Insurance Exams Exam  >  Insurance Exams Tests  >  PFRDA Assistant Manager Phase 1 Mock Test - 2 (Paper 1) - Insurance Exams MCQ

PFRDA Assistant Manager Phase 1 Mock Test - 2 (Paper 1) - Insurance Exams MCQ


Test Description

30 Questions MCQ Test - PFRDA Assistant Manager Phase 1 Mock Test - 2 (Paper 1)

PFRDA Assistant Manager Phase 1 Mock Test - 2 (Paper 1) for Insurance Exams 2025 is part of Insurance Exams preparation. The PFRDA Assistant Manager Phase 1 Mock Test - 2 (Paper 1) questions and answers have been prepared according to the Insurance Exams exam syllabus.The PFRDA Assistant Manager Phase 1 Mock Test - 2 (Paper 1) MCQs are made for Insurance Exams 2025 Exam. Find important definitions, questions, notes, meanings, examples, exercises, MCQs and online tests for PFRDA Assistant Manager Phase 1 Mock Test - 2 (Paper 1) below.
Solutions of PFRDA Assistant Manager Phase 1 Mock Test - 2 (Paper 1) questions in English are available as part of our course for Insurance Exams & PFRDA Assistant Manager Phase 1 Mock Test - 2 (Paper 1) solutions in Hindi for Insurance Exams course. Download more important topics, notes, lectures and mock test series for Insurance Exams Exam by signing up for free. Attempt PFRDA Assistant Manager Phase 1 Mock Test - 2 (Paper 1) | 80 questions in 60 minutes | Mock test for Insurance Exams preparation | Free important questions MCQ to study for Insurance Exams Exam | Download free PDF with solutions
PFRDA Assistant Manager Phase 1 Mock Test - 2 (Paper 1) - Question 1

Direction: Read the following passage carefully and answer the following questions.

The Bureau of Indian Standards (BIS) has kicked off the process to set new standards to measure quality of services offered to consumers across different sectors, including telecom, aviation, e-commerce and healthcare.

The BIS, which sets the quality regulations for various products from gold to bottled water, on Friday called a meeting of industry bodies to “persuade them to be part of the process and give their inputs.”

“Service sector is one of the key sectors of the Indian economy with a huge potential to grow into one of the largest markets of the world. Standards can play a major facilitative role in this regard. It is important that the standardisation needs and priorities of the sector are determined,” a senior official said.

During the meeting, the BIS pointed out that the initial focus will be the 12 champion services sectors identified by the government. These include IT, tourism and hospitality, transport and logistics, accounting and finance services, legal services, communication services and construction.

The Bureau of Indian Standards (BIS) standards is set to formulate a framework for quality services that should be provided to consumers and also talk about the benchmarks to deal with consumer complaints or after sales service in an effort to ensure quality in the services sector.

At a meeting with industry bodies on Friday, it has been decided that the BIS will set up a separate ‘divisional council’ for services in a month’s time. Under this, different technical committees will be set up — one for each service. The committees will have various stakeholders such as government officials, experts and industry representatives.

The process was initiated after concerns over lack of standardisation, particularly with regards to after-sales service, in their feedback to the Ministry of Consumer Affairs.

In a poll, online community network LocalCircles found that in the absence of defined customer service standards in the country, a majority of consumers were not happy with after-sales services. As per the poll, 43% feel that mobile handset and computer manufacturers are the worst in after-sales services, followed by white goods firms (38%) and automobile companies (11%). About 93% of respondents said brands should at least acknowledge complaints from users within 72 hours. “Many consumers complained that customer service numbers of many companies do not work,” according to LocalCircles.

Q. Which among the following is the appeal made by the Bureau of Indian Standards to the industry bodies in the country?

Detailed Solution for PFRDA Assistant Manager Phase 1 Mock Test - 2 (Paper 1) - Question 1

Refer to, “The BIS, which sets the quality regulations for various products from gold to bottled water, on Friday called a meeting of industry bodies to “persuade them to be part of the process and give their inputs.”

It is clear from the above passage that the Bureau of Indian Standards wants the industry bodies to be part of the process of standardization drive to be launched by the organization regarding the services sectors. The organization wants the industry bodies to share their views regarding the benchmark that will be created by the BIS.

Among the given options, statements B and C are incorrect since they are about asking the industry bodies to take care of the customer complaints in any way possible whereas the passage is about the BIS developing new benchmark for standards. Statement D is also not correct since it is completely irrelevant in the given context.

Only statement A implies the appeal that was made by the BIS to the industry bodies.

This makes option A the correct choice among the given options.

PFRDA Assistant Manager Phase 1 Mock Test - 2 (Paper 1) - Question 2

Direction: Read the following passage carefully and answer the following questions.

The Bureau of Indian Standards (BIS) has kicked off the process to set new standards to measure quality of services offered to consumers across different sectors, including telecom, aviation, e-commerce and healthcare.

The BIS, which sets the quality regulations for various products from gold to bottled water, on Friday called a meeting of industry bodies to “persuade them to be part of the process and give their inputs.”

“Service sector is one of the key sectors of the Indian economy with a huge potential to grow into one of the largest markets of the world. Standards can play a major facilitative role in this regard. It is important that the standardisation needs and priorities of the sector are determined,” a senior official said.

During the meeting, the BIS pointed out that the initial focus will be the 12 champion services sectors identified by the government. These include IT, tourism and hospitality, transport and logistics, accounting and finance services, legal services, communication services and construction.

The Bureau of Indian Standards (BIS) standards is set to formulate a framework for quality services that should be provided to consumers and also talk about the benchmarks to deal with consumer complaints or after sales service in an effort to ensure quality in the services sector.

At a meeting with industry bodies on Friday, it has been decided that the BIS will set up a separate ‘divisional council’ for services in a month’s time. Under this, different technical committees will be set up — one for each service. The committees will have various stakeholders such as government officials, experts and industry representatives.

The process was initiated after concerns over lack of standardisation, particularly with regards to after-sales service, in their feedback to the Ministry of Consumer Affairs.

In a poll, online community network LocalCircles found that in the absence of defined customer service standards in the country, a majority of consumers were not happy with after-sales services. As per the poll, 43% feel that mobile handset and computer manufacturers are the worst in after-sales services, followed by white goods firms (38%) and automobile companies (11%). About 93% of respondents said brands should at least acknowledge complaints from users within 72 hours. “Many consumers complained that customer service numbers of many companies do not work,” according to LocalCircles.

Q. Which among the following is true regarding the poll conducted by the community network LocalCircles regarding customer service in India?

I. The mobile phone manufacturers are mostly interested in selling the products without giving much attention to the after sales service
II. Many sectors in India are facing the issue of after sales service in the country and nothing is being done to take care of this issue
III. It is important that the complaints of the customers should be acknowledged first by the service providers

Detailed Solution for PFRDA Assistant Manager Phase 1 Mock Test - 2 (Paper 1) - Question 2

Refer to, “In a poll, online community network LocalCircles found that in the absence of defined customer service standards in the country, a majority of consumers were not happy with after-sales services. As per the poll, 43% feel that mobile handset and computer manufacturers are the worst in after-sales services, followed by white goods firms (38%) and automobile companies (11%). About 93% of respondents said brands should at least acknowledge complaints from users within 72 hours. “Many consumers complained that customer service numbers of many companies do not work,” according to LocalCircles.”

Statement I is correct since it is clear from the passage that mobile phone manufacturers are the worst service providers in the country according to the online poll conducted by the LocalCircles.

Statement II is also correct since according to the poll, there are many sectors such as mobile, automobile, white goods firms etc. which are facing issues related to the after sales services to the customers.

Statement III is correct since most of the customers feel that the service providers should at least acknowledge the complaints from the customers. 93% of the respondents in the online poll replied that the complaints should be acknowledged within 72 hours.

This makes option E as the correct choice from the given options.

PFRDA Assistant Manager Phase 1 Mock Test - 2 (Paper 1) - Question 3

Direction: Read the following passage carefully and answer the following questions.

The Bureau of Indian Standards (BIS) has kicked off the process to set new standards to measure quality of services offered to consumers across different sectors, including telecom, aviation, e-commerce and healthcare.

The BIS, which sets the quality regulations for various products from gold to bottled water, on Friday called a meeting of industry bodies to “persuade them to be part of the process and give their inputs.”

“Service sector is one of the key sectors of the Indian economy with a huge potential to grow into one of the largest markets of the world. Standards can play a major facilitative role in this regard. It is important that the standardisation needs and priorities of the sector are determined,” a senior official said.

During the meeting, the BIS pointed out that the initial focus will be the 12 champion services sectors identified by the government. These include IT, tourism and hospitality, transport and logistics, accounting and finance services, legal services, communication services and construction.

The Bureau of Indian Standards (BIS) standards is set to formulate a framework for quality services that should be provided to consumers and also talk about the benchmarks to deal with consumer complaints or after sales service in an effort to ensure quality in the services sector.

At a meeting with industry bodies on Friday, it has been decided that the BIS will set up a separate ‘divisional council’ for services in a month’s time. Under this, different technical committees will be set up — one for each service. The committees will have various stakeholders such as government officials, experts and industry representatives.

The process was initiated after concerns over lack of standardisation, particularly with regards to after-sales service, in their feedback to the Ministry of Consumer Affairs.

In a poll, online community network LocalCircles found that in the absence of defined customer service standards in the country, a majority of consumers were not happy with after-sales services. As per the poll, 43% feel that mobile handset and computer manufacturers are the worst in after-sales services, followed by white goods firms (38%) and automobile companies (11%). About 93% of respondents said brands should at least acknowledge complaints from users within 72 hours. “Many consumers complained that customer service numbers of many companies do not work,” according to LocalCircles.

Q. Which among the following is true regarding the standardization drive to be initiated by the Bureau of Indian Standards?
I. It will focus on the services sector and all the services will be focused under this new initiative
II. The main reason for initiating this drive is the servicing post sales of any product
III. This standardization will focus on framing a benchmark for the quality of service in the country

Detailed Solution for PFRDA Assistant Manager Phase 1 Mock Test - 2 (Paper 1) - Question 3

Refer to, "During the meeting, the BIS pointed out that the initial focus will be the 12 champion services sectors identified by the government."

It means that statement I is incorrect since the initial focus will be on 12 sectors belonging to the service sector and these sectors have also been identified by the Government as the champion sectors of the economy. The focus will not be on all the sectors of the economy.

Refer to, "The Bureau of Indian Standards (BIS) standards is set to formulate a framework for quality services that should be provided to consumers and also talk about the benchmarks to deal with consumer complaints or after sales service in an effort to ensure quality in the services sector."

It implies that the BIS wants to develop a framework in which there will be main focus on the consumer complaints regarding the after sales service concerning any product. The customers should not complaint about the servicing after buying any product, this is the main objective of the new framework. This makes Statement II correct.

According to the above lines, it is also true that the new standardization drive is meant to create a benchmark for service sector in after sales service of any product. This makes Statement III also correct.

This makes option A the right choice among the given options.

PFRDA Assistant Manager Phase 1 Mock Test - 2 (Paper 1) - Question 4

Direction: Read the following passage carefully and answer the following questions.

The Bureau of Indian Standards (BIS) has kicked off the process to set new standards to measure quality of services offered to consumers across different sectors, including telecom, aviation, e-commerce and healthcare.

The BIS, which sets the quality regulations for various products from gold to bottled water, on Friday called a meeting of industry bodies to “persuade them to be part of the process and give their inputs.”

“Service sector is one of the key sectors of the Indian economy with a huge potential to grow into one of the largest markets of the world. Standards can play a major facilitative role in this regard. It is important that the standardisation needs and priorities of the sector are determined,” a senior official said.

During the meeting, the BIS pointed out that the initial focus will be the 12 champion services sectors identified by the government. These include IT, tourism and hospitality, transport and logistics, accounting and finance services, legal services, communication services and construction.

The Bureau of Indian Standards (BIS) standards is set to formulate a framework for quality services that should be provided to consumers and also talk about the benchmarks to deal with consumer complaints or after sales service in an effort to ensure quality in the services sector.

At a meeting with industry bodies on Friday, it has been decided that the BIS will set up a separate ‘divisional council’ for services in a month’s time. Under this, different technical committees will be set up — one for each service. The committees will have various stakeholders such as government officials, experts and industry representatives.

The process was initiated after concerns over lack of standardisation, particularly with regards to after-sales service, in their feedback to the Ministry of Consumer Affairs.

In a poll, online community network LocalCircles found that in the absence of defined customer service standards in the country, a majority of consumers were not happy with after-sales services. As per the poll, 43% feel that mobile handset and computer manufacturers are the worst in after-sales services, followed by white goods firms (38%) and automobile companies (11%). About 93% of respondents said brands should at least acknowledge complaints from users within 72 hours. “Many consumers complained that customer service numbers of many companies do not work,” according to LocalCircles.

Q. Which among the following will be framework for standardization initiative of the Bureau of Indian Standards with regard to the services sector?

Detailed Solution for PFRDA Assistant Manager Phase 1 Mock Test - 2 (Paper 1) - Question 4

Refer to, “At a meeting with industry bodies on Friday, it has been decided that the BIS will set up a separate ‘divisional council’ for services in a month’s time. Under this, different technical committees will be set up — one for each service. The committees will have various stakeholders such as government officials, experts and industry representatives.”

It is very clear that the BIS will set up a different division for the purpose of standardization drive in the services sector with technical committees being set up to oversee the technical aspects of such sectors. These committees will have various stakeholders such as the government officials, experts and industry people.

Among the given options, only option C describes this framework of implementing the standardization drive of the BIS in the services sector.

Hence, option C is the right choice among the given options.

PFRDA Assistant Manager Phase 1 Mock Test - 2 (Paper 1) - Question 5

Direction: Read the following passage carefully and answer the following questions.

The Bureau of Indian Standards (BIS) has kicked off the process to set new standards to measure quality of services offered to consumers across different sectors, including telecom, aviation, e-commerce and healthcare.

The BIS, which sets the quality regulations for various products from gold to bottled water, on Friday called a meeting of industry bodies to “persuade them to be part of the process and give their inputs.”

“Service sector is one of the key sectors of the Indian economy with a huge potential to grow into one of the largest markets of the world. Standards can play a major facilitative role in this regard. It is important that the standardisation needs and priorities of the sector are determined,” a senior official said.

During the meeting, the BIS pointed out that the initial focus will be the 12 champion services sectors identified by the government. These include IT, tourism and hospitality, transport and logistics, accounting and finance services, legal services, communication services and construction.

The Bureau of Indian Standards (BIS) standards is set to formulate a framework for quality services that should be provided to consumers and also talk about the benchmarks to deal with consumer complaints or after sales service in an effort to ensure quality in the services sector.

At a meeting with industry bodies on Friday, it has been decided that the BIS will set up a separate ‘divisional council’ for services in a month’s time. Under this, different technical committees will be set up — one for each service. The committees will have various stakeholders such as government officials, experts and industry representatives.

The process was initiated after concerns over lack of standardisation, particularly with regards to after-sales service, in their feedback to the Ministry of Consumer Affairs.

In a poll, online community network LocalCircles found that in the absence of defined customer service standards in the country, a majority of consumers were not happy with after-sales services. As per the poll, 43% feel that mobile handset and computer manufacturers are the worst in after-sales services, followed by white goods firms (38%) and automobile companies (11%). About 93% of respondents said brands should at least acknowledge complaints from users within 72 hours. “Many consumers complained that customer service numbers of many companies do not work,” according to LocalCircles.

Q. Which among the following is the main reason of initiating the standardization drive of the Bureau of Indian Standards for the services sector?

Detailed Solution for PFRDA Assistant Manager Phase 1 Mock Test - 2 (Paper 1) - Question 5

Refer to, “Service sector is one of the key sectors of the Indian economy with a huge potential to grow into one of the largest markets of the world. Standards can play a major facilitative role in this regard. It is important that the standardization needs and priorities of the sector are determined,” a senior official said.”

It is very clear from the above lines that the government is of the view that there should be standardization in the sector so that this fastest growing sector can be developed properly in the country. Among the given options, statement A may be true but only because a sector is contributing to GDP cannot be considered for the sole ground for initiating standardization drive in this sector. Statements C and D are irrelevant in the context of the passage whereas statement E is not relevant for this particular standardization initiative of the government.

Hence, Option B is the right choice among the given options.

PFRDA Assistant Manager Phase 1 Mock Test - 2 (Paper 1) - Question 6

Direction: In the questions given below a sentence is given with two blanks in each. Corresponding to each question two columns are given with three words in each column. Which combination of words from the two columns will perfectly fit into the blanks to make the sentence contextually correct and meaningful? 

A patient has the right to know all the rates charged for specific services in a hospital, hospitals should boldly ____________ the cost of procedures in local and English language and patients should pay the fees agreed upon and never ______________ to violence. 

Detailed Solution for PFRDA Assistant Manager Phase 1 Mock Test - 2 (Paper 1) - Question 6

If we go through the context of the given sentence it is regarding the right of the patients and the way in which they should behave in the hospitals. There should be an agreement between the hospital authorities and the patients and afterwards no party should turn violent.

Among the given words, we can see that from the first column, display can be placed in the first blank whereas from the second column, the correct word that can be placed in the second blank is resort. So, B-D is a correct combination of the two words to be placed in the blanks. There is no other combination of words that will make the given sentence grammatically and contextually correct.

This makes Option C the correct choice among the given options.

PFRDA Assistant Manager Phase 1 Mock Test - 2 (Paper 1) - Question 7

Direction: Each question below has one blank, which is indicating that something has been omitted. Find out which option can be used to fill up the blank in the sentence in the same sequence to make it meaningfully complete. 

There has been _____________ interest among retail investors in ETF, thanks to the underperformance of the actively-managed large-cap equity funds. 

Detailed Solution for PFRDA Assistant Manager Phase 1 Mock Test - 2 (Paper 1) - Question 7

According to the context of the sentence we are saying that the large cap funds have not been able to perform properly in the recent times and that is why the retail investors must have been interested in the ETF segment. Obviously the retail participation must have seen an increase as per the second part of the given sentence. Therefore among the given words we can use increased to fill the blank in the sentence to make it meaningful and correct. Other words fail to imply the intended meaning and that is why they are eliminated.

This makes Option B the correct choice among the given options. 

PFRDA Assistant Manager Phase 1 Mock Test - 2 (Paper 1) - Question 8

Directions: In the following questions, a sentence is given with two blanks. You have to find the pair of words from the given options that fit both the blanks in the given order and make the sentence grammatically and contextually correct. 

It is now important for the central bank to _______ that the discipline in the system does not ________.  

Detailed Solution for PFRDA Assistant Manager Phase 1 Mock Test - 2 (Paper 1) - Question 8

 In option A, “wrecked” is grammatically incorrect because it uses the past participle form of verb as well as does not fit the context.

In option B, week is contextually incorrect.

In option C, “exist” is exactly opposite to what is being required. RBI is a governing authority and it would try to maintain discipline rather than removing it. 

Both the words of option D suit the context as well as fulfill the grammar rules.

Hence option D is correct.

PFRDA Assistant Manager Phase 1 Mock Test - 2 (Paper 1) - Question 9

Choose appropriate option for blank A

Detailed Solution for PFRDA Assistant Manager Phase 1 Mock Test - 2 (Paper 1) - Question 9

The statement tries to convey that a number of things combined together give an impression of scarcity of water.

The only option that fits in is option A.

PFRDA Assistant Manager Phase 1 Mock Test - 2 (Paper 1) - Question 10

Choose appropriate option for blank B.

Detailed Solution for PFRDA Assistant Manager Phase 1 Mock Test - 2 (Paper 1) - Question 10

Here, the statement after the blank states a point contrary to the ones before it. Thus, we can eliminate options A, B and D. Option C is the best fit here.

Hence, option C is the correct answer.

PFRDA Assistant Manager Phase 1 Mock Test - 2 (Paper 1) - Question 11

Choose appropriate option for blank C.

Detailed Solution for PFRDA Assistant Manager Phase 1 Mock Test - 2 (Paper 1) - Question 11

All of the words convey the correct meaning about the false news mostly relying on the NITI Aayog report on water management.

Hence, option E is correct.

PFRDA Assistant Manager Phase 1 Mock Test - 2 (Paper 1) - Question 12

Choose appropriate option for blank D.

Detailed Solution for PFRDA Assistant Manager Phase 1 Mock Test - 2 (Paper 1) - Question 12

The author clarifies on the NITI Aayog report stating it was more to get some action out of the states than an alarm bell. The correct word here is ‘action’.

Hence, Option B is correct.

PFRDA Assistant Manager Phase 1 Mock Test - 2 (Paper 1) - Question 13

Choose appropriate option for blank E.

Detailed Solution for PFRDA Assistant Manager Phase 1 Mock Test - 2 (Paper 1) - Question 13

The author talks about the plight of NITI Aayog in the absence of any viable/major leverage to influence states.

The correct word is substantive here which means major.

Hence, option D is correct.

PFRDA Assistant Manager Phase 1 Mock Test - 2 (Paper 1) - Question 14

Directions: Rearrange the following six sentences A, B, C, D, E and F in the proper sequence to form a meaningful paragraph and then answer the question given beside.

A. Broadly, it is a central body of knowledge.
B. Mechanical engineering got consolidated as a profession for designing, building, and managing machinery.
C. Some key technologies of this revolution are AI and ML, Robots etc.
D. Mechanical engineering will be made much more interdisciplinary with these.
E. These fragments are more evolved in the ongoing industrial revolution.
F. It includes materials, mechanics, thermodynamics, fluid mechanics, and manufacturing.

Which of the following sentences will be the third sentence after rearrangement?

Detailed Solution for PFRDA Assistant Manager Phase 1 Mock Test - 2 (Paper 1) - Question 14

The correct arrangement is BAFECD.

Sentence B is the only suitable sentence to introduce the theme which is ‘mechanical engineering’. Thus, it is the first sentence. Sentence A should follow sentence B as it elaborates the definition of ‘mechanical engineering’.

For the third place, sentence F is the best fit because it mentions about the various sections which constitute mechanical engineering, sentence E stating ‘these fragments’ is an obvious supporting statement to sentence F. Thus, F and E should be placed as the third and fourth sentences respectively.

Sentence C should be placed just after E, as it explains how the present industrial revolution (stated in E) uses various technologies. Thus, C is the fifth sentence. Lastly, the pronoun ‘these’ stated in D makes it a perfect conclusion because ‘these’ is the replacement of noun phrase ‘key technologies’ mentioned in C.

Sentence F will be the third sentence.

Hence, the correct answer is option B.

PFRDA Assistant Manager Phase 1 Mock Test - 2 (Paper 1) - Question 15

Directions: Rearrange the following six sentences A, B, C, D, E and F in the proper sequence to form a meaningful paragraph and then answer the question given beside.

A. Broadly, it is a central body of knowledge.
B. Mechanical engineering got consolidated as a profession for designing, building, and managing machinery.
C. Some key technologies of this revolution are AI and ML, Robots etc.
D. Mechanical engineering will be made much more interdisciplinary with these.
E. These fragments are more evolved in the ongoing industrial revolution.
F. It includes materials, mechanics, thermodynamics, fluid mechanics, and manufacturing.

Which of the following sentences will be the first sentence after rearrangement?

Detailed Solution for PFRDA Assistant Manager Phase 1 Mock Test - 2 (Paper 1) - Question 15

The correct arrangement is BAFECD.

Sentence B is the only suitable sentence to introduce the theme which is ‘mechanical engineering’. Thus, it is the first sentence. Sentence A should follow sentence B as it elaborates the definition of ‘mechanical engineering’.

For the third place, sentence F is the best fit because it mentions about the various sections which constitute mechanical engineering, sentence E stating ‘these fragments’ is an obvious supporting statement to sentence F. Thus, F and E should be placed as the third and fourth sentences respectively.

Sentence C should be placed just after E, as it explains how the present industrial revolution (stated in E) uses various technologies. Thus, C is the fifth sentence. Lastly, the pronoun ‘these’ stated in D makes it a perfect conclusion because ‘these’ is the replacement of noun phrase ‘key technologies’ mentioned in C.

Sentence B will be the first sentence.

Hence, the correct answer is option D.

PFRDA Assistant Manager Phase 1 Mock Test - 2 (Paper 1) - Question 16

Directions: Rearrange the following five sentences A, B, C, D and E in the proper sequence to form a meaningful paragraph and then answer the question given beside.
A. Such was the respect she garnered for her medal-winning exploits at the Asian level.

B. Additionally, it busts the patriarchy inherent in many sports hierarchies across India.

C. After she retired from track-and-field, she evolved as a coach, groomed fresh talent and kept an eye on the grassroots.

D. Decades ago, when P.T. Usha travelled by the Madras-Mangalore Mail, her employers, the Railways, permitted an unscheduled stop at her hometown Payyoli in North Kerala.

E. Her latest appointment as president of the Indian Olympic Association (IOA) comes with a surfeit of goodwill.

What will be the position of statement B after the rearrangement of sentences?

Detailed Solution for PFRDA Assistant Manager Phase 1 Mock Test - 2 (Paper 1) - Question 16

The correct sequence of the sentences will be: DACEB

Hence, the correct answer is option C.

Common Explanation:

The passage is about PT Usha becoming the president of Indian Olympic Association. The passage also talks about the respect and glory she enjoyed after she won medals at the Asian level. The first statement will be statement D which mentions an incident that happened years ago when PT Usha was travelling by Madras-Mangalore Mail and the train stopped at her hometown just for her. The next statement will be statement A which mentions that she earned huge respect due to her wins at the Asian level. Statement C will be the next statement and it mentions that when PT Usha retired from sports, she became a coach and trained young talent.

The next statements bring the passage to the present and mention that her latest appointment as the president of IOA comes as a goodwill. Statement B complements this when it mentions that this appointment busts the patriarchy in sports hierarchies in India.

The correct sequence of the sentences will be: DACEB

PFRDA Assistant Manager Phase 1 Mock Test - 2 (Paper 1) - Question 17

Directions: In the given question, a word has been mentioned and there are three ways in which the word has been used in either similar or different ways. You are required to check which of the sentences have correctly used the highlighted word, and mark that as your answer. 

Vulnerable

I. The students were in a vulnerable position since they did not have any other alternative.
II. The new home is meant for vulnerable youths and adults who are in need of love and care.
III. Sachin Tendulkar saw India off from that vulnerable position to a thumping victory over the world champion Australia in the Tri-nation tournament. 

Detailed Solution for PFRDA Assistant Manager Phase 1 Mock Test - 2 (Paper 1) - Question 17

Sentence I: The students in a vulnerable position since they did not have any other alternative. Here, the word ‘vulnerable’ has been used in the sense that the students were exposed to the possibility of being attached or harmed, physically or emotionally.

Sentence II: The new home is meant for vulnerable youths and adults who are in need of love and care.  Here, the word ‘vulnerable’ means people with a very weak bent of mind and in need of special attention and care.

Sentence III: Sachin Tendulkar saw India off from that vulnerable position to a thumping victory over the world champion Australia in the Tri-nation tournament.  ‘Vulnerable’ refers to weak here. It means India were in a weak position initially from where they cruised to victory thanks to Sachin Tendulkar.

So, all the sentences are correct and that makes option E the correct choice. 

PFRDA Assistant Manager Phase 1 Mock Test - 2 (Paper 1) - Question 18

Directions: In each of the questions below, a sentence is given with one word highlighted in underline. From the given options, identify the sentence which expresses a meaning opposite to the given sentence, with the highlighted word replaced by a word of the opposite meaning.

They have removed provisions related to adultery in the Indian Penal Code and the Code of Criminal Procedure.

Detailed Solution for PFRDA Assistant Manager Phase 1 Mock Test - 2 (Paper 1) - Question 18

The bold word "remove" means to get rid of or to end something. Synonyms: Stop, Abolish, End Antonyms: Initiate, Incorporate, Add Clearly option C incorporate(to form or constitute) expresses the opposite meaning of the given sentence.

Hence option C is correct. 

PFRDA Assistant Manager Phase 1 Mock Test - 2 (Paper 1) - Question 19

Find out whether there is any grammatical error in below sentence.

Everyone knows / that the leopard is / faster / of all animals.

Detailed Solution for PFRDA Assistant Manager Phase 1 Mock Test - 2 (Paper 1) - Question 19

Change, of all animals → than any other animal

In a comparative degree THAN is used. Also, the term of comparison must exclude the things compared by use of OTHER.

PFRDA Assistant Manager Phase 1 Mock Test - 2 (Paper 1) - Question 20

Find out whether there is any grammatical error in below sentence.

None of two girls / who were present / appeared to be inclined / to listen to sane advice.

Detailed Solution for PFRDA Assistant Manager Phase 1 Mock Test - 2 (Paper 1) - Question 20

Change, None into Neither

None is used in reference for more than two. In reference to two 'neither' is used.

PFRDA Assistant Manager Phase 1 Mock Test - 2 (Paper 1) - Question 21

Directions: Study the given information carefully to answer the question that follows:

There are two companies A and B. Both companies produce all the four different products viz. Televisions, Refrigerators, Air Conditioners, and Microwaves. Company A produces a total of 450 products. The ratio of the total products produced by Company A and Company B is 9 : 7. 20% of the products produced by Company B are Televisions and 30% are Microwaves. One-fifth of the remaining products produced by Company B are Air Conditioners. 50% of the products produced by Company A are Refrigerators and 20% are Microwaves. One-third of the remaining products produced by Company A are Air Conditioners.

What is the ratio of the number of Microwaves produced by Company B to that by Company A?

Detailed Solution for PFRDA Assistant Manager Phase 1 Mock Test - 2 (Paper 1) - Question 21

Required ratio = 105 : 90 = 7 : 6

PFRDA Assistant Manager Phase 1 Mock Test - 2 (Paper 1) - Question 22

Directions: Study the given information carefully to answer the question that follows:

There are two companies A and B. Both companies produce all the four different products viz. Televisions, Refrigerators, Air Conditioners, and Microwaves. Company A produces a total of 450 products. The ratio of the total products produced by Company A and Company B is 9 : 7. 20% of the products produced by Company B are Televisions and 30% are Microwaves. One-fifth of the remaining products produced by Company B are Air Conditioners. 50% of the products produced by Company A are Refrigerators and 20% are Microwaves. One-third of the remaining products produced by Company A are Air Conditioners.

What is the difference between the number of Microwaves produced by Company B and the number of Televisions produced by Company A?

Detailed Solution for PFRDA Assistant Manager Phase 1 Mock Test - 2 (Paper 1) - Question 22

Required difference = 105 - 90 = 15

PFRDA Assistant Manager Phase 1 Mock Test - 2 (Paper 1) - Question 23

Study the following information carefully and answers the questions given below.

In a country a total of 6600 cars launched in two categories SUVs and Sedan available in four variants – Petrol, Diesel, Electric and Hydrogen. The ratio of the total number of SUVs cars and Sedan cars are 11 : 9. The number of SUVs of Petrol variant is 60 less than 2/11 of the total number of SUVs. The number of SUVs of Electric variant is 1/4th more than the number of SUVs of Petrol variant. The number of SUVs of Diesel variant is 250 more than the number of Sedans in Electric variant. Total number of Sedans of Diesel variant and Hydrogen variant is 1420. Total number of cars of Petrol variant is 1300. Number of Diesel Sedan is 250 less than the number of Electric Sedan. Number of SUVs of Hydrogen variant is 80 more than 30 10/33% of the total number of SUVs

Find the number of Petrol SUVs and Electric SUVs together are what percentage of the total number of SUVs? (Approximately).

Detailed Solution for PFRDA Assistant Manager Phase 1 Mock Test - 2 (Paper 1) - Question 23
Total number of cars = 6600

Number of SUVs = 6600 × 11/20 =>3630

So, number of Sedans = 6600 – 3360 =>2970

Number of Petrol SUVs = 3630 × 2/11 – 60 =>600

Total number of Petrol cars = 1300

So, number of Petrol Sedan = 1300 – 600 => 700

Number of Hydrogen SUVs = 3630 × 1000/3300 + 80 => 1180

Number of Electric SUVs = 600 + (600 × 1/4) =>750

Number of Diesel SUVs = 3630 – (600 + 750 + 1180)

= 3630 –2530 =>1100

Number of Electric Sedan = 1100 – 250 => 850

Number of Diesel Sedan = 850 – 250 => 600

Number of Hydrogen Sedan = 2970 – (700 + 850 + 600)

= 2970 – 2150 => 820

Answer: A

Number of Petrol SUVs and Electric SUVs together is = 600 + 750 => 1350

Total number of SUVs = 3630

So, the required percentage is = 1350/3630 × 100 ≈ 37%

Hence, the required answer is = 37%.

PFRDA Assistant Manager Phase 1 Mock Test - 2 (Paper 1) - Question 24

Study the following information carefully and answers the questions given below.

In a country a total of 6600 cars launched in two categories SUVs and Sedan available in four variants – Petrol, Diesel, Electric and Hydrogen. The ratio of the total number of SUVs cars and Sedan cars are 11 : 9. The number of SUVs of Petrol variant is 60 less than 2/11 of the total number of SUVs. The number of SUVs of Electric variant is 1/4th more than the number of SUVs of Petrol variant. The number of SUVs of Diesel variant is 250 more than the number of Sedans in Electric variant. Total number of Sedans of Diesel variant and Hydrogen variant is 1420. Total number of cars of Petrol variant is 1300. Number of Diesel Sedan is 250 less than the number of Electric Sedan. Number of SUVs of Hydrogen variant is 80 more than 30 10/33% of the total number of SUVs

Find the ratio of the number of Petrol SUVs and Diesel SUVs together to the number of Sedans in the same variant together?

Detailed Solution for PFRDA Assistant Manager Phase 1 Mock Test - 2 (Paper 1) - Question 24
Total number of cars = 6600

Number of SUVs = 6600 × 11/20 =>3630

So, number of Sedans = 6600 – 3360 =>2970

Number of Petrol SUVs = 3630 × 2/11 – 60 =>600

Total number of Petrol cars = 1300

So, number of Petrol Sedan = 1300 – 600 => 700

Number of Hydrogen SUVs = 3630 × 1000/3300 + 80 => 1180

Number of Electric SUVs = 600 + (600 × 1/4) =>750

Number of Diesel SUVs = 3630 – (600 + 750 + 1180)

= 3630 –2530 =>1100

Number of Electric Sedan = 1100 – 250 => 850

Number of Diesel Sedan = 850 – 250 => 600

Number of Hydrogen Sedan = 2970 – (700 + 850 + 600)

= 2970 – 2150 => 820

Answer: E

Number of Petrol SUVs and Diesel SUVs together is = 600 + 1100 => 1700

Number of Petrol Sedan and Diesel Sedan together is = 700 + 600 => 1300

So, the required ratio is = 1700 : 1300 => 17 : 13.

Hence, the required answer is = 17 : 13.

PFRDA Assistant Manager Phase 1 Mock Test - 2 (Paper 1) - Question 25

Study the following information carefully and answers the questions given below.

In a country a total of 6600 cars launched in two categories SUVs and Sedan available in four variants – Petrol, Diesel, Electric and Hydrogen. The ratio of the total number of SUVs cars and Sedan cars are 11 : 9. The number of SUVs of Petrol variant is 60 less than 2/11 of the total number of SUVs. The number of SUVs of Electric variant is 1/4th more than the number of SUVs of Petrol variant. The number of SUVs of Diesel variant is 250 more than the number of Sedans in Electric variant. Total number of Sedans of Diesel variant and Hydrogen variant is 1420. Total number of cars of Petrol variant is 1300. Number of Diesel Sedan is 250 less than the number of Electric Sedan. Number of SUVs of Hydrogen variant is 80 more than 30 10/33% of the total number of SUVs

Find the Hydrogen Sedan and Electric Sedan together is what percentage of the number of SUVs of Petrol and Diesel variant together? (Upto 2 decimal point)

Detailed Solution for PFRDA Assistant Manager Phase 1 Mock Test - 2 (Paper 1) - Question 25
Total number of cars = 6600

Number of SUVs = 6600 × 11/20 => 3630

So, number of Sedans = 6600 – 3360 => 2970

Number of Petrol SUVs = 3630 × 2/11 – 60 => 600

Total number of Petrol cars = 1300

So, number of Petrol Sedan = 1300 – 600 => 700

Number of Hydrogen SUVs = 3630 × 1000/3300 + 80 => 1180

Number of Electric SUVs = 600 + (600 × 1/4) => 750

Number of Diesel SUVs = 3630 – (600 + 750 + 1180)

= 3630 –2530 =>1100

Number of Electric Sedan = 1100 – 250 => 850

Number of Diesel Sedan = 850 – 250 => 600

Number of Hydrogen Sedan = 2970 – (700 + 850 + 600)

= 2970 – 2150 => 820

Answer: B

For question 10:

Number of Hydrogen Sedan and Electric Sedan is = 820 + 850 =>1670

Number of Petrol SUVs and Diesel SUVs is = 600 + 1100 => 1700

So, the required percentage is = 1670/1700 × 100 = 98%

Hence, the required answer is = 98%.

PFRDA Assistant Manager Phase 1 Mock Test - 2 (Paper 1) - Question 26

Study the following information carefully and answers the questions given below.

Quantity I: Find the volume of the cone whose diameter is 24 cm and the height of the cone is 54.2 cm?

Quantity II: Find the volume of the sphere, whose diameter is of the length 25 cm.

Detailed Solution for PFRDA Assistant Manager Phase 1 Mock Test - 2 (Paper 1) - Question 26
Quantity I

Diameter of the cone is = 24 cm

So, the radius of the cone is = 24/2 => 12 cm

And the height of the cone is = 54.2 cm

Now, Volume of the cone is = (1/3) × πr2h

= 1/3 × 22/7 × 12 × 12 × 54.2

= 8176.45 cm3.

Hence, the required answer is = 8176.45 cm3.

Quantity II:

Diameter of the sphere is = 25 cm.

So, the radius of the sphere is = 25/2 => 12.5 cm

Now, Volume of the sphere is = (4/3) × πr3

= 4/3 × 22/7 × 12.5 × 12.5 × 12.5

= 8184.52 cm3.

Hence, the required answer is = 8184.52 cm3.

Hence, Quantity I < Quantity II.

PFRDA Assistant Manager Phase 1 Mock Test - 2 (Paper 1) - Question 27

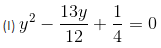
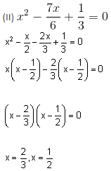
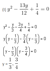
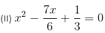
Directions: In the following question, two equations numbered I and II are given. You have to solve both the equations and give the answer.

Detailed Solution for PFRDA Assistant Manager Phase 1 Mock Test - 2 (Paper 1) - Question 27

No relation between x and y

PFRDA Assistant Manager Phase 1 Mock Test - 2 (Paper 1) - Question 28

Following questions contain two statements as statement I and statement II. You have to determine which statement/s is/are necessary to answer the question and give answer.

A box contains 20 gloves of three different colours red, green and blue. If two gloves are picked from the bag. Then find what will be the probability that one glove is green and other glove is blue?

Statement I: The probability of choosing two green gloves from the box is 1/19.

Statement II: The ratio of the red gloves to blue gloves is 2 : 3 respectively.

Detailed Solution for PFRDA Assistant Manager Phase 1 Mock Test - 2 (Paper 1) - Question 28
Let the number of green gloves = x

From I:

Probability of choosing two green gloves = 1/19

So, according to the question,

= (xc2)/(20c2) = 1/19

= (xc2)/(190) = 1/19

= 5c2/190 = 1/19

= 10/190 = 1/19

= 1/19 = 1/19

So, the value of x = 5

Thus, the number of green gloves = 5.

Now number of red and blue gloves = 20 – 5 = 15

From II:

Number of blue gloves is = 15 × 3/5 => 9

Thus, the required probability is = [(5c1) × (9c1)]/20c2

= (5 × 9)/(10 × 19) =>9/38.

Hence, Both Statement I and Statement II together are necessary to answer the question.

Hence, option e) is the correct answer.

PFRDA Assistant Manager Phase 1 Mock Test - 2 (Paper 1) - Question 29

Container X contains 141.7 litres of milk and water in the ratio 12 : 1. Another container Y contains milk and water in the ratio of 11 : 1. If the mixtures of both the containers are mixed in another container, the respective ratio becomes 23 : 2. Find the amount of new mixture formed?

Detailed Solution for PFRDA Assistant Manager Phase 1 Mock Test - 2 (Paper 1) - Question 29
Container X contains 141.7 litres of milk and water.

So, by the using of method of allegation,

So, the ratio becomes = 325 : 300 => 13 : 12.

Let the mixture in container Y is = x

Then, according to the question,

= 141.7/x = 13/12

= x = 141.7 × 13/12

= x = 130.8

Thus, the total mixture formed is = 141.7 + 130.8 => 272.5 litres

Hence, the required answer is = 272.5 litres.

PFRDA Assistant Manager Phase 1 Mock Test - 2 (Paper 1) - Question 30

A man completes his journey of 1800 km by three modes of transportation. Ratio of the times of journey of bus, car and scooter are 3 : 1 : 4 and the ratio of the speeds are in the ratio of 1 : 5 : 3 respectively. If his final average speed is 25 km/hr then find the difference between the distance covered by car and scooter?

Detailed Solution for PFRDA Assistant Manager Phase 1 Mock Test - 2 (Paper 1) - Question 30
Total distance travelled = 1800 km

Average speed of travelling = 25 km/hr

So, the total time taken is = 1800/25 =>72 hours

Time taken by bus = 72 × 3/8 = 27 hours

Time taken by car = 72 × 1/8 = 9 hours

Time taken by scooter = 72 × 4/8 = 36 hours

Let speed of the bus, car and scooter are x, 5x and 3x respectively.

Then, according to the question,

= (x × 27) + (5x × 9) + (3x × 36) = 1800

= 27x + 45x + 108x = 1800

= 180x + 1800

= x = 10 hours

So, the distance travelled by car = 5 × 10 × 9 => 450 km

And, the distance travelled by scooter = 3 × 10 × 36 => 1080 km

Thus, the required difference is = 1080 – 450 =>630 km

Hence, the required answer is = 630 km.

View more questions
Information about PFRDA Assistant Manager Phase 1 Mock Test - 2 (Paper 1) Page
In this test you can find the Exam questions for PFRDA Assistant Manager Phase 1 Mock Test - 2 (Paper 1) solved & explained in the simplest way possible. Besides giving Questions and answers for PFRDA Assistant Manager Phase 1 Mock Test - 2 (Paper 1), EduRev gives you an ample number of Online tests for practice
Download as PDF