Insurance Exams Exam  >  Insurance Exams Tests  >  ESIC SSO Prelims Mock Test - 4 - Insurance Exams MCQ

ESIC SSO Prelims Mock Test - 4 - Insurance Exams MCQ


Test Description

30 Questions MCQ Test - ESIC SSO Prelims Mock Test - 4

ESIC SSO Prelims Mock Test - 4 for Insurance Exams 2025 is part of Insurance Exams preparation. The ESIC SSO Prelims Mock Test - 4 questions and answers have been prepared according to the Insurance Exams exam syllabus.The ESIC SSO Prelims Mock Test - 4 MCQs are made for Insurance Exams 2025 Exam. Find important definitions, questions, notes, meanings, examples, exercises, MCQs and online tests for ESIC SSO Prelims Mock Test - 4 below.
Solutions of ESIC SSO Prelims Mock Test - 4 questions in English are available as part of our course for Insurance Exams & ESIC SSO Prelims Mock Test - 4 solutions in Hindi for Insurance Exams course. Download more important topics, notes, lectures and mock test series for Insurance Exams Exam by signing up for free. Attempt ESIC SSO Prelims Mock Test - 4 | 100 questions in 60 minutes | Mock test for Insurance Exams preparation | Free important questions MCQ to study for Insurance Exams Exam | Download free PDF with solutions
ESIC SSO Prelims Mock Test - 4 - Question 1

In the given question, a sentence has been divided into five parts. The question is followed by five options which give possible sequences of the rearranged parts. You must choose the option that gives the correct sequence. If the sentence is already arranged correctly or if none of the options form the correct sequence, then choose option 5, i.e. ‘None of the above’.
A. contrast to the films of
B. for huge aerial shots of
C. Busby Berkeley, known
D. his style was in sharp
E. hundreds of dancers at a time

Detailed Solution for ESIC SSO Prelims Mock Test - 4 - Question 1

The correct answer is DACBE.

Key Points

  • Instead of trying to find the beginning or end, which may be time-consuming, it is easier to find connections within parts and then eliminate the options.
  • Part C ends with the verb 'known', which must be logically followed by a preposition like 'for, 'as', 'by' etc'.
  • This is given by B, which begins with 'for'.
  • So, CB is the correct order.
  • This order is only reflected in option 3.
    • The correct sequence is: DACBE

Therefore, the correct answer is option 3.

ESIC SSO Prelims Mock Test - 4 - Question 2

What is the main purpose of the Digital India Act 2023 (DIA) as mentioned in paragraph - 1?

Detailed Solution for ESIC SSO Prelims Mock Test - 4 - Question 2

The correct answer is option 2.

Key Points

  • To answer this question, refer to the following lines from the passage in paragraph - 1:
  • "The recent announcement of the Digital India Act 2023 (DIA) represents a significant step towards establishing a future-ready legal framework for the country’s burgeoning digital ecosystem."
  • This line indicates that the main purpose of the Digital India Act 2023 (DIA) is to establish a future-ready legal framework for India's digital ecosystem.
  • Therefore, the correct answer is option 2, "Develop and implement a forward-looking, adaptable legal framework that anticipates digital advancements."
ESIC SSO Prelims Mock Test - 4 - Question 3

According to paragraph - 3 of the given passage, what does the DIA mandate regarding Know Your Customer (KYC) requirements for wearable devices?

Detailed Solution for ESIC SSO Prelims Mock Test - 4 - Question 3

The correct answer is option 4.

Key Points

  • To answer this question, refer to the following lines from paragraph - 3 of the passage:
  • "Additionally, the DIA mandates stringent Know Your Customer (KYC) requirements for wearable devices, accompanied by criminal law sanctions."
  • From this information, we can conclude that the DIA mandates KYC for wearable devices with criminal law sanctions.
  • Therefore, the correct answer is option 4 i.e. "It mandates KYC for wearable devices with criminal law sanctions."
ESIC SSO Prelims Mock Test - 4 - Question 4

Which of the following sentence uses the word given in bold correctly?

Detailed Solution for ESIC SSO Prelims Mock Test - 4 - Question 4

The correct answer is option 3.

Key Points

  • To answer this question, let's first understand the meanings of the words given in bold:
  • Grappling - struggling or dealing with something, often in a challenging way (जूझना)
    • For Example:
    • She was grappling with a difficult decision about her career.
  • Provisions - supplies or arrangements made for a specific purpose (प्रावधान)
    • For Example:
    • The camping trip was well-planned with all the necessary provisions.
  • Accountability - the state of being responsible for one's actions and decisions (जवाबदेही)
    • For Example:
    • In the corporate world, accountability for financial decisions is paramount.
  • Liability - the state of being legally responsible for something, often a debt or obligation (उत्तरदायिता)
    • For Example:
    • The company's liability for the accident was significant.
  • Now, let's analyze each of the sentences:
  • Option 1 - Grappling with a delicious meal, she couldn't resist the temptation to take another bite.
    • The word "grappling" is not used correctly in this sentence. "Grappling" refers to struggling with something, and it doesn't fit the context of enjoying a delicious meal. To make it correct, you can replace "grappling" with "savouring" or "indulging" to convey the idea of enjoying the meal.
  • Option 2 - I visited the park provisions yesterday to enjoy the beautiful weather.
    • The word "provisions" is not used correctly in this sentence. "Provisions" refers to supplies or arrangements, and it doesn't fit the context of visiting a park. To make it correct, you can replace "provisions" with "area" or "location" to describe where you visited.
  • Option 3 - In the corporate world, accountability for financial decisions is paramount.
    • This sentence correctly uses the word "accountability" to describe the responsibility for financial decisions in the corporate world.
  • Option 4 - Medical advancements have significantly improved our liability to treat various diseases.
    • The word "liability" is not used correctly in this sentence. "Liability" typically refers to legal responsibility, not the ability to treat diseases. To make it correct, you can replace "liability" with "ability" to convey the idea that medical advancements have improved our ability to treat diseases.
  • Therefore, the correct answer is option 3, "In the corporate world, accountability for financial decisions is paramount."
ESIC SSO Prelims Mock Test - 4 - Question 5

Which of the following should be the fourth sentence after rearrangement?

Detailed Solution for ESIC SSO Prelims Mock Test - 4 - Question 5

The correct answer is 3.

Key Points

  • Since the second sentence is fixed therefore in order to derive the fourth sentence of the correct arrangement, it is imperative to know the subject dealt in the first three sentences. The second sentence talks about how education is essential in our lives. From this, we get to know that the passage is about the importance of education. So the first sentence must talk about the importance of education.
  • This part of the passage is provided by the sentence F which therefore forms the first sentence after rearrangement of the sentences.
  • The passage now talks about what are the different purposes of education and education enhances our lives. This part of the passage is provided by the sentence A which therefore forms the third sentence after rearrangement of the sentences.
  • Now the passage gives further details by saying that how easy it is now to get education. This part of the passage is provided by the sentence E which therefore forms the fourth sentence after rearrangement of the sentences.
ESIC SSO Prelims Mock Test - 4 - Question 6

Spot the error in the given sentence. If there is no error mark 'None of the above.'
Surfing this weekend, a tiger shark ate my sister nearly. (A) The event had been widely reported (B) by the local media and (C) this resulted in the closure of the beach. (D)

Detailed Solution for ESIC SSO Prelims Mock Test - 4 - Question 6

The correct answer is Option 1) i.e. A.
Key Points

  • A modifier is a word, phrase, or clause that describes something or makes its meaning more specific. Modifiers function as adjectives or adverbs.
  • In part A, The modifier used in the sentence is 'nearly'
    • The modifier 'nearly' modifies the verb 'ate' and not the noun 'Sister '. It should be placed near to the verb. We need to rearrange the sentence.
  • So in part A, the sentence should be: Surfing this weekend, my sister was nearly eaten by a tiger shark.

Correct sentence: Surfing this weekend, my sister was nearly eaten by a tigershark. The event had been widely reported by the local media and this resulted in the closure of the beach.✔️
Additional Information

  • Misplaced Modifiers
  • Definition: A modifier that seems to modify the wrong word is a misplaced modifier.
  • The most often misused adverbs are only and just. Others often misused include 'almost, even, hardly, merely, and nearly'. The adverb should go in front of the word it modifies.
    • Example: I only want a new laptop for my birthday.
    • Meaning: The only thing I want in the world is a laptop for my birthday. I don't want anything else for any other reason.
    • Example: I want only a new laptop for my birthday.
    • Meaning: The only thing I want for my birthday is a new laptop. I do want other things, but not for my birthday.
ESIC SSO Prelims Mock Test - 4 - Question 7

Find the error in the given sentence. If there is no error mark 'None of the above.'
James bought a spotted horse for his sister named Fairy tales. (A) The horse could run for miles without being exhausted. (B) Fairy tales only ate nuts and dry (C) fruits the whole day. (D)

Detailed Solution for ESIC SSO Prelims Mock Test - 4 - Question 7

The correct answer is Option 1) i.e. A.

Key Points

  • A modifier is a word, phrase, or clause that describes something or makes its meaning more specific. Modifiers function as adjectives or adverbs.
  • In part A, The modifier used in the sentence is 'named'
    • The modifier 'named' cannot possibly modify the object 'Sister'.
    • It is the name of the horse, not the sister. So we need to rearrange the sentence.
  • So in part A, the sentence should be: Jack bought a spotted horse named Fairy tales for his sister.

Correct sentence: James bought a spotted horse named Fairy tales for his sister. The horse could run for miles without being exhausted. Fairy tales only ate nuts and dry fruits the whole day.✔️
Additional Information

  • A dangling modifier is a modifier that does not relate sensibly to any word in the sentence. A modifier or a modifying phrase that begins a sentence must be followed closely by the word it is meant to describe.
    • Example: While driving to the farm, my cat jumped out of the car.
    • Example: While I was driving to the farm, I saw my cat jump out of the car.✔️
    • In the first example, here, we cannot understand who was driving the car. The purpose of the modifier 'while' is unclear. In the second example, now we can see that ' while ' is used for 'I was '.
ESIC SSO Prelims Mock Test - 4 - Question 8

Direction: Select the most appropriate word to fill in the blank.
It laid the _______ of the relationship for two decades.

Detailed Solution for ESIC SSO Prelims Mock Test - 4 - Question 8

The correct answer is 'Foundation.'

Key Points

  • The given sentence is talking about something that is the reason behind the two-decade-long relationship.
  • Therefore, the most appropriate word to be filled in the blank is 'Foundation'.
  • Also, the use of the word ''laid'' in the sentence indicates the use of the word 'foundation' in the blank.
  • The word 'Foundation' means The idea, principle, or fact on which something is based.
    • Example: The foundation of true joy is in the conscience.

Hence, the correct answer is option 4.

Complete Sentence: It laid the foundation of the relationship for two decades.

Additional Information

  • Let us explore the other options:
    • Intention means A plan or purpose.
    • Diversion means The act of changing the direction or purpose of something.
    • Absorption means The state of being engrossed in something.
ESIC SSO Prelims Mock Test - 4 - Question 9

In each of the following number series, the wrong number is given, find out that number.
243, 512, 729, 1000, 1331, 1728

Detailed Solution for ESIC SSO Prelims Mock Test - 4 - Question 9

Considering the given series,
243, 512, 729, 1000, 1331, 1728
The logic of above series can be explained as,
243 ≠ 73
512 = 83
729 = 93
1000 = 103
1331 = 113
1728 = 123
∴ Wrong Number is 243.

ESIC SSO Prelims Mock Test - 4 - Question 10

In the following number series, only one number is wrong. Find out the wrong number.
37, 40, 52, 63, 87, 122

Detailed Solution for ESIC SSO Prelims Mock Test - 4 - Question 10

The pattern of given series is:
⇒ 37
⇒ 37 + (22 – 1) = 40
⇒ 40 + (32 – 1) = 48
⇒ 48 + (42 – 1) = 63
⇒ 63 + (52 – 1) = 87
⇒ 87 + (62 – 1) = 122
∴ The wrong term is 52.

ESIC SSO Prelims Mock Test - 4 - Question 11

Pipe A, B, and C together can fill the tank in 30 hours where pipe C can empty the tank in 90 hours then find in how many hours tank will be filled when A and B work together and A, B and C work together alternatively. Starting from when A and B together fills the tank.

Detailed Solution for ESIC SSO Prelims Mock Test - 4 - Question 11

Given:
A, B, and C can fill the tank in = 30 hours
C can empty the tank in = 90 hours

Calculation:
Total work = 90 unit work

7 unit workBy pipes (A+B) on 1st hour and (A+B+C) on the 2nd hour2 hrs

ESIC SSO Prelims Mock Test - 4 - Question 12

Bhaumik, mahima and kandarp invested total of Rs. 150,000 in a salon. Mahima invested 20% more than bhaumik and kandarp invested 10% less than mahima. Find the total profit earned by mahima and kandarp if profit gain % is 16.4%.

Detailed Solution for ESIC SSO Prelims Mock Test - 4 - Question 12

Given:
Bhaumik + Mahima + Kandarp = Rs. 150,000
Mahima’s investment = 1.2 × bhaumik’s investment
Kandarp’ investment = 0.9 × 1.2 × bhaumik’s investment
Profit earned = 16.4%

Formula used:
Profit earned in Rs = Profit earned in % × investment

Calculation:
Let, investment by bhaumik be X
⇒ Mahima’s investment = 1.2X
⇒ Kandarp’s investment = 1.08X
⇒ Ratio of profit share = X : 1.2X : 1.08X
⇒ Bhaumik : Mahima : Kandarp = 1 : 1.2 : 1.08
⇒ Bhaumik : Mahima : Kandarp = 25 : 30 : 27
⇒ Total profit earned = 150,000 × 0.164
⇒ Total profit earned = 24600
⇒ Profit earned by mahima and kandarp = 24600 × (30/ 82) + (24600 × 27/ 82)
⇒ Profit earned by mahima and kandarp = Rs. 24600 (30 + 27)/ 82
∴ Profit earned by mahima and kandarp is Rs 17,100

ESIC SSO Prelims Mock Test - 4 - Question 13

What approximate value should come in the place of question mark (?) in the following question?
19.98% of 550 – 10.03% of 89.97 = 49.98% of ?

Detailed Solution for ESIC SSO Prelims Mock Test - 4 - Question 13

Concept Used:
Follow BODMAS rule to solve this question, as per the order given below,

Calculation:
19.98% of 550 – 10.03% of 89.97 = 49.98% of ?
⇒ 20% of 550 – 10% of 90 = 50% of ?
⇒ 110 – 9 = (1/2) of ?
⇒ (1/2) of ? = 101
⇒ ? = 202
∴ The value of (?) is 202

ESIC SSO Prelims Mock Test - 4 - Question 14

In a college the ratio of boys and girls is 7 : 5, After one year, the number of boys increase in the ratio 10 : 11 and the number of girls decrease in the ratio 5 : 4, Find the ratio boys to girls after one year.

Detailed Solution for ESIC SSO Prelims Mock Test - 4 - Question 14

Let ratio of boys to girls = 7x : 5x
According to the question:

New ratio boys to girls after one year = 77 : 40

ESIC SSO Prelims Mock Test - 4 - Question 15

In the given question, two equations numbered l and II are given. Solve both the equations and mark the appropriate answer.

I. 3x2 - 43x + 154 = 0
II. 2y2 - 40y + 200 = 0

Detailed Solution for ESIC SSO Prelims Mock Test - 4 - Question 15

I. 3x2 - 43x + 154 = 0
⇒ 3x2 - 22x - 21x + 154 = 0
⇒ (x - 7) (3x - 22) = 0
⇒ x = 7, 22/3

II. 2y2 - 40y + 200 = 0
⇒ 2y2 - 20y - 20y + 200 = 0
⇒ (y - 10) (2y - 20) = 0
⇒ y = 10, 10

Hence x < y

ESIC SSO Prelims Mock Test - 4 - Question 16

What approximate value should come in the place of question mark (?) in the following question?
[94.95 ÷ 18.99 × 1.923 + 3.13] ÷ 8.082 = ? × 42.98/127.98

Detailed Solution for ESIC SSO Prelims Mock Test - 4 - Question 16

Follow the BODMAS rule to solve this question, as per the order given below.
Step - 1: Parts of an equation enclosed in 'Brackets' must be solved first, and following BODMAS rule in the bracket -
Step - 2: Any mathematical 'Of' or 'Exponent' must be solved next.
Step - 3: Next, the parts of the equation that contain 'Division' and 'Multiplication' are calculated.
Step - 4: Last but not the least, the parts of the equation that contain 'Addition' and 'Subtraction' should be calculated.
Since we need to find out the approximate value, we can write these values to their nearest integers.

Given Expression.
[94.95 ÷ 18.99 × 1.923 + 3.13] ÷ 8.082 = ? × 42.98/127.98
⇒ [95 ÷ 19 × 23 + 3] ÷ 82 = ? × 43/128
⇒ [5 × 8 + 3] ÷ 82 = ? × 43/128
⇒ 43/64 = ? × 43/128
⇒ ? = 2

ESIC SSO Prelims Mock Test - 4 - Question 17
At 30% rate of compound interest, 'X' pays Rs. 4600 to 'Y' in two equal annual installments. If 'X' will pay the same amount at the same rate of simple interest, then find the difference between amounts paid by 'X' in both the cases.
Detailed Solution for ESIC SSO Prelims Mock Test - 4 - Question 17

Given :

Rate of interest = 30% per annum

Principal = 4600 Rs.

Calculation :

Let the installment paid in compound interest by 'X' is 'A' Rs.

⇒ 4600 = A/[1 + (3/10)] + A/[1 + (3/10)2]

⇒ 4600 = A × [(10/13) + (10/13)2]

⇒ 4600 = A × (230/169)

⇒ A = 3380 Rs.

Amount paid = 3380 + 3380 = 6760 Rs.

Let the installment paid in simple interest by 'X' is 'B' Rs.

Simple interest installment = 100 × (Amount)/[100 × n + n × (n - 1) × (r/2)]

⇒ 100 × (Amount) = Simple interest installment × [100 × n + n × (n - 1) × (r/2)]

⇒ 100 × [Principal + Interest] = B × [100 × n + n × (n - 1) × (r/2)]

⇒ 100 × [Principal + (Principal × Rate × time)/100] = B × [100 × n + n × (n - 1) × (r/2)]

⇒ 100 × [Principal(100 + Rate × time)/100] = B × [100 × n + n × (n - 1) × (r/2)]

⇒ 100 × 4600 × [(100 + 2 × 30)/100] = B × [100 × 2 + 2 × 1 × (30/2)]

⇒ 4600 × 160 = B × 230

⇒ B = 3200

Amount paid = 3200 + 3200 = 6400 Rs.

Required difference = 6760 - 6400 = 360 Rs.

Hence, the correct answer is Rs. 360
ESIC SSO Prelims Mock Test - 4 - Question 18

Raju took some loan from a bank at 10% compound interest per annum. He repaid the whole amount of the loan by paying Rs. 7000 and 4400 at the end of the first year and second year respectively. Find the sum of the loan.

Detailed Solution for ESIC SSO Prelims Mock Test - 4 - Question 18

Given:
Rate of interest = 10%
Instalment (I1) = Rs.7000
Instalment (I2) = Rs.4400
Time = 2 year

Formula:
A = P × (1 + R/100)n
Here,
A = Amount
P = Principal Amount
R = Rate of interest
n = time in year
IA = I × (1 + R/100)t
Here,
IA = Instalment Amount
I = Instalment
R = Rate of interest
t = (n – 1)year, (n – 2)year, ……..
Here, n = time in years

Calculation:
Let the principal amount be Rs.P
We know that –
A = P × (1 + R/100)n ……. (1)
Put all the given values in equation (1)
A = P × (1 + 10/100)2
⇒ P × (1 + 1/10)2
⇒ P × (11/10)2
⇒ P × 121/100
Now,
Installment Amount (IA) for two years means = (n – 1)year + (n – 2)year
We know that –
IA for (n – 1)year = I × (1 + R/100)t ….. (2)
Put all the given values in equation (2) then we get
IA for (n – 1)year = 7000 × (1 + 10/100)1
⇒ 7000 × (1 + 1/10)
⇒ 7000 × 11/10
⇒ 7700
Now,
IA for (n – 2)year = 4400 × (1 + 10/100)0
⇒ 4400 × 1
⇒ 4400
Now,
Instalment Amount (IA) for two years = 7700 + 4400
⇒ 12100
Now,
We equate the Amount (A) & Instalment Amount (IA)
P × 121/100 = 12100
⇒ P × 1/100 = 100
⇒ P = 100 × 100
⇒ P = 10000
∴ The Sum of the loan will be Rs.10,000

ESIC SSO Prelims Mock Test - 4 - Question 19

The number of Apple sold in August is 32% more than that of May. If the number of Banana sold in August is 567 more than the number of Apple sold in the same month, then the number of Banana sold in August is what percent of the total number of Fruits sold in May?

Detailed Solution for ESIC SSO Prelims Mock Test - 4 - Question 19

​As per data:
Total fruits sold in March = (28/100) × 8100 = 2268
Total number of Banana sold in March = (3/7) × 2268 ​​​​= 972
Total number of Apple sold in March = (4/7) × 2268 = 1296
Total fruits sold in April = (12/100) × 8100 =972
Total number of Banana sold in April = (4/9) × 972 = 432
Total number of Apple sold in April = (5/9) × 972 = 540
Total fruits sold in May = (25/100) × 8100 = 2025
Total number of Banana sold in May = (2/3) × 2025 = 1350
Total number of Apple sold in May = (1/3) × 2025 = 675
Total fruits sold in June = (20/100) × 8100 =1620
Total number of Banana sold in June = (7/15) × 1620 = 756
Total number of Apple sold in June = (4/7) × 1620 = 864
Total fruits sold in July = (15/100) × 8100 =1215
Total number of Banana sold in July = (8/15) × 1215 = 648
Total number of Apple sold in July = (7/15) × 1215 = 567
Hence, the value will be:

The number of Apple sold in August is 32% more than that of May.
The number of Apple sold in August is = (132/100) × 675 = 891
The number of Banana sold in August is 567 more than the number of Apple sold in the same month = 891+567=1458
Total number of fruits sold in May = 1350 + 675 = 2025
Hence, required percentage = (1458/2025) × 100 = 72%

ESIC SSO Prelims Mock Test - 4 - Question 20

What should come in place of the question mark '?' in the following number series?
13, 28, 87, 352, ?, 10596

Detailed Solution for ESIC SSO Prelims Mock Test - 4 - Question 20

The series follows the following pattern:
13 × 2 + 2 = 28
28 × 3 + 3 = 87
87 × 4 + 4 = 352
352 × 5 + 5 = 1765
1765 × 6 + 6 = 10596

ESIC SSO Prelims Mock Test - 4 - Question 21

How many persons are facing outside the circle?

Detailed Solution for ESIC SSO Prelims Mock Test - 4 - Question 21

A certain number of persons are sitting in a circular table. Some are facing inside and some facing outside. More than eight persons sit in the circular table.
1. S sits second to the right of W.
2. X sits fourth to the left of S.
3. W and S face the same direction.
4. V sits second to the left of X.



5. P sits second to the right of S.
6. P is an immediate neighbour of V but does not sit to the immediate left of X.
7. X faces inside. (Hence, Case I is eliminated)

8. P and X face opposite direction.
9. U sits second to the right of V.
10. U faces inside.
11. Q is one of the neighbors of S.


12. T sits second to the right of Q.
13. R sits second to the right of T.
14. R and T face opposite direction.

Hence, four persons are facing towards the outside of the circle.

ESIC SSO Prelims Mock Test - 4 - Question 22

How many persons are sitting in the circle?

Detailed Solution for ESIC SSO Prelims Mock Test - 4 - Question 22

A certain number of persons are sitting in a circular table. Some are facing inside and some facing outside. More than eight persons sit in the circular table.
1. S sits second to the right of W.
2. X sits fourth to the left of S.
3. W and S face the same direction.
4. V sits second to the left of X.



5. P sits second to the right of S.
6. P is an immediate neighbour of V but does not sit to the immediate left of X.
7. X faces inside. (Hence, Case I is eliminated)

8. P and X face opposite direction.
9. U sits second to the right of V.
10. U faces inside.
11. Q is one of the neighbors of S.


12. T sits second to the right of Q.
13. R sits second to the right of T.
14. R and T face opposite direction.

Hence, nine persons are sitting in the circle.

ESIC SSO Prelims Mock Test - 4 - Question 23

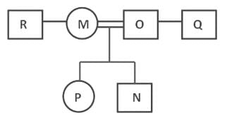
Who is the brother-in-law of O?

Detailed Solution for ESIC SSO Prelims Mock Test - 4 - Question 23

From the given information,
1) N is the son of O but O is not mother of N. (Implies O is father of N.)
2) Q is the brother of O
3) M and O is married couple. (Implies M is mother of N.)
4) P is the daughter of M. (Implies O is father of P and N is brother of P.)
5) R is the brother of M.

As M is wife of O and R is brother of M.

Thus, R is brother-in-law of O.

ESIC SSO Prelims Mock Test - 4 - Question 24

Who among the following scored less than the one who represents Apple?

Detailed Solution for ESIC SSO Prelims Mock Test - 4 - Question 24

Player: P, Q, R, S, and T.
Countries: India, Pakistan, Bangladesh, Nepal, and Bhutan.
Brands: Apple, HPL, Lenovo, LG and TATA.
1) Q scored more than only one player and neither he belongs to Pakistan nor represents HPL.
2) R has scored more than Q but less than the one who belongs to Bangladesh.
3) The top scorer among them does not belong to either Pakistan or Bangladesh.


4) The one who belongs to Pakistan scored more than the one who represents Apple.
5) S scored less than T and P, but does not represent Apple.

6) The one who belongs to Nepal, represents TATA.
7) The one who represent TATA, scored less than the one who represents Lenovo.

8) The one who belongs to Bhutan scored more than the one who represents Lenovo.
9) Neither T nor P represents Lenovo.

After filling the gaps we got the final table as,

Thus, S scored less than the one who represents Apple.

ESIC SSO Prelims Mock Test - 4 - Question 25

If P is the topper among them, then who among the following players represents LG?

Detailed Solution for ESIC SSO Prelims Mock Test - 4 - Question 25

Player: P, Q, R, S, and T.
Countries: India, Pakistan, Bangladesh, Nepal, and Bhutan.
Brands: Apple, HPL, Lenovo, LG and TATA.
1) Q scored more than only one player and neither he belongs to Pakistan nor represents HPL.
2) R has scored more than Q but less than the one who belongs to Bangladesh.
3) The top scorer among them does not belong to either Pakistan or Bangladesh.


4) The one who belongs to Pakistan scored more than the one who represents Apple.
5) S scored less than T and P, but does not represent Apple.

6) The one who belongs to Nepal, represents TATA.
7) The one who represent TATA, scored less than the one who represents Lenovo.

8) The one who belongs to Bhutan scored more than the one who represents Lenovo.
9) Neither T nor P represents Lenovo.

After filling the gaps we got the final table as,

Even if we know P is the topper, data is not sufficient to tell who represents LG.

ESIC SSO Prelims Mock Test - 4 - Question 26

Direction: In the following question assuming the given statements to be true, find which of the conclusion among given conclusions is/are definitely true and then give your answers accordingly.

Statements: M > A > R, G = R < S, 1 ≤ R ≤ C, 3 = C > J
Conclusions:
I. M > 1
II. 3 = 1
III. 3 > 1

Detailed Solution for ESIC SSO Prelims Mock Test - 4 - Question 26

Given statements: M > A > R, G = R < S, 1 ≤ R ≤ C, 3 = C > J
On combining: M > A > G = R ≤ C = 3 > J, 1 ≤ R = G < S

Conclusions:
I. M > 1 → True (as M > A > G = R ≥ 1 → M > 1).
II. 3 = 1 → False (as 1 ≤ R ≤ C = 3 3 ≥ 1, which means 3 > 1 or 3 = 1)
III. 3 > 1 → False (as 1 ≤ R ≤ C = 3 3 ≥ 1, which means 3 > 1 or 3 = 1)
Here, conclusion II and conclusion III both are complementary to each other. Hence, it is "either or" case.
Hence, Either conclusion II or III and conclusion I is true.

ESIC SSO Prelims Mock Test - 4 - Question 27

Which box is placed at the sixth position from the top?

Detailed Solution for ESIC SSO Prelims Mock Test - 4 - Question 27

Fruits: apple, orange, grapes, banana, pineapple, peach, kiwi, and guava.
Number of fruits: 5, 4, 3, 2, 20, 39, 36 and 25.
(1) There are three boxes above oranges but below apples which are placed in an even-numbered place.

(2) There are five boxes between the box containing 5 pieces and the one containing 3 pineapples which are not placed on the bottommost position.

(3) Number of apples is a perfect square and only grapes are more in number than apples, therefore case 1 (a) eliminates and grapes are 39 in number implies apples must be 36 in number.
(4) There are at least three boxes between the box containing banana and peach.
(5) Bananas are placed three boxes above the one containing guava.
(6) Peaches are placed just above the box containing 20 fruits.

As peaches are placed just above the box containing 20 fruits. Case 1(b) and case 2 (a) eliminates here. But we need space for 39 grapes therefore case 2 (b) (ii) eliminates here.

(7) Number of banana are more than guava but not more than peaches, as 2, 4 and 25 left only, therefore, peaches are 25, bananas are 4 and guava are 2 in number.
Therefore the final arrangement is:

Hence, the peaches box is placed at the sixth position from the top.

ESIC SSO Prelims Mock Test - 4 - Question 28

How many people sit between the one sitting opposite Billy and the one sitting opposite Ajay?

Detailed Solution for ESIC SSO Prelims Mock Test - 4 - Question 28

Fourteen people – Ajay, Billy, Chris, Dan, Ezekiel, Farhan, Girish, Priya, Quarin, Rocky, Shubh, Tasmin, Uttara, and Vidhushi.
Ajay, Billy, Chris, Dan, Ezekiel, Farhan, and Girish sit in row 1 facing North, while the rest sit in row 2, facing South.

1. Priya sits beside Rocky, who sits at the right end of the row.
2. Girish sits beside Ezekiel, who sits fourth from the left end of the row.
3. Two people sit between Dan and Ezekiel.

4. Ajay does not sit at the end of the row.
5. Ajay sits to the right of Chris, who sits to the right of Billy, who sits beside Dan.
6. Quarin does not sit opposite Girish.

(Cases 1.2 and 2.2 will not be possible as they will not satisfy point 5)

7. Only Vidhushi sits beside Tasmin.
8. Shubh sits third to the right of Tasmin.
9. Uttara sits to the right of Quarin.

(Case 2.1 will not be possible as it will not satisfy point 9)

Final Arrangement:

Priya sits opposite Billy.
Vidhushi sits opposite Ajay.
Hence, three people sit between Priya and Vidhushi.

ESIC SSO Prelims Mock Test - 4 - Question 29

Who sits at the ends of Row 1?

Detailed Solution for ESIC SSO Prelims Mock Test - 4 - Question 29

Fourteen people – Ajay, Billy, Chris, Dan, Ezekiel, Farhan, Girish, Priya, Quarin, Rocky, Shubh, Tasmin, Uttara, and Vidhushi.
Ajay, Billy, Chris, Dan, Ezekiel, Farhan, and Girish sit in row 1 facing North, while the rest sit in row 2, facing South.

1. Priya sits beside Rocky, who sits at the right end of the row.
2. Girish sits beside Ezekiel, who sits fourth from the left end of the row.
3. Two people sit between Dan and Ezekiel.

4. Ajay does not sit at the end of the row.
5. Ajay sits to the right of Chris, who sits to the right of Billy, who sits beside Dan.
6. Quarin does not sit opposite Girish.

(Cases 1.2 and 2.2 will not be possible as they will not satisfy point 5)

7. Only Vidhushi sits beside Tasmin.
8. Shubh sits third to the right of Tasmin.
9. Uttara sits to the right of Quarin.

(Case 2.1 will not be possible as it will not satisfy point 9)

Final Arrangement:

Hence, Dan and Farhan sit at the ends of Row 1.

ESIC SSO Prelims Mock Test - 4 - Question 30

Which of the following statements is true?

Detailed Solution for ESIC SSO Prelims Mock Test - 4 - Question 30

Persons – 8; F, G, H, I, J, K, L, and M;
Ice-creams – scoops, cone, fruit, stick, sundae, banana split, bar, and soft serve.
1. M sits third to the right of the one who likes scoops.
2. Four persons sit between the one who likes scoops and the one who likes sundae.


3. I likes bar.
4. Two persons sit between the one who likes sundae and bar.
5. The one who likes cone and fruit face each other.


6. The one who likes cone sits immediate right of G.
7. G likes neither scoop nor stick.

8. F sits three places away from G and immediate left of banana split.
From this case 2 is eliminated as we cannot place F. In case 1, F likes fruit. From point 7, as G does not like stick, we can conclude that G likes soft serve.

9. L sits immediate left of K.
10. More than two persons sit between J and L when counted to the right of L.
This implies L likes stick, K likes scoops, J likes cone and hence, H likes banana split.
From this we get the final arrangement as follows.

Hence, 'G sits second to the left of I' is true.
Therefore, option 4 is the correct answer.

View more questions
Information about ESIC SSO Prelims Mock Test - 4 Page
In this test you can find the Exam questions for ESIC SSO Prelims Mock Test - 4 solved & explained in the simplest way possible. Besides giving Questions and answers for ESIC SSO Prelims Mock Test - 4, EduRev gives you an ample number of Online tests for practice
Download as PDF