Karnataka Police SI (KSP SI) Exam  >  Karnataka Police SI (KSP SI) Tests  >  Karnataka Police SI (KSP SI) Mock Test - 6 - Karnataka Police SI (KSP SI) MCQ

Karnataka Police SI (KSP SI) Mock Test - 6 - Karnataka Police SI (KSP SI) MCQ


Test Description

30 Questions MCQ Test - Karnataka Police SI (KSP SI) Mock Test - 6

Karnataka Police SI (KSP SI) Mock Test - 6 for Karnataka Police SI (KSP SI) 2025 is part of Karnataka Police SI (KSP SI) preparation. The Karnataka Police SI (KSP SI) Mock Test - 6 questions and answers have been prepared according to the Karnataka Police SI (KSP SI) exam syllabus.The Karnataka Police SI (KSP SI) Mock Test - 6 MCQs are made for Karnataka Police SI (KSP SI) 2025 Exam. Find important definitions, questions, notes, meanings, examples, exercises, MCQs and online tests for Karnataka Police SI (KSP SI) Mock Test - 6 below.
Solutions of Karnataka Police SI (KSP SI) Mock Test - 6 questions in English are available as part of our course for Karnataka Police SI (KSP SI) & Karnataka Police SI (KSP SI) Mock Test - 6 solutions in Hindi for Karnataka Police SI (KSP SI) course. Download more important topics, notes, lectures and mock test series for Karnataka Police SI (KSP SI) Exam by signing up for free. Attempt Karnataka Police SI (KSP SI) Mock Test - 6 | 100 questions in 90 minutes | Mock test for Karnataka Police SI (KSP SI) preparation | Free important questions MCQ to study for Karnataka Police SI (KSP SI) Exam | Download free PDF with solutions
Karnataka Police SI (KSP SI) Mock Test - 6 - Question 1

The Ryotwari settlement was introduced in the year____?

Detailed Solution for Karnataka Police SI (KSP SI) Mock Test - 6 - Question 1

Ryotwari System was introduced by Thomas Munro in 1820. Major areas of introduction include Madras, Bombay, parts of Assam and Coorgh provinces of British India. In Ryotwari System the ownership rights were handed over to the peasants.

Karnataka Police SI (KSP SI) Mock Test - 6 - Question 2

Finance Minister Nirmala Sitharaman released a special commemorative coin on _____ to mark his 125th Birth Anniversary on 29th October.

Detailed Solution for Karnataka Police SI (KSP SI) Mock Test - 6 - Question 2

Finance Minister Nirmala Sitharaman released a special commemorative coin on Paramhansa Yogananda who is known as the Father of Yoga in the West, to mark his 125th Birth Anniversary.

Karnataka Police SI (KSP SI) Mock Test - 6 - Question 3

What number should be subtracted from  x3+4x2−7x+12 to make it perfectly divisible by x+3 ?

Detailed Solution for Karnataka Police SI (KSP SI) Mock Test - 6 - Question 3

For  x3+4x2−7x+12  to be divisible by  x+3 ,

remainder should be zero when divisible by  x+3

⇒x+3=0

So,  x=−3  substitued in the given polynomial 

At  x=−3

x3+4x2−7x+12=(−3)3+4(−3)2−7(−3)+12

x3+4x2−7x+12=42

Hence 42 must be subtracted from the given polynomial to make it perfectly divisible by  x+3

Karnataka Police SI (KSP SI) Mock Test - 6 - Question 4

What is the cover amount for partial disability in Pradhan Mantri Suraksha Bima Yojana?

Detailed Solution for Karnataka Police SI (KSP SI) Mock Test - 6 - Question 4
  • Pradhan Mantri Suraksha Bima Yojana (PMSBY) is an accident insurance scheme, which offers a one-year accidental death and disability cover, which can be renewed annually.
  • The cover is for a one-year period, starting June 1 to May 31 of subsequent year.
  • Under PMSBY, the risk coverage available is Rs 2 lakh for accidental death and permanent total disability, and Rs 1 lakh for permanent partial disability. Anyone from the age-bracket of 18-70 years can avail the benefit and get enrolled. The annual premium is Rs. 12.
Karnataka Police SI (KSP SI) Mock Test - 6 - Question 5

Sum of twice a fraction and 5 times its reciprocal is 7. what is the fraction ?

Detailed Solution for Karnataka Police SI (KSP SI) Mock Test - 6 - Question 5

Karnataka Police SI (KSP SI) Mock Test - 6 - Question 6

Which kind of decisions are usually based on careful calculation of gains and losses?

Detailed Solution for Karnataka Police SI (KSP SI) Mock Test - 6 - Question 6

Prudential decisions requires care and forethought especially in business. 

Karnataka Police SI (KSP SI) Mock Test - 6 - Question 7

ICC Test Player of the year 2018 was awarded to _____.

Detailed Solution for Karnataka Police SI (KSP SI) Mock Test - 6 - Question 7

ICC Test Player of the year 2018 was awarded to Virat Kohli.

Karnataka Police SI (KSP SI) Mock Test - 6 - Question 8

K purchased a table for Rs. 11,000 and sold it for Rs. 13,500. What is his gain in percentage?

Detailed Solution for Karnataka Police SI (KSP SI) Mock Test - 6 - Question 8

cost price of table = Rs. 11,000

selling price of table = Rs. 13,500

gain =Rs, 13,500-Rs, 11,000

gain=Rs.2,500

gain%= ×100

gain% =×100

gain% = 22.7%

Karnataka Police SI (KSP SI) Mock Test - 6 - Question 9

What is the minimum base rate fixed by RBI?

Detailed Solution for Karnataka Police SI (KSP SI) Mock Test - 6 - Question 9

The Reserve Bank of India sets a minimum rate below which banks in India are not allowed to lend to their customers. This minimum rate is called the Base Rate in banking terms. The new Base Rate as fixed by RBI is in the range of 8.95% - 9.40% p.a.

Karnataka Police SI (KSP SI) Mock Test - 6 - Question 10

10 dozen apples, 15 dozen mangoes, 20 dozen oranges were kept for sale. If each of them were sold, 1/2, 1/3 and 1/4 the fruit sold, then how many fruits have left?

Detailed Solution for Karnataka Police SI (KSP SI) Mock Test - 6 - Question 10

Total number of apples =120

Total number of mangoes =180

And the total number of oranges =240

Total number of fruits =120+180+240=540

Number of apples sold =60

Number of mangoes sold =60

And the number of oranges sold =60

Then the fruits left =540-180=360

Karnataka Police SI (KSP SI) Mock Test - 6 - Question 11

'Amar Shonar Bangla' the national anthem of Bangladesh was composed by whom?

Detailed Solution for Karnataka Police SI (KSP SI) Mock Test - 6 - Question 11

Rabindra Nath Tagore was the only person to have written national anthem for two countries - India and Bangladesh. 

Jana mana gana - India 

Amar shonar Bangla- Bangladesh 

Karnataka Police SI (KSP SI) Mock Test - 6 - Question 12

Who is considered the greatest of the early Chola kings?

Detailed Solution for Karnataka Police SI (KSP SI) Mock Test - 6 - Question 12

Karikala is considered the greatest of the early Chola kings. Karikala was a Chola king who ruled in southern India during the Sangam period. He is recognised as the greatest of the Early Cholas.Karikala's Chola garnered great wealth in trade with the Roman empire. He used that wealth to fund his military campaigns and to build his cities. He is reputed to have decorated the capital city of Kanchipuram with gold. He earned lasting fame by building dikes along the banks of Kaveri. He built the Grand Anaicut, the oldest dam in the world, and irrigation canals as well as tanks. His innovations and projects with irrigation greatly aiding agriculture in his kingdom.

Karnataka Police SI (KSP SI) Mock Test - 6 - Question 13

To what power -3 should be raised to get -2187?

Detailed Solution for Karnataka Police SI (KSP SI) Mock Test - 6 - Question 13

To what power -3 should be raised to get -2187?

(−3)7=2187

Hence power will be 7

Karnataka Police SI (KSP SI) Mock Test - 6 - Question 14

A boy goes to park from home 500 meter in 5 minutes. and return in 7 min utes his average speed is :

Detailed Solution for Karnataka Police SI (KSP SI) Mock Test - 6 - Question 14

Average Speed = 

Karnataka Police SI (KSP SI) Mock Test - 6 - Question 15

Famous Battle of Ten Kings was fought on the bank of the river

Detailed Solution for Karnataka Police SI (KSP SI) Mock Test - 6 - Question 15

Famous Battle of Ten Kings was fought on the bank of the river Parushni

Karnataka Police SI (KSP SI) Mock Test - 6 - Question 16

A current of 0.8A is drawn by a filament of an electric bulb for 3 minutes. Then the charge flowing through the circuit is____ c.

Detailed Solution for Karnataka Police SI (KSP SI) Mock Test - 6 - Question 16

I=0.8 A

t=3 min=3×60=180 s

Total charge flown=Q

I=

⇒Q=I×t=0.8×180=144 C

Karnataka Police SI (KSP SI) Mock Test - 6 - Question 17

Groundnuts are the source of which of the following acids?

Detailed Solution for Karnataka Police SI (KSP SI) Mock Test - 6 - Question 17

Groundnuts grown in India have about 55% oleic acid, about 25% linoleic acid and around 10% palmitic acid, whereas in the U.S., several groundnut varieties have 80% oleic acid and just 2-3% linoleic acid.

Karnataka Police SI (KSP SI) Mock Test - 6 - Question 18

The full form of DNA is___

Detailed Solution for Karnataka Police SI (KSP SI) Mock Test - 6 - Question 18

Deoxyribonucleic acid, or DNA, is a molecule that contains the instructions an organism needs to develop, live and reproduce.

These instructions are found inside every cell, and are passed down from parents to their children.

Karnataka Police SI (KSP SI) Mock Test - 6 - Question 19

Three pipes A,B and C secrates three different chemicals X,Y and Z. These pipes can fill a tank in 20,25 and 40 minutes. If all pipes are open together for 10 min. then what will be the ratio of Chemical Y in tank ?

Detailed Solution for Karnataka Police SI (KSP SI) Mock Test - 6 - Question 19

Three pipes A,B and C secrates three different chemicals X,Y and Z. These pipes can fill a tank in 20,25 and 40 minutes.

LCM of 20,25 and 40 is the capacity of the tank=200unit

One minute filling of A=10unit

One minute filling of B=8unit

One minute filling of C=5unit

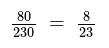
When all pipes open together for 10 minutes then total filling=23x10=230

Filling of Chemical Y by B=80

 ratio of Chemical Y in tank =

Karnataka Police SI (KSP SI) Mock Test - 6 - Question 20

Which of the following bill does not need prior recommendation of president?

Detailed Solution for Karnataka Police SI (KSP SI) Mock Test - 6 - Question 20

Constitution amendment bill can be presented in either house of the parliament without prior recommendation of president

Karnataka Police SI (KSP SI) Mock Test - 6 - Question 21

ZA5, Y4B, XC6, W3D, _____

Detailed Solution for Karnataka Police SI (KSP SI) Mock Test - 6 - Question 21

There are three series to look for here. The first letters are alphabetical in reverse: Z, Y, X, W, V. The second letters are in alphabetical order, beginning with A. The number series is as follows: 5, 4, 6, 3, 7.

Karnataka Police SI (KSP SI) Mock Test - 6 - Question 22

Which Indian player has become the first Indian athlete to qualify for Tokyo Olympics 2020 in individual competition?

Detailed Solution for Karnataka Police SI (KSP SI) Mock Test - 6 - Question 22

India’s Avinash Sable has become first Indian athlete who qualified for Tokyo Olympics 2020 in an individual competition. The qualifying mark for Tokyo Olympic was 8.25.23 minutes while Avinash finished 8.22.51 minutes.

Karnataka Police SI (KSP SI) Mock Test - 6 - Question 23

Which state assembly is scheduled to host 3-day Commonwealth Youth Parliament?

Detailed Solution for Karnataka Police SI (KSP SI) Mock Test - 6 - Question 23

Delhi Assembly is hosting a three-day Commonwealth Youth Parliament from November 25, 2019.The Youth Parliament will have over 47 participants from 24 Commonwealth countries including 11 participants from India. Lok Sabha Speaker Om Birla will be the Chief Guest of the event.

Karnataka Police SI (KSP SI) Mock Test - 6 - Question 24

A, B, C, D and E play a game of cards. A says to B, "If you give me three cards, you will have as many as E has and if I give you three cards, you will have as many as D has." A and B together have 10 cards more than what D and E together have. If B has two cards more than what C has and the total number of cards be 133, how many cards does B have ?

Detailed Solution for Karnataka Police SI (KSP SI) Mock Test - 6 - Question 24

Clearly, we have :

B - 3 = E ...(i)

B + 3 = D ...(ii)

A+B = D + E+10 ...(iii)

B = C + 2 ...(iv)

A+B + C + D + E= 133 ...(v)

From (i) and (ii), we have : 2 B = D + E ...(vi)

From (iii) and (vi), we have : A = B + 10 ...(vii)

Using (iv), (vi) and (vii) in (v), we get:

(B + 10) + B + (B - 2) + 2B = 133 ⇔ 5B = 125 ⇔ B = 25.

Karnataka Police SI (KSP SI) Mock Test - 6 - Question 25

Water has been discovered on which potentially habitable super-Earth?

Detailed Solution for Karnataka Police SI (KSP SI) Mock Test - 6 - Question 25

Water has been detected by scientists in the atmosphere of a potentially habitable super-Earth. The exoplanet, named K2-18b, is twice the size and eight times the mass of Earth. K2-18b is the first planet outside the solar system in the habitable zone of its star known to have water in its atmosphere.

Karnataka Police SI (KSP SI) Mock Test - 6 - Question 26

Book : Cover :: Painting : ?

Detailed Solution for Karnataka Police SI (KSP SI) Mock Test - 6 - Question 26

Cover is used to protect book in same way and frame is use to protect painting.

Karnataka Police SI (KSP SI) Mock Test - 6 - Question 27

The total of the ages of Amar, Akbar and Anthony is 80 years. What was the total of their ages three years ago ?

Detailed Solution for Karnataka Police SI (KSP SI) Mock Test - 6 - Question 27

Required sum = (80 - 3 x 3) years = (80 - 9) years = 71 years.

Karnataka Police SI (KSP SI) Mock Test - 6 - Question 28

In the series 2, 6, 18, 54, ...... what will be the 8th term ?

Detailed Solution for Karnataka Police SI (KSP SI) Mock Test - 6 - Question 28

Clearly, 2 x 3 = 6, 6 x 3 = 18, 18 x 3 = 54,.....

So, the series is a G.P. in which a = 2, r = 3.

Therefore 8th term = ar8-1 = ar7 = 2 x 37 = (2 x 2187) = 4374.

Karnataka Police SI (KSP SI) Mock Test - 6 - Question 29

Float : Sink :: Boat : ?

Detailed Solution for Karnataka Police SI (KSP SI) Mock Test - 6 - Question 29

Float means above water and sink means under water. In same way, Boat floats on water and submarine moves under water.

Karnataka Police SI (KSP SI) Mock Test - 6 - Question 30

A number of friends decided to go on a picnic and planned to spend Rs. 96 on eatables. Four of them, however, did not turn up. As a consequence, the remaining ones had to contribute Rs. 4 each extra. The number of those who attended the picnic was

Detailed Solution for Karnataka Police SI (KSP SI) Mock Test - 6 - Question 30

View more questions
Information about Karnataka Police SI (KSP SI) Mock Test - 6 Page
In this test you can find the Exam questions for Karnataka Police SI (KSP SI) Mock Test - 6 solved & explained in the simplest way possible. Besides giving Questions and answers for Karnataka Police SI (KSP SI) Mock Test - 6, EduRev gives you an ample number of Online tests for practice
Download as PDF