Karnataka Police SI (KSP SI) Exam  >  Karnataka Police SI (KSP SI) Tests  >  Karnataka Police SI (KSP SI) Mock Test - 4 - Karnataka Police SI (KSP SI) MCQ

Karnataka Police SI (KSP SI) Mock Test - 4 - Karnataka Police SI (KSP SI) MCQ


Test Description

30 Questions MCQ Test - Karnataka Police SI (KSP SI) Mock Test - 4

Karnataka Police SI (KSP SI) Mock Test - 4 for Karnataka Police SI (KSP SI) 2025 is part of Karnataka Police SI (KSP SI) preparation. The Karnataka Police SI (KSP SI) Mock Test - 4 questions and answers have been prepared according to the Karnataka Police SI (KSP SI) exam syllabus.The Karnataka Police SI (KSP SI) Mock Test - 4 MCQs are made for Karnataka Police SI (KSP SI) 2025 Exam. Find important definitions, questions, notes, meanings, examples, exercises, MCQs and online tests for Karnataka Police SI (KSP SI) Mock Test - 4 below.
Solutions of Karnataka Police SI (KSP SI) Mock Test - 4 questions in English are available as part of our course for Karnataka Police SI (KSP SI) & Karnataka Police SI (KSP SI) Mock Test - 4 solutions in Hindi for Karnataka Police SI (KSP SI) course. Download more important topics, notes, lectures and mock test series for Karnataka Police SI (KSP SI) Exam by signing up for free. Attempt Karnataka Police SI (KSP SI) Mock Test - 4 | 100 questions in 90 minutes | Mock test for Karnataka Police SI (KSP SI) preparation | Free important questions MCQ to study for Karnataka Police SI (KSP SI) Exam | Download free PDF with solutions
Karnataka Police SI (KSP SI) Mock Test - 4 - Question 1

Divide 13,680 in three parts such that 1st part is th of the third part and the ratio between 2nd and 3rd part is 4:7. How much is the first part?

Detailed Solution for Karnataka Police SI (KSP SI) Mock Test - 4 - Question 1

Let 1st , 2nd and 3rd part be A,B and C.

=35....(i)

=47....(ii)

multiply (i) by 7 & (ii) by 5

A:B:C=21:20:35

A Part =  ×13680=Rs.3780

Karnataka Police SI (KSP SI) Mock Test - 4 - Question 2

20 pens and 46 pencils were purchased for Rs. 235. If the average price of a pencil is Rs. 2.50 then calculate the average price (in Rs.) of a pen.

Detailed Solution for Karnataka Police SI (KSP SI) Mock Test - 4 - Question 2

Let average price of a pen=Rs.x

A.T.Q.

20x+46×2.5=235

20x=235-115

20x=120

x=Rs.6

Karnataka Police SI (KSP SI) Mock Test - 4 - Question 3

The average age of a class of 20 students is 18 years. If the age of the class teacher is included, the average age increases to 20 years. Find the age (in years) of the class teacher.

Detailed Solution for Karnataka Police SI (KSP SI) Mock Test - 4 - Question 3

Sum of ages of 20 students= 20 x18= 360 years

Sum of ages of 20 students and the teacher = 21 x20=420 years

Class Teacher’s age=420 -360=60 years

Karnataka Police SI (KSP SI) Mock Test - 4 - Question 4

Who was the first scientist to be awarded two Nobel Prizes?

Detailed Solution for Karnataka Police SI (KSP SI) Mock Test - 4 - Question 4

Marie Curie was the first person to win two Nobel Prizes, and is one of only two people in the history of the Nobels to win in two different fields. She and her husband Pierre, along with Henri Becquerel, won the Physics Prize in 1903 for their discovery of radioactivity.

Karnataka Police SI (KSP SI) Mock Test - 4 - Question 5

Find the unit digit in the given product  (4211)102×(361)52

Detailed Solution for Karnataka Police SI (KSP SI) Mock Test - 4 - Question 5

The power of both the unit digits (4211)102×(361)52  are 1 which remains 1 for any value of power .

Hence the unit digit of product is 1.

Karnataka Police SI (KSP SI) Mock Test - 4 - Question 6

The ‘Ek Bharat Shrestha Bharat Parv’ is organized by _________ under the Ministry of Human Resource Development (HRD).

Detailed Solution for Karnataka Police SI (KSP SI) Mock Test - 4 - Question 6

The Education Ministry of the Delhi Government

Karnataka Police SI (KSP SI) Mock Test - 4 - Question 7

Which among the following river is also known as ‘Tsangpo’?

Detailed Solution for Karnataka Police SI (KSP SI) Mock Test - 4 - Question 7

The Brahmaputra River, also called Yarlung Tsangpo in Tibetan language, originates on the Angsi Glacier located on the northern side of the Himalayas in Burang Country of Tibet

Karnataka Police SI (KSP SI) Mock Test - 4 - Question 8

What is the name of the asteroid that causes Geminid meteor shower display around 15 December of every year?

Detailed Solution for Karnataka Police SI (KSP SI) Mock Test - 4 - Question 8

3200 Phaethon, provisional designation 1983 TB, is an Apollo asteroid with an orbit that brings it closer to the Sun than any other named asteroid

Karnataka Police SI (KSP SI) Mock Test - 4 - Question 9

Find the value of ? 6732.8+673.28+67.328+6.7328+0.67328 ?

Detailed Solution for Karnataka Police SI (KSP SI) Mock Test - 4 - Question 9

6732.8

  673.28

    67.328 

      6.7328

+    0.67328

---------------

7480.81408

Karnataka Police SI (KSP SI) Mock Test - 4 - Question 10

Which of the following branch of biology is related with study of heredity and variations?

Detailed Solution for Karnataka Police SI (KSP SI) Mock Test - 4 - Question 10

Genetics – branch of biology that deals with heredity and variation of organisms.

Microbiology - study of microorganisms.

Immunology - study of immune systems in all organisms.

Entomology - the scientific study of insects.

Karnataka Police SI (KSP SI) Mock Test - 4 - Question 11

Due to which of the following reasons a necessity becomes a demand?

Detailed Solution for Karnataka Police SI (KSP SI) Mock Test - 4 - Question 11

Purchase will

Karnataka Police SI (KSP SI) Mock Test - 4 - Question 12

......... is probably the largest group of animals.

Detailed Solution for Karnataka Police SI (KSP SI) Mock Test - 4 - Question 12

Phylum Arthropoda is the largest of all the phyla of animals according to the number of species in this particular group. Arthropods are characterized as animals with jointed legs and a hard external skeleton made of chitin. Animals in this group include spiders, insects and crustaceans.

Karnataka Police SI (KSP SI) Mock Test - 4 - Question 13

Who was the author of Mandasore inscription?

Detailed Solution for Karnataka Police SI (KSP SI) Mock Test - 4 - Question 13

Vatsabhatta was the author of Mandasore inscription.

Karnataka Police SI (KSP SI) Mock Test - 4 - Question 14

In a match, average of runs scored by 5 players s 49. If the runs scored by four players are 75, 30, 62 and 21 respectively, then how many runs did the 5th player had scored ?

Detailed Solution for Karnataka Police SI (KSP SI) Mock Test - 4 - Question 14

Total sum scored by 5 players = 49 x 5=245

Runs scored by 4 players = 75+30+62+21=188

Runs scored by 5th player = 245-188=57

Karnataka Police SI (KSP SI) Mock Test - 4 - Question 15

If the six digit number 15x1y2 is divisible by 44, then(x+y) is equal to:

Detailed Solution for Karnataka Police SI (KSP SI) Mock Test - 4 - Question 15

15x1y2 is divisible by 44 only when it is divisible by 4 and 11 both.

it is divisible by 4 when y=1, 3, 5, 7 and 9.

(1+x+y)-(2+1+5) is divisible by 11

x+y-7

It is divisible by 11 when x+y=7

Karnataka Police SI (KSP SI) Mock Test - 4 - Question 16

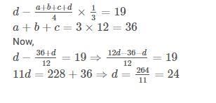
Four different positive numbers are written in ascending order. One-third of the average of all the four numbers is 19 less than the greatest of these numbers. If the average of the first three numbers is 12, the greatest number among the given number is:

Detailed Solution for Karnataka Police SI (KSP SI) Mock Test - 4 - Question 16

Karnataka Police SI (KSP SI) Mock Test - 4 - Question 17

The speed of the boat in still water sis 6km/hr. If it takes time four times to go upward than downward. The speed of the current:

Detailed Solution for Karnataka Police SI (KSP SI) Mock Test - 4 - Question 17

Speed of the boat in still water= 6km/hr

Let the distance = d

=t   ............i

=4t .............ii

 Divide eqn i by ii

=

=

y=3.6km/hr

Karnataka Police SI (KSP SI) Mock Test - 4 - Question 18

Rs 18200 is divided among X, Y and Z in the ratio of  What is the share (in Rs) of X?

Detailed Solution for Karnataka Police SI (KSP SI) Mock Test - 4 - Question 18

X : Y : Z  =

LCM of 3, 4, 2 = 12,

X : Y : Z  =

∴   X : Y : Z = 4 : 3 : 6

Share of X  =×18200

= Rs. 5600

Karnataka Police SI (KSP SI) Mock Test - 4 - Question 19

Who among the following summons both the houses?

Detailed Solution for Karnataka Police SI (KSP SI) Mock Test - 4 - Question 19

The president of India can summon joint session of the Parliament in case of a deadlock between the Lok Sabha and the Rajya Sabha during the passage of Ordinary Legislation, when it's passed in either houses, or no houses or More than 6 months elapse from the date of the reception of the Bill by the other House without the Bill being passed by it

Karnataka Police SI (KSP SI) Mock Test - 4 - Question 20

Who is the father of 'Utilitarian School of Thought'?

Detailed Solution for Karnataka Police SI (KSP SI) Mock Test - 4 - Question 20

Utilitarian school of thought is the philosophy of Jeremy Banthem. It is the theory about right and wrong actions. It states that morally best action is the one that makes the most overall happy. 

Karnataka Police SI (KSP SI) Mock Test - 4 - Question 21

When International Day for the Eradication of Poverty is observed?

Detailed Solution for Karnataka Police SI (KSP SI) Mock Test - 4 - Question 21

The main objective of this day is to create awareness about the efforts being made to eradicate poverty from the world community. The International Poverty Eradication Day was announced by the United Nations on 22 October 1992.

Karnataka Police SI (KSP SI) Mock Test - 4 - Question 22

Directions : In each of the following questions a statement is given, followed by two conclusions. Give answer :

Statement : "You are hereby appointed as a programmer with a probation period of one year and your performance will be reviewed at the end of the period for confirmation." - A line in an appointment letter.

Assumptions :

I. The performance of an individual generally is not known at the time of appointment offer. 

II. Generally an individual tries to prove his worth in the probation period.

Detailed Solution for Karnataka Police SI (KSP SI) Mock Test - 4 - Question 22

The performance of the individual has to be tested over a span of time as the statement mentions. So, I is implicit. The statement mentions that the individual's worth shall be reviewed (during probation period) before confirmation. So, II is also implicit.

Karnataka Police SI (KSP SI) Mock Test - 4 - Question 23

Which word does NOT belong with the others?

Detailed Solution for Karnataka Police SI (KSP SI) Mock Test - 4 - Question 23

Tyre, steering wheel, and engine are all parts of a car.

Karnataka Police SI (KSP SI) Mock Test - 4 - Question 24

Directions : In each of the following, a series is given with one term missing. Choose the correct alternative from the given ones that will complete the series.

ELFA, GLHA, ILJA, _____, MLNA

Detailed Solution for Karnataka Police SI (KSP SI) Mock Test - 4 - Question 24

The second and forth letters in the series, L and A, are static. The first and third letters consist of an alphabetical order beginning with the letter E.

Karnataka Police SI (KSP SI) Mock Test - 4 - Question 25

Who won the Best Director award at IFFI 2019?

Detailed Solution for Karnataka Police SI (KSP SI) Mock Test - 4 - Question 25

Lijo Jose Pellissery, Director of Jallikattu has won the ‘Best Director Award’ at IFFI 2019. The award carries a Silver Peacock trophy, a citation and a cash prize worth Rs 15 lakh.

Karnataka Police SI (KSP SI) Mock Test - 4 - Question 26

Directions : In each of the following, a series is given with one term missing. Choose the correct alternative from the given ones that will complete the series.

SCD, TEF, UGH, ____, WKL

Detailed Solution for Karnataka Police SI (KSP SI) Mock Test - 4 - Question 26

There are two alphabetical series here. The first series is with the first letters only: STUVW. The second series involves the remaining letters: CD, EF, GH, IJ, KL.

Karnataka Police SI (KSP SI) Mock Test - 4 - Question 27

Which day World Teachers Day is celebrated?

Detailed Solution for Karnataka Police SI (KSP SI) Mock Test - 4 - Question 27

World Teachers Day 2019 is being celebrated across the globe with a theme – Young Teachers: The future of the Profession. UNESCO said that youngsters should come forward to take this profession. It has been observed in recent times that incidents of violence against teachers have been increased across the globe.

Karnataka Police SI (KSP SI) Mock Test - 4 - Question 28

Which rule will decide a winner during a tie match as per the new ICC rule?

Detailed Solution for Karnataka Police SI (KSP SI) Mock Test - 4 - Question 28

As per the ICC’s new rule, if both teams score equal runs then a super over will decide the winner. It was also announced by ICC that super over will continue until one team emerged as a winner.

Karnataka Police SI (KSP SI) Mock Test - 4 - Question 29

A woman started walking towards west. After walking 6 km, she turned towards left and walked 9 km. she again turned right and walked 13 km. Finally she turned left and walked 5 km. In which direction she is from starting point?

Detailed Solution for Karnataka Police SI (KSP SI) Mock Test - 4 - Question 29

Karnataka Police SI (KSP SI) Mock Test - 4 - Question 30

What will come at the place of question mark ?

125, 80, 45, 20, ?

Detailed Solution for Karnataka Police SI (KSP SI) Mock Test - 4 - Question 30

The pattern is - 45, - 35, - 25, .....

So, missing term = 20 - 15 = 5.

View more questions
Information about Karnataka Police SI (KSP SI) Mock Test - 4 Page
In this test you can find the Exam questions for Karnataka Police SI (KSP SI) Mock Test - 4 solved & explained in the simplest way possible. Besides giving Questions and answers for Karnataka Police SI (KSP SI) Mock Test - 4, EduRev gives you an ample number of Online tests for practice
Download as PDF