test - 9 below.
Solutions of BEL Trainee Engineer Electronics Mock Test - 9 questions in English are available as part of our course for Electronics and Communication Engineering (ECE) & BEL Trainee Engineer Electronics Mock Test - 9 solutions in Hindi for Electronics and Communication Engineering (ECE) course. Download more important topics, notes, lectures and mock test series for Electronics and Communication Engineering (ECE) Exam by signing up for free. Attempt BEL Trainee Engineer Electronics Mock Test - 9 | 100 questions in 120 minutes | Mock test for Electronics and Communication Engineering (ECE) preparation | Free important questions MCQ to study for Electronics and Communication Engineering (ECE) Exam | Download free PDF with solutions
BEL Trainee Engineer Electronics Mock Test - 9 - Question 1

Which is true in a frequency modulated system ?

Detailed Solution for BEL Trainee Engineer Electronics Mock Test - 9 - Question 1

Frequency Modulation:

  • Frequency Modulation is a modulation in which the frequency of the carrier wave is altered according to the instantaneous amplitude of the modulating signal, keeping phase and amplitude constant.
  • So, the variation in carrier amplitude and carrier phase does not affect the signal in the receiving end.
  • Line of sight (LoS) is a type of propagation that can transmit and receive data only where transmit and receive stations are in view of each other without any sort of an obstacle between them. Eg: FM radio, microwave, and satellite transmission.
  • Frequency Modulation works on the Line of sight propagation.

Types of FM detection:

  • Slope detection
  • Phase-locked loop detection
  • Foster Seeley detection
  • Ratio detector
  • Quadrature detectors.
BEL Trainee Engineer Electronics Mock Test - 9 - Question 2

Convert the decimal number 759 into its equivalent octal number.

Detailed Solution for BEL Trainee Engineer Electronics Mock Test - 9 - Question 2

The correct answer is 1367.

  • The equivalent octal number of 759 is 1367.

Key Points

  • To convert decimal number 759 to the octal following are the steps:
    • Divide 759 by 8 keeping note of the quotient and the remainder.
    • Continue dividing the quotient by 8 until you get a quotient of zero.
    • Later, write out the remainders in the reverse order to get the octal equivalent of decimal number 759.
  • 759 / 8 = 94 with remainder 7
  • 94 / 8 = 11 with remainder 6
  • 11 / 8 = 1 with remainder 3
  • 1 / 8 = 0 with remainder 1
  • Hence, the number is 1367.
BEL Trainee Engineer Electronics Mock Test - 9 - Question 3

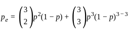
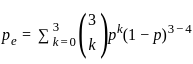
In order to increase the reliability of binary communication channel, the transmitted digits are 000 for 0 and 111 for 1. At receiving end, the decision is made by majority rule, that is, if at least two of three digits are 0, decision is taken in favour of 0 and so on. If p is error probability of one digit and pe is probability of making wrong decision in this scheme, then pe is:

Detailed Solution for BEL Trainee Engineer Electronics Mock Test - 9 - Question 3

Given: The transmitted digits are 000 for 0 and 111 for 1. At receiving end, the decision is made by majority rule, that is, if at least two of three digits are 0, decision is taken in favour of 0.

Bit error probability in the repetition of bits in BSC is given by:

= 3p2 (1 - p) + p3 ≅ 3p2 ; p ≪ 1 and term containing p3 may be ignored

Hence, the correct option (C).

BEL Trainee Engineer Electronics Mock Test - 9 - Question 4

A galvanometer has an internal resistance of 100 ohm and a shunt resistance of 20 ohm. Find the multiplying factor.

Detailed Solution for BEL Trainee Engineer Electronics Mock Test - 9 - Question 4

The correct answer is option 2): 6

Concept:

The range of the Galvanometer is extended by keeping a shunt resistance.

Here

Rm = internal resistance of the coil

Rsh = Shunt resistance

Rm and Rsh are in parallel, the voltage drop across the resistance is equal.

m is the multiplying factor

Calculation:

Given

Rm =  100 Ω 

Rsh = 20 Ω 

20 = 

m - 1 = 5

m = 6 

BEL Trainee Engineer Electronics Mock Test - 9 - Question 5
When port 1 of two-port circuit is short-circuited, I1 = 4I2 & V2 = 0.25 I2. Which of the following is true?
Detailed Solution for BEL Trainee Engineer Electronics Mock Test - 9 - Question 5

Concept:

The Y parameter equations are as follows:

I1 = Y11V1 + Y12V2

I2 = Y21V1 + Y22V2

Calculation:

Given, I1 = 4I2  & V2 = 0.25 I2

When port 1 of two-port circuit is short-circuited, then V1 = 0 V

I1 = Y12V2

Y12 = 16

I2 = Y22V2

Y22 = 4

BEL Trainee Engineer Electronics Mock Test - 9 - Question 6

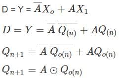
For the logic circuit shown in the following figure, representation of the state diagram is:

Detailed Solution for BEL Trainee Engineer Electronics Mock Test - 9 - Question 6

Concept:

For D flip-flop, the next state output (Qn+1) from the present state input (Qn) is given by:

Qn+1 = D

Explanation:

BEL Trainee Engineer Electronics Mock Test - 9 - Question 7

Match the following:

Detailed Solution for BEL Trainee Engineer Electronics Mock Test - 9 - Question 7

The correct option is (3)

1 → IV, 2 → II, 3 → I, 4 → V, 5 → III

Key Points

  • Bus topology → Each communicating device connects to a transmission medium.
  • Ring topology → Each node is connected to two other devices, one each on either side.
  • Mesh topology → Each communicating device is connected with every other device.
  • Star topology → Each communicating device is connected to a central node.
  • Hybrid topology → Each branch can have one or more basic topologies.​

Additional Information 

  • BUS topology:- In a bus topology, each communicating device connects to a transmission medium, known as a bus. Data sent from a node are passed on to the bus and hence are transmitted to the length of the bus in both directions. 
  • Ring topology:- In a ring topology, each node is connected to two other devices, one each on either side. The nodes connected with each other thus form a ring. 
  • Mesh topology:- In this topology, each communicating device is connected with every other device in the network. Such a network can handle large amounts of traffic since multiple nodes can transmit data simultaneously. 
  • Star topology:- In star topology, each communicating device is connected to a central node, which is a networking device like a hub or switch.
  •  Hybrid topology:- It is a hierarchical topology, in which there are multiple branches and each branch can have one or more basic topologies like a star, ring, and bus. 
BEL Trainee Engineer Electronics Mock Test - 9 - Question 8
Which of the following modulations has higher bandwidth among the others?
Detailed Solution for BEL Trainee Engineer Electronics Mock Test - 9 - Question 8

In the digital modulation techniques, pulse code modulation (PCM) has higher bandwidth compare to DPCM, DM, and ADM.

Comparison between the PCM, DPCM, DM, and ADM is as shown:

BEL Trainee Engineer Electronics Mock Test - 9 - Question 9

The unit step response of a closed loop control system is given by c (t) = te-t. The transfer function of the system is

Detailed Solution for BEL Trainee Engineer Electronics Mock Test - 9 - Question 9

Concept:

A transfer function is defined as the ratio of Laplace transform of the output to the Laplace transform of the input by assuming initial conditions are zero.

TF = L[output]/L[input]

For unit impulse input i.e. r(t) = δ(t)

⇒ R(s) = δ(s) = 1

Now transfer function = C(s)

Therefore, transfer function is also known as impulse response of the system.

Transfer function = L[IR]

IR = L-1 [TF]

Calculation:

Given that r(t) = u(t), c(t) = t e-t

Transfer function,

BEL Trainee Engineer Electronics Mock Test - 9 - Question 10

Following constellation diagram represents:

Detailed Solution for BEL Trainee Engineer Electronics Mock Test - 9 - Question 10

Explanation:

  • PSK: It stands for phase shift keying.
  • In PSK, binary 1 is represented with the actual carrier, and 0 is represented with the 180o phase shift of carrier.
  • 1 is represented as  s(t) = Accos(2πfct)
  • 0 is represented as  s(t) = - Accos(2πfct)
  • As in PSK, one bit is transmitted in a specific time constant.
  • Similarly, in 16 PSK, log2(16) = 4 bits are transmitted in a specific time constant which is known as 16-ary PSK.

B.W. of PSK = 2Rb

Whereas for M-ary PSK,

Hence M-ary is preferred due to less bandwidth.

  • In 16 APSK, Amplitude and Phase both vary in a pattern as shown in the figure.
  • 16 QAM is a signal in which two carriers shifted in phase by 90 degrees are modulated and combined. As a result of their 90° phase difference, they are in quadrature.
  • Often one signal is called the In-phase or “I” signal, and the other is the quadrature or “Q” signal.

Hence the given figure is 16 QAM.

So the solution is option (2).

BEL Trainee Engineer Electronics Mock Test - 9 - Question 11

Which are the three basic types of motion control systems in numerical control?

Detailed Solution for BEL Trainee Engineer Electronics Mock Test - 9 - Question 11
  • The three basic types of the motion control systems in numerical control are:

​1. Point to Point (PTP) Control System

2. Straight-line Control System

3. Contour Control System

Point to Point (PTP) Control System:

  • When only the endpoint movement of a tool is important whereas the path followed by the tool in between endpoint movement is not important is called point to point control system.

  • In the PTP control system, only one axis movement of a tool is sufficient.

          For Ex. Drilling, Reaming, Tapping, Boring Spot welding, punching, blanking, etc.

Straight-line Control System:

  • In addition to the endpoint movement of a tool in the path followed by the tool is also important and if it is a straight-line path it is called a straight line Control system.
  • Here 2- axes simultaneously movement is required.

  • Ex. Straight turning, taper turning, shaping, planning, creating a straight Milling slot, etc.

​Contour Control System:

  • In addition to the endpoint movement of the tool if a path followed by the tool is also important and if it is a contour path, it is called a contour control system.

          Here, 3 – axes simultaneous movement of the tool is required.

        

  • But it is highly impossible to manufacture a perfect contour in the reality, whereas a contour is constructed by much linear distance travel of a tool between two consecutive points i.e. by Interpolation.
BEL Trainee Engineer Electronics Mock Test - 9 - Question 12

Which bus is used to specify memory locations for the data being transferred

Detailed Solution for BEL Trainee Engineer Electronics Mock Test - 9 - Question 12

Concept:

The following figure shows the connection of buses between the microprocessor and memory

From the figure:

Address Bus:

An address bus is a bus that is used to specify a physical address. When a processor or DMA-enabled device needs to read or write to a memory location, it specifies that memory location on the address bus (the value to be read or written is sent on the data bus)

Data Bus:

It is a bi-directional bus.

Data and Instructions pass through this bus to reach the microprocessor.

This is responsible for the exchange of information between the main memory and microprocessor.

Control Bus:

This is a unidirectional bus.

This tells whether read or write, which operation should be performed that is in which direction the data should flow.

BEL Trainee Engineer Electronics Mock Test - 9 - Question 13
For open loop transfer function of a unit feedback is G(s) = , having peak overshoot 10%. Find damping ratio.
Detailed Solution for BEL Trainee Engineer Electronics Mock Test - 9 - Question 13

Solution

Concept

For a 2nd order underdamped system, the maximum  percentage overshoot is given by

Mp%=  × 100 %

here ζ is the damping ratio

Calculation 

Given, Mp% =10%

 =  

0.1=

ln(0.1)= 

-2.302= 

0.733=

Squaring and cross multipicating we get

1=2.8596 ζ2

ζ =0.59 ≈0.60

Hence the damping ratio is 0.6

Therefore the correct option is 2

BEL Trainee Engineer Electronics Mock Test - 9 - Question 14

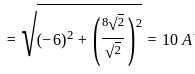
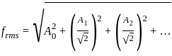
A current of i = -6 + 8 √2 sin (ωt + 30) is passed through a centre zero PMMC meter and a moving iron meter. The two meters will read:

Detailed Solution for BEL Trainee Engineer Electronics Mock Test - 9 - Question 14

Concept:

1). Moving coil instruments are used to measure the DC quantities only. So, a moving coil ammeter is used to measure DC current.

2). The moving iron instrument can be used to measure both AC and DC quantities.

3). Moving coil instrument measures, the average value of quantity and the scale is linear and uniform as the deflection is directly proportional to the current.

4) . Moving iron instrument measures, the RMS value of quantity and the scale is non-uniform as the deflection is directly proportional to the square of the current.

Calculation:

i(t) = - 6 + 8√2 sin (ωt + 30°) A

Reading of PMMC instrument = Average value of i(t) = - 6 A

Reading of moving iron meter = RMS value of i(t)

Important Points

The rms value of a sinusoidal equation of the form

f(t) = A0 + A1 sin (ω1t + ϕ1) + A2 sin (ω2t + ϕ­2) + … is given by

The average value = A0

BEL Trainee Engineer Electronics Mock Test - 9 - Question 15
Which of the following is not a type of bus in computer organization?
Detailed Solution for BEL Trainee Engineer Electronics Mock Test - 9 - Question 15

The correct answer is Memory bus.

Key Points

  • Computer organization is concerned with the structure and behaviour of digital computers.
  • The main objective of this subject is to understand the overall basic computer hardware structure, including the peripheral devices.
  • Data is transmitted from one part of a computer to another, connecting all major internal components to the CPU and memory through Buses.
  • A bus is a link between components or devices connected to a computer. For example, a bus carries data between a CPU and the system memory via the motherboard.
    • There are three types of buses: Address bus, Data bus and Control bus.
    • The memory bus is not a type of bus. Hence option 4 is correct. 

Additional Information

  • The data bus carries data among the memory unit, the I/O devices, and the processor and it is bi-directional.
  • It includes the related hardware components such as wires and optical fibre. 
    • The data bus consists of 8, 32,64, etc. separate lines which refer to the width of the data bus and determines the data transferring rate.
  • Address Bus carries the address of data between memory and processor and helps identify the particular location in the memory.
    • It also carries memory addresses from the processor to other components such as primary storage and input/output devices. The address bus is unidirectional.
  • Control Bus carries control commands from the CPU (and status signals from other devices) in order to control and coordinate all the activities within the computer.
    • It also carries the clock's pulses and is uni-directional.
BEL Trainee Engineer Electronics Mock Test - 9 - Question 16

Directions: A sentence is given here with a blank and you need to fill the blank choosing the word/words given below. If all the words given can fill the blank appropriately, choose ‘All are correct’ as your answer.

They're carefully _______________, many in beautiful copper-plate handwriting, detailing exactly where and when they were found.

I. Tag

II. Labelled

III. Design

Detailed Solution for BEL Trainee Engineer Electronics Mock Test - 9 - Question 16

Let us first learn the meanings of the given words:

Tag (verb): give a specified name or description to.

Label (verb): assign to a category, especially inaccurately or restrictively.

As the sentence is in passive voice, only a verb in third form will fit the blank. Thus, ‘labelled’ is an apt fit while ‘tag’ and ‘design’ are incorrect.

Hence, the correct answer is option B.

BEL Trainee Engineer Electronics Mock Test - 9 - Question 17

Directions: In each of the following questions, a sentence has been given in Active (or Passive) Voice. Out of the four alternatives suggested, select the one that best expresses the same sentence in Passive/ Active Voice.

I expect you to complete this work before sunset.

Detailed Solution for BEL Trainee Engineer Electronics Mock Test - 9 - Question 17

The given sentence is in the active voice: "I expect you to complete this work before sunset."

The correct transformation of this sentence into the passive voice is: "You are expected to complete this work before sunset."

Therefore, the correct answer is option B: "You are expected to complete this work before sunset."

BEL Trainee Engineer Electronics Mock Test - 9 - Question 18

Directions: In each of the following questions, a sentence has been given in Active (or Passive) Voice. Out of the four alternatives suggested, select the one that best expresses the same sentence in Passive/ Active Voice.

All the examinees have answered one particular question in the long answer writing section.

Detailed Solution for BEL Trainee Engineer Electronics Mock Test - 9 - Question 18

The given sentence is of present perfect tense and it is in active form.

The structures for active/passive voices are:

Active: Subject + has/have + verb (IIIrd form) + object...

Passive: Object + has/have + been + verb (IIIrd form) + by + subject...

The active voice statement is in present perfect tense, thus the passive voice statement has to be in present perfect tense itself.

Out of the available options, only option (d) satisfies this criterion and thus, is the correct response.

BEL Trainee Engineer Electronics Mock Test - 9 - Question 19

Directions: Select the most appropriate idiom (in the context) to fill in the sentence.

We have been using our credit cards so much we are now _________________ in debt.

Detailed Solution for BEL Trainee Engineer Electronics Mock Test - 9 - Question 19

Up to one’s eyes/eyeballs (Idiom): to have a very large amount of something to do or be very busy with something; to emphasize the extreme degree of some undesirable or unwanted thing.
Tune up (Idiom): to prepare for something.
Dig in (Idiom): to start eating, esp. eagerly.
Crunch up (Idiom): to break someone or something up into piece.
It is obvious that ‘up to our eyes’ makes perfect sense in the given blank.
Hence, the correct answer is option D. 

BEL Trainee Engineer Electronics Mock Test - 9 - Question 20

Direction: Read the following passages carefully and answer the question that follows.
For fourteen and a half months I lived in my little cell or room in the Dehradun jail, and I began to feel as if I was almost a part of it. I was familiar with every bit of it, I knew every mark and dent on the whitewashed walls and on the uneven floor and the ceiling with its moth-eaten rafters. In the little yards outside I greeted little tufts of grass and odd bits of stone as old friends. I was not alone in my cell, for several colonies of wasp and hornets lived there, and many lizards founds a home behind the rafters, emerging in the evening in search of prey.

Q. The passage attempts to describe ?

Detailed Solution for BEL Trainee Engineer Electronics Mock Test - 9 - Question 20

Options (a) and (b) are too general. Option (d) is not correct. Passage indicates that prisoner made a conscious effort to not only notice thing around him but to use his time constructively, So, option (c) is correct.

BEL Trainee Engineer Electronics Mock Test - 9 - Question 21

Which of the following fields CANNOT be left blank while sending an email?

Detailed Solution for BEL Trainee Engineer Electronics Mock Test - 9 - Question 21

Key Points
The To field is, according to the rules of email etiquette, meant for the main recipient(s) of your email. To be more precise, this field should be used to include the recipients who are required to take action in response to the email.

Hence the correct answer is To.

Additional Information
Cc stands for carbon copy which means that whose address appears after the Cc: header would receive a copy of the message.

  • Bcc stands for blind carbon copy which is similar to that of Cc except that the Email address of the recipients specified in this field does not appear in the received message header and the recipients in the To or Cc fields will not know that a copy sent to these address.
  • The subject line of an email is the single line of text people see when they receive your email. This one line of text can often determine whether an email is opened or sent straight to trash, so make sure it's optimized toward your audience.
BEL Trainee Engineer Electronics Mock Test - 9 - Question 22

127.0.0.1 is a

Detailed Solution for BEL Trainee Engineer Electronics Mock Test - 9 - Question 22
Explanation:

127.0.0.1 is a loop-back address.


Here is a breakdown of the different types of IP addresses:



  • Limited broadcast address: This is an address used to send a message to all devices on the local network. It is represented by the IP address 255.255.255.255.

  • Direct broadcast address: This is an address used to send a message to all devices on a specific network. It is represented by the IP address with all host bits set to 1.

  • Multicast address: This is an address used to send a message to a specific group of devices on a network. It is represented by a range of IP addresses.

  • Loop-back address: This is a special address used to test network connectivity on a local device. It is represented by the IP address 127.0.0.1.


Therefore, the correct answer is D: Loop-back address.

BEL Trainee Engineer Electronics Mock Test - 9 - Question 23

Identify the volatile memories from the following list.

Cache, SRAM, DRAM, Hard Disk, CD, DVD 

Detailed Solution for BEL Trainee Engineer Electronics Mock Test - 9 - Question 23

The correct answer is Cache, SRAM, and DRAM.

Key Points

  • Volatile memory is computer memory that loses its data when the computer is turned off.
  • Cache
    • It is a volatile memory.
    • The memory buffer used to accommodate a speed differential is called cache.
    • It is used by the central processing unit of a computer to reduce the average cost of time or energy to access data from the main memory.
    • Generally, Cache memory is logically positioned between the CPU and main memory.
  • SRAM
    • ​It is static random access memory.
    • It is a volatile memory.
    • It consists of circuits capable of retaining the stored information as long as the power is applied that it requires constant power.
    • SRAM memories are used to build cache memory.
    • It has low storage density.
  • DRAM
    • It is dynamic random access memory.
    • It is a volatile memory.
    • It is widely used as a computer's main memory.
    • Each DRAM memory cell is made up of a transistor and a capacitor within an integrated circuit, and a data bit is stored in the capacitor.
  • Nonvolatile storage is physical media that retains data without electrical power.
    • Hard Disk, CD, and DVD are non-volatile storage that does not lose data/information when power is off.
BEL Trainee Engineer Electronics Mock Test - 9 - Question 24

When the formula bar is activated, you can see

Detailed Solution for BEL Trainee Engineer Electronics Mock Test - 9 - Question 24
Explanation:
When the formula bar is activated in a spreadsheet program such as Microsoft Excel, you can see several buttons and options that help you edit and manage formulas. The formula bar is the area at the top of the spreadsheet where you can view and edit the contents of a cell.
The correct answer is option D: All of these. When the formula bar is activated, you can see the following:
The Edit Formula button:
- This button allows you to edit the formula in the selected cell. By clicking on this button, you can make changes to the formula and update the cell's calculation.
The Cancel button:
- This button is used to cancel any changes made to the formula in the selected cell. If you have made any modifications but decide not to apply them, you can click on the Cancel button to revert back to the original formula.
The Enter button:
- This button is used to confirm and apply any changes made to the formula in the selected cell. After editing the formula, you can click on the Enter button to save the changes and recalculate the cell's value.
Therefore, when the formula bar is activated, you can see all of these buttons and options, which allow you to edit, cancel, and apply changes to the formulas in your spreadsheet.
BEL Trainee Engineer Electronics Mock Test - 9 - Question 25

In the process scheduling, ______ determines when new processes are admitted to the system.

Detailed Solution for BEL Trainee Engineer Electronics Mock Test - 9 - Question 25
Long term scheduling
- Determines when new processes are admitted to the system
- Also known as admission scheduling or job scheduling
- Determines which processes should be brought into the system from the job pool or job queue
- Decides when a new process can be created and executed in the system
- Mainly focuses on managing the resources required by the processes and ensuring that the system does not become overloaded
Medium term scheduling
- Involves swapping processes between main memory and secondary memory (e.g., hard disk)
- Decides which processes should be swapped out of main memory and which should be brought back in
- It is responsible for managing the degree of multiprogramming or the number of processes in the ready state that are kept in main memory
Short term scheduling
- Also known as CPU scheduling
- Determines which process should be executed next by the CPU
- Determines the order in which ready processes are allocated the CPU for execution
- Focuses on improving the performance of the system by minimizing the waiting time and maximizing the CPU utilization
- Examples of short-term scheduling algorithms include First-Come, First-Served (FCFS), Round Robin, and Shortest Job Next (SJN)
None of these
- This option is incorrect as one of the above options is the correct answer
BEL Trainee Engineer Electronics Mock Test - 9 - Question 26

Who amongst the following friends is not good in Mathematics but good in Hindi?

Detailed Solution for BEL Trainee Engineer Electronics Mock Test - 9 - Question 26

Four friends W, X, Y and Z are students of Class 10th.

i) W and X are good in Hindi but poor in English.

ii) W and Y are good in Science but poor in Mathematics.

iii) Y and Z are good in English but poor in Social Studies.

iv) Z and X are good in Mathematics as well as in Science.

Thus we can see W is not good in Mathematics but good in Hindi.

Hence, the correct answer is "W".

BEL Trainee Engineer Electronics Mock Test - 9 - Question 27

Which answer figure will complete the pattern in the question figure?

Detailed Solution for BEL Trainee Engineer Electronics Mock Test - 9 - Question 27

BEL Trainee Engineer Electronics Mock Test - 9 - Question 28

How many triangle is in the given figure?

Detailed Solution for BEL Trainee Engineer Electronics Mock Test - 9 - Question 28

BEL Trainee Engineer Electronics Mock Test - 9 - Question 29

Two dice are thrown simultaneously and the sum of the numbers appearing on them is noted. What is the probability that the sum is 12?

Detailed Solution for BEL Trainee Engineer Electronics Mock Test - 9 - Question 29

Given:

No of possible outcomes when two dice are thrown simultaneously: 6 × 6 = 36 

(1,1), (1, 2), (1, 3),  (1, 4), (1, 5), (1, 6) 

(2, 1), (2, 2), (2, 3), (2, 4), (2, 5), (2, 6) 

(3, 1), (3, 2), (3, 3), (3, 4), (3, 5), (3, 6) 

(4, 1), (4, 2), (4, 3), (4, 4), (4, 5), (4, 6)

(5, 1), (5, 2), (5, 3), (5, 4), (5, 5), (5, 6)

(6, 1), (6, 2), (6, 3), (6, 4), (6, 5), (6, 6)

Formula used:

Probability = No of favorable outcome ÷ No of total outcomes 

Calculation:

No of outcome with sum 12 (6, 6) = 1

∴ Required probability = 1/36 

BEL Trainee Engineer Electronics Mock Test - 9 - Question 30

Directions: Each of the following consists of a question and two statements numbered I and II given below it. You have to decide whether the data provided in the statements are sufficient to answer the question:

Eight people E, F, G, H, I, J, K and L were born on different dates 16th and 27th of different months i.e. January, April, May, and September of the same year. J is the second oldest among all. K was born in May. How many people were born between L and G?
Statement I:
Only 3 persons were born between I and H such that both of them were born in a month having even number of days. L was born just after F, who was born on an odd date in May. Only 2 persons were born between I and E.
Statement II: Only 2 persons were born between K and H. E is elder than L, who is younger than I. As many persons were born before G is same as after F, who is not born in April nor born on even date.

Detailed Solution for BEL Trainee Engineer Electronics Mock Test - 9 - Question 30

From Statement I: From this statement, we get the following table,


So, we get that 3 persons are born between L and G.

Clearly, data in statement I alone is sufficient to answer the question.

From Statement I: From this statement, we get the following table,


Clearly, data in statement II alone is not sufficient to answer the question as in both cases, two different answers are there. So we can't exactly say which case is correct as per statement II.

Hence, option A is the correct answer.

View more questions
Information about BEL Trainee Engineer Electronics Mock Test - 9 Page
In this test you can find the Exam questions for BEL Trainee Engineer Electronics Mock Test - 9 solved & explained in the simplest way possible. Besides giving Questions and answers for BEL Trainee Engineer Electronics Mock Test - 9, EduRev gives you an ample number of Online tests for practice
Download as PDF