DSSSB TGT/PGT/PRT Exam  >  DSSSB TGT/PGT/PRT Tests  >  DSSSB Junior Clerk Mock Test Series 2026  >  DSSSB Junior Clerk Mock Test - 4 - DSSSB TGT/PGT/PRT MCQ

DSSSB Junior Clerk Mock Test - 4 - DSSSB TGT/PGT/PRT MCQ


Test Description

30 Questions MCQ Test DSSSB Junior Clerk Mock Test Series 2026 - DSSSB Junior Clerk Mock Test - 4

DSSSB Junior Clerk Mock Test - 4 for DSSSB TGT/PGT/PRT 2026 is part of DSSSB Junior Clerk Mock Test Series 2026 preparation. The DSSSB Junior Clerk Mock Test - 4 questions and answers have been prepared according to the DSSSB TGT/PGT/PRT exam syllabus.The DSSSB Junior Clerk Mock Test - 4 MCQs are made for DSSSB TGT/PGT/PRT 2026 Exam. Find important definitions, questions, notes, meanings, examples, exercises, MCQs and online tests for DSSSB Junior Clerk Mock Test - 4 below.
Solutions of DSSSB Junior Clerk Mock Test - 4 questions in English are available as part of our DSSSB Junior Clerk Mock Test Series 2026 for DSSSB TGT/PGT/PRT & DSSSB Junior Clerk Mock Test - 4 solutions in Hindi for DSSSB Junior Clerk Mock Test Series 2026 course. Download more important topics, notes, lectures and mock test series for DSSSB TGT/PGT/PRT Exam by signing up for free. Attempt DSSSB Junior Clerk Mock Test - 4 | 200 questions in 120 minutes | Mock test for DSSSB TGT/PGT/PRT preparation | Free important questions MCQ to study DSSSB Junior Clerk Mock Test Series 2026 for DSSSB TGT/PGT/PRT Exam | Download free PDF with solutions
DSSSB Junior Clerk Mock Test - 4 - Question 1

Sourabh Verma is related to which game ?

Detailed Solution for DSSSB Junior Clerk Mock Test - 4 - Question 1

Key Points
Saurabh Verma:

  • Sourabh Verma is related to Badminton.
  • Sourabh Verma is a pro badminton player representing India.
  • He is a three-time men's singles title winner at the Indian National Championships.
  • Verma achieved a career-high world ranking of No. 28 in December 2019.
  • Sourabh Verma began his career in badminton at a young age introduced by his father Sudhir Verma.

Some important Badminton Championships:

  • All England Open
  • World Badminton Championship
  • BWF World Junior Championship
DSSSB Junior Clerk Mock Test - 4 - Question 2

Which article provides power to the President to call a joint sitting of both the houses of the Parliament?

Detailed Solution for DSSSB Junior Clerk Mock Test - 4 - Question 2

Key Points

Joint seating of both the houses of the Parliament:​

  • The joint sitting is called by the President.
  • To pass any bill, both the Houses must concur. The bill has to be passed by both Houses before the President can give his/her assent.
  • If after a bill is passed by one House and the other House rejects the bill, then the President can summon a joint sitting unless the bill has elapsed.
  • Article 108 of the Indian Constitution provides for a joint sitting of both Houses of Parliament.
  • Article 102 - Disqualifications for membership of Parliament.
    • A person shall be disqualified for being chosen as, and for being, a member of either House of Parliament.
    • A person shall be disqualified for being a member of either House of Parliament if he is so disqualified under the Tenth Schedule.
  • Article 123 - Power of President to promulgate Ordinances during recess of Parliament.
    • An Ordinance issued under this article shall have the same force and effect as an Act of Parliament, but every such Ordinance.
    • If and so far as an Ordinance under this article makes any provision which Parliament would not under this Constitution be competent to enact.
  • Article 213 - Power of Governor to promulgate Ordinances during recess of Legislative Assembly.​
    • An ordinance issued under this article as an Act of Legislature of the State assented to by the Governor, but every such Ordinance.
DSSSB Junior Clerk Mock Test - 4 - Question 3

The Brahmo Samaj was founded by:

Detailed Solution for DSSSB Junior Clerk Mock Test - 4 - Question 3

The Brahmo Samaj was founded by Raja Rammohan Roy.

Key Points

  • It was founded in Calcutta in 1828 by Ram Mohan Roy as Brahmo Sabha.
  • The Brahmo Samaj was a monotheistic sect of Hinduism
  • The samaj was dedicated to the "worship and adoration of the Eternal, the Unsearchable, the Immutable Being, who is the Author and Preserver of the Universe".
  • The Samaj was open to all without distinction of color, creed, caste, nation, or religion.
  • It denounced polytheism, image worship, and the caste system.
  • It also discarded meaningless Hindu rituals.
  • Raja Rammohun Roy is also called the father of the Indian renaissance.
DSSSB Junior Clerk Mock Test - 4 - Question 4

Which Chola ruler was popularly called ‘Victor of the Ganges’?

Detailed Solution for DSSSB Junior Clerk Mock Test - 4 - Question 4

Rajendra Chola I was popularly called ‘Victor of the Ganges’.

Key Points

Rajendra I (1014 AD-1044 AD):

  • He conquered Orissa, Bengal, Burma and Andaman and Nicobar islands.
  • The Chola dynasty was at its zenith during his reign.
  • Rajendra I also assumed the title of ‘Gangaikonda Cholam’ and built a city called Gangaikonda Cholapuram.
  • Rajendra I conquered complete Sri Lanka and made Anuradhapura his capital.
  • He defeated the Pala king Mahipala and took the title of Gangaikonda Cholam.
  • He also built the Cholamandalam Lake and the city of Gangikonda Cholapuram.
  • He won the Java, Sumatra and Malaya areas from the Shailendra king.

The Chola Empire (850 AD-1279 AD):

  • Capital: Tanjore, Gangaikonda Cholapuram.
  • The founder of the Chola dynasty was Vijayalaya, who was at first a feudatory of the Pallavas.
  • He captured Tanjore in 850 AD.
  • The ancient capital of Cholas was Palyarai.
  • Vijayalaya revived the Chola Empire in the 9th century AD.
    • He took the title of ‘Narkesari’.
DSSSB Junior Clerk Mock Test - 4 - Question 5

The PM of which country resigned in June 2021, one week after he lost a vote of confidence?

Detailed Solution for DSSSB Junior Clerk Mock Test - 4 - Question 5

Key Points

  • Sweden's Prime Minister Stefan Lofven resigned on 28 June 2021, one week after he lost a vote of confidence.
  • He could have either called a snap election or resigned following the no-confidence vote.
  • Kjell Stefan Löfven served as the Prime Minister of Sweden since 2014 and was the leader of the Swedish Social Democratic Party since 2012.
DSSSB Junior Clerk Mock Test - 4 - Question 6

Select the option that is related to the third number in the same way as the second number is related to the first number.

18 : 306 : : 19 : ?

Detailed Solution for DSSSB Junior Clerk Mock Test - 4 - Question 6

The logic followed here is :

Second number = (First number)2 - (First number)

For 18 : 306,

182 -18 = 324 -18 = 306.

Similarly,

For 19 : ?,

192 - 19 = 361 - 19 = 342.

Hence, the correct answer is "342".

DSSSB Junior Clerk Mock Test - 4 - Question 7
Three of the following four options are alike in a certain way and one is different. Select the odd one.
Detailed Solution for DSSSB Junior Clerk Mock Test - 4 - Question 7

Volt is the S.I. unit of potential difference.

Watt is the S.I. unit of power.

Ohm is the S.I. unit of resistance.

While an Ammeter is an instrument that measures current.

Hence, Ammeter is the correct answer.

DSSSB Junior Clerk Mock Test - 4 - Question 8

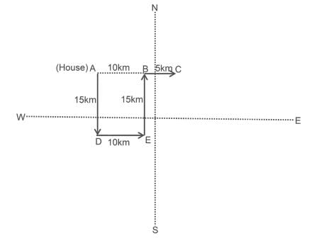
Niharika cycled 15km towards south from her house. Then she turned to her left and cycled 10km. She then turned to her left and cycled 15km. She again turned to her right and cycled 5km. At what distance is she from her house and in which direction.

Detailed Solution for DSSSB Junior Clerk Mock Test - 4 - Question 8

The diagram below shows the path followed by Niharika:

So, the distance from her home to her final point = AC = AB + BC = 10 + 5 = 15km and her final point is in East direction.

Hence, "15km East" is the correct answer.

DSSSB Junior Clerk Mock Test - 4 - Question 9
If 17 $ 22 = 4 and 56 $ 13 = 7, then find the value of 71 $ 25 = ?
Detailed Solution for DSSSB Junior Clerk Mock Test - 4 - Question 9

The logic is:

17 $ 22 = (1 + 7) - (2 + 2) = 8 - 4 = 4

56 $ 13 = (5 + 6) - (1 + 3) = 11 - 4 = 7

Similarly,

71 $ 25 = (7 + 1) - (2 + 5) = 8 - 7 = 1

Hence, '1' is the correct answer.

DSSSB Junior Clerk Mock Test - 4 - Question 10

Choose the wrong one from the following.

Detailed Solution for DSSSB Junior Clerk Mock Test - 4 - Question 10

The Logic here is as follows:

Earthquakes, Volcanos, and Tsunami are types of Natural disasters.

Whereas, Global warming is not a part of a Natural disaster and is caused by climate change.

Hence, the correct answer is "Global Warming".

DSSSB Junior Clerk Mock Test - 4 - Question 11

A alone can complete the work in 15 days while B alone can complete the work in 10 days. After 4 days they leave and the rest of the work is completed by C. If the total work is completed in 10 days. Find the number of days in which C alone can complete the work.

Detailed Solution for DSSSB Junior Clerk Mock Test - 4 - Question 11

Given:

A can complete a work in 15 days

B can complete the work in 10 days

Calculation:

A's 1 day's work = 1/15

B's 1 day's work = 1/10

(A + B)'s 1 days work = 1/15 + 1/10 = 1/6

(A + B)'s 4 days work = 4/6 = 2/3

Remaining work after 4 days = 1 - 2/3 = 1/3

Remaining work completed by C in = 10 - 4 = 6 days

C's 1 days work = 1/3 × 1/6 = 1/18

∴ C alone can complete the work in 18 days.

Alternate Method

Let the total work be the LCM of (15, 10) i.e 30 units

So the efficiency of A = 30/15 = 2 units/day

And the efficiency of B = 30/10 = 3 units/day

A and B work for 4 days and will complete work = (3 + 2) × 4 = 20 units

Remaining work = 30 - 20 = 10 units

This work will be done by C in days = 10 - 4 = 6 days

So the efficiency of C = 10/6 = 5/3

∴ Total time taken by C to complete whole work = 30/(5/3) = 18 days

DSSSB Junior Clerk Mock Test - 4 - Question 12

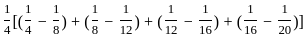
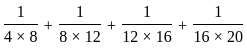
The sum of the first 4 terms of _____ is:

Detailed Solution for DSSSB Junior Clerk Mock Test - 4 - Question 12

Calculation:

Alternate Method

Each term is in the form

⇒ for the fourth term n = 4

⇒ The fourth term should be

The series will become

⇒ 1/4 x (1/4 - 1/20)

⇒ 1/4 x 4/20

⇒ 1/20

∴ The required sum of the first four terms of the series is 1/20.

DSSSB Junior Clerk Mock Test - 4 - Question 13

A and B lent a total of Rs.2787 at 15% compound interest, compounded annually. The amount A gets at the end of 3 years is same as B gets at the end of 5 years. Find the amount A lent.

Detailed Solution for DSSSB Junior Clerk Mock Test - 4 - Question 13

Given

A and B lent Rs.2787 at 15% compound interest, compounded annually. The amount A gets at the end of 3 years is same as B gets at the end of 5 years

Concept used

Amount = Principal (1 + R/100)n

Calculation

Let A and B lent P and P' amount

As per the question

P + P' = 2787

P (1 + 3/20)3 = P'(1 + 3/20)5

P/P′ = (1 + 3/20)2

P/P′ = (23/20)2

P/P′ = 529/400

529x + 400x = 2787

929x = 2787

x = 3

A lent 529 × 3 = Rs.1587

DSSSB Junior Clerk Mock Test - 4 - Question 14
The average price of 16 different books is Rs. 18. While the average price of 14 of these books is Rs. 16.50 and of the remaining two books, if the price of one is 50% of the other, then the price of these two books is (in rupees)
Detailed Solution for DSSSB Junior Clerk Mock Test - 4 - Question 14

Given:

Average price of 16 books = Rs. 18

Average price of 14 books = Rs. 16.50

Price of one of remaining book = 50% of price of another remaining book

Concept used:

Average = Total sum of observation/Number of observations

Calculation:

As we know that

Average = Total sum of observation/Number of observations

Total price of 16 books = Rs. 18 × 16

⇒ Rs. 288

Total price of 14 books = Rs. 16.50 × 14

⇒ Rs. 231

Total Price of remaining books = Total price of 16 books - Total price of 14 books

⇒ Rs. (288 - 231)

⇒ Rs. 57

Now, Let the price of one of remaining book be x

Price of another remaining book = 50% of x

⇒ x/2

According to the question

x + (x/2) = Rs. 57

⇒ 3x/2 = 57

⇒ x = (57 × 2)/3

⇒ x = Rs. 38

Price of another remaining book = 38/2

⇒ Rs. 19

∴ The prices of books are Rs. 19 and Rs. 38.

DSSSB Junior Clerk Mock Test - 4 - Question 15
Himanshu borrowed a sum of Rs. 4000 from the bank at 12% per annum on simple interest for 2 years. If Himanshu lends the same sum to his friends at 15% per annum on compound interest for the same year, then find how much gain Himanshu got in the whole transaction.
Detailed Solution for DSSSB Junior Clerk Mock Test - 4 - Question 15

Given

Principal = Rs. 4000

Time = 2 years

Formula Used

Simple Interest = (principal × rate × interest)/100

Amount = Principal(1 + R/100)t

Amount = Principal + interest

Calculation

From 1st condition,

Simple Interest = (Principal × rate × interest)/100

⇒ Simple interest = (4000 × 12 × 2)/100

⇒ Simple Interest = 40 × 24 = Rs. 960

from 2nd condition

⇒ Amount = 4000(1 + 15/100)2

⇒ Amount = 4000 × (23/20) × (23/20)

⇒ Amount = Rs. 5290

Interest from 2nd condition = 5290 – 4000 = Rs. 1290

Himanshu gained = Rs. 1290 – Rs. 960 = Rs. 330

∴ Himanshu's gain in whole transaction is Rs. 330

DSSSB Junior Clerk Mock Test - 4 - Question 16

‘मन चंगा तो कठौती में गंगा’ कैसा वाक्य है?

Detailed Solution for DSSSB Junior Clerk Mock Test - 4 - Question 16

‘मन चंगा तो कठौती में गंगा’, मिश्र वाक्य है। अतः इसका सही उत्तर विकल्प 3 होगा। अन्य विकल्प सही नहीं हैं।

स्पष्टीकरण:

मिश्र वाक्य: जिस वाक्य में एक से अधिक वाक्य मिले हों, किन्तु एक प्रधान उपवाक्य तथा शेष आश्रित उपवाक्य हों, मिश्रित वाक्य कहलाता है।
जैसे: वह औरत जो पार्क में बैठी हैं मेरी मौसी हैं।

अन्य विकल्प:

DSSSB Junior Clerk Mock Test - 4 - Question 17

निम्न में गरल का विलोम है।

Detailed Solution for DSSSB Junior Clerk Mock Test - 4 - Question 17

गरल का विलोम सुधा है, अतः विकल्प (4) सही है।

  • गरल का अर्थ जहर या विष होता है।
  • सुधा का अर्थ अमृत होता है

अन्य विकल्प

DSSSB Junior Clerk Mock Test - 4 - Question 18

‘अधिक दिनों तक जीने वाला’ के लिए शब्द बताइये।

Detailed Solution for DSSSB Junior Clerk Mock Test - 4 - Question 18

ऊपर दिए गए विकल्पों में से 'चिरंजीवी' इसका सही उत्तर है।

  • अधिक दिनों तक जीने वाला’ के लिए शब्द ‘चिरंजीवी’ है।
  • चिरंजीवी’ के पर्यायवाची - जीवी, ताम्रोपजीवी, दीर्घजीवी, दुःखजीवी

अन्य विकल्प -

वाक्यांश- भाषा को सुंदर, आकर्षक और प्रभावशाली बनाने के लिए अनेक शब्दों के स्थान पर एक शब्द का प्रयोग किया जाता है तो वह वाक्यांश के लिए एक शब्द कहलाता है।

DSSSB Junior Clerk Mock Test - 4 - Question 19

निम्नलिखित प्रश्न में, चार विकल्पों में से, उस विकल्प का चयन करें जो दिए गए पद का सबसे उचित सामासिक-विग्रह पद है।

रातों रात

Detailed Solution for DSSSB Junior Clerk Mock Test - 4 - Question 19

अव्ययीभाव समास: जिसका पहला पद अव्यय होता है और उसका अर्थ प्रधान होता है। (उसमें कोई परिवर्तन नहीं किया जा सकता)
उदाहरण:
जन्म से लेकर = आजन्म
मति के अनुसार = यथामति

विशेष:
समास
: दो या दो से अधिक शब्दों से मिलकर बने हुए एक नवीन एवं सार्थक शब्द को समास कहते हैं।
इसके निम्नलिखित छ: भेद हैं:

  1. अव्ययीभाव समास
  2. तत्पुरुष समास
  3. कर्मधारय समास
  4. द्विगु समास
  5. द्वंद्व समास
  6. बहुब्रीहि समास
DSSSB Junior Clerk Mock Test - 4 - Question 20

दिए गए विकल्पों में ‘मनचाहा’ में कौन सा समास होगा?

Detailed Solution for DSSSB Junior Clerk Mock Test - 4 - Question 20

उपर्युक्त विकल्पों में से ‘मनचाहा’ में तत्पुरुष समास होगा। अन्य विकल्प असंगत हैं। अत: इसका सही उत्तर विकल्प 3 ‘तत्पुरुष समास है।

प्रमुख बिंदु
‘मनचाहा’ अर्थात ‘मन से चाहा’। यहाँ ‘से’ विभक्ति का लोप होने का करण तत्पुरुष समास होगा। अन्य विकल्प असंगत हैं।

DSSSB Junior Clerk Mock Test - 4 - Question 21

छुट्टी हुई और बच्चे भागने लगेयह वाक्य अव्यय के कौन-से भेद का उदाहरण है?

Detailed Solution for DSSSB Junior Clerk Mock Test - 4 - Question 21

जो शब्द दो शब्दों, वाक्यों और वाक्यांशों को जोड़ते हैं उन्हें समुच्चयबोधक अव्यय कहते हैं। यह अविकारी होते हैं। इन्हें योजक भी कहा जाता है। ये शब्द दो वाक्यों को परस्पर जोड़ते हैं। उपर्युक्त वाक्य में और शब्द प्रयुक्त हुआ है जो कि समुच्चयबोधक अव्यय है। अतः सही विकल्प समुच्चयबोधक अव्यय है।

समुच्चयबोधक अव्यय - जहाँ पर और, तथा, लेकिन, इसलिए, अथवा, चाहे, यदि, आदि, यानि, तथापि आते हैं वहाँ पर समुच्चयबोधक अव्यय होता है।

अन्य विकल्प

DSSSB Junior Clerk Mock Test - 4 - Question 22

पर्यायवाची युग्म के संदर्भ में कौन सा सही नहीं है?

Detailed Solution for DSSSB Junior Clerk Mock Test - 4 - Question 22

दिए गए विकल्पों में से सही उत्तर विकल्प 2 'स्वर्ण - हिम है। अन्य विकल्प इसके गलत उत्तर हैं।

  • दिए गए विकल्पों में से पर्यायवाची का अनुचित युग्म 'स्वर्ण - हिम' है।
  • स्वर्ण के अन्य पर्यायवाची शब्द हैं - कंचन, कनक, हेम, कुंदन, तपनीय, महारजत, सोना
  • हिम के पर्यायवाची शब्द हैं - बरफ़, तुषार, ठंडा।
  • अन्य सभी युग्म सही हैं।

अन्य विकल्प:

DSSSB Junior Clerk Mock Test - 4 - Question 23

निम्नलिखित में कौन सा विकल्प सरल वाक्य का है?

Detailed Solution for DSSSB Junior Clerk Mock Test - 4 - Question 23

‘बच्चे क्रिकेट खेलते हैं‘ एक सरल वाक्य है क्योंकि इसमें एक ही क्रिया एवं एक ही कर्ता है।

DSSSB Junior Clerk Mock Test - 4 - Question 24

Direction: Select the word that is closest in meaning (SYNONYM) to the word given below.

Voracious

Detailed Solution for DSSSB Junior Clerk Mock Test - 4 - Question 24

The correct answer is option 3 i.e. Insatiable.Key PointsThe meaning of the given word voracious is very eager for something, especially a lot of food.
Let's see the meanings of the given options:

  • Abstemious- not doing things which give you pleasure, especially not eating good food or drinking alcohol
  • Squeamish- easily upset or shocked by things which you find unpleasant
  • Insatiable- too great to be satisfied
  • Dainty- small, delicate and often moving in a careful way

According to the meanings of the given options, it is clear that insatiable is closest in meaning. So, it is the right answer.

DSSSB Junior Clerk Mock Test - 4 - Question 25

Directions: Spot the erroneous parts, if any, in the following sentences:

(a) I'd rather have / (b) laser eyes surgery / (c) go wrong./ (d) No error.

Detailed Solution for DSSSB Junior Clerk Mock Test - 4 - Question 25

The correct answer is '(b)'.

Key Points

  • The error lies in Part (b) of the sentence.
  • 'Eyes' is a noun but in this sentence, it is qualifying the word 'surgery'.
  • Therefore, in this sentence, 'eyes' is used as an adjective.
  • When a noun is used as an adjective, it is used in the singular form.
    • Example: They are going for laser eye surgery.
  • Therefore, the use of 'eyes' in Part (b) of the sentence should be replaced by 'eye' to make it grammatically correct.
  • Hence, the correct answer is '(b)'.

Correct sentence: I'd rather have laser eye surgery go wrong.​

DSSSB Junior Clerk Mock Test - 4 - Question 26

In the following question, out of the four alternatives, select the alternative which will improve the underlined part of the sentence. In case no improvement is needed, select “No improvement”.

We drove past my old college, who is celebrating its 50th anniversary this year.
Detailed Solution for DSSSB Junior Clerk Mock Test - 4 - Question 26

Key Points

  • ​The pronouns that connect a clause or phrase to a noun or a pronoun, is called a relative pronoun.
  • The most common relative pronouns are:
    • who, whom, whose, which, that.
  • Example:
    • We don’t know the person who donated this money.
    • You need to tick the box which says yes.​
  • ​We use 'who' in relative clauses to refer to people, and sometimes to pet animals. (refer to the above example)
  • We use 'which' in relative clauses to refer to animals and things, to introduce defining and non-defining relative clauses.
  • As per the rule given above, 'which' will be used in the underlined part of the sentence.

Correct Sentence: We drove past my old college, which is celebrating its 50th anniversary this year.​​​

We use 'which' in relative clauses to refer to animals and things.
Example: You need to tick the box which says yes.

DSSSB Junior Clerk Mock Test - 4 - Question 27

The person who first recognized Perkin's talent was-

Detailed Solution for DSSSB Junior Clerk Mock Test - 4 - Question 27

The correct answer is option 1.

  • The following is stated in the passage- "As a student at the City of London School, Perkin became immersed in the study of chemistry. His talent and devotion to the subject were perceived by his teacher, Thomas Hall, who encouraged him to attend a series of lectures given by the eminent scientist Michael Faraday at the Royal Institution."
  • It can be inferred that the person was Thomas Hall.
DSSSB Junior Clerk Mock Test - 4 - Question 28

Perkin took up the challenge of-

Detailed Solution for DSSSB Junior Clerk Mock Test - 4 - Question 28

The correct answer is option 1.

  • The following is stated in the passage- "Thus, when Hofmann made some passing comments about the desirability of a synthetic substitute for quinine, it was unsurprising that his star pupil was moved to take up the challenge."
  • Clearly, Perkin took up the challenge of making a synthetic substitute of quinine as Hofmann desired it.
DSSSB Junior Clerk Mock Test - 4 - Question 29

Directions: Fill in the blanks with the word that best completes the sentence.

He _________ the role of the organization in creating environmental awareness among the people.

Detailed Solution for DSSSB Junior Clerk Mock Test - 4 - Question 29

Key Points

  • The sentence says that how he praised the role of the organization in creating environmental awareness among the people. According to the context of the sentence, Commended is the most appropriate word for the sentence.
  • Commended(verb): To formally praise someone or something. (औपचारिक रूप से किसी की या किसी चीज की प्रशंसा करना।)
    • Example: For a low-budget film, it has much to commend it.​
      It says on the back cover of the book "highly commended".
    • Synonyms: Praise, Compliment.

From the above line, we can say that: Commended is the correct answer.

  • Let's know the meaning of other options:
  • Collaborated(verb): To work with someone else for a special purpose. (किसी विशेष उद्देश्य के लिए किसी और के साथ काम करना।)
    • ​Example: Two writers collaborated on the script for the film.
  • Commanded(noun): An order, especially one given by a soldier. (एक आदेश, विशेष रूप से एक सैनिक द्वारा दिया गया।)
    • Example: When I give the command, fire!
  • Contrasted(noun): An obvious difference between two or more things. (दो या दो से अधिक चीजों के बीच एक स्पष्ट अंतर।)
    • ​Example: I like the contrast of the white trousers with the black jacket.
DSSSB Junior Clerk Mock Test - 4 - Question 30

Select the correct antonym for the given word.

DISCOUNT

Detailed Solution for DSSSB Junior Clerk Mock Test - 4 - Question 30

Key Points

Let's look at the meaning of the given and correct option-

  • ​​Discount means a deduction from the usual cost of something.
    Example: The store announced a 20% discount on all clothing items, attracting customers looking for a good deal on their purchases.​
  • Premium means a sum added to an ordinary price or charge.
    Example: The high-quality, organic produce came at a premium price due to its superior quality and limited availability.
  • Hence from the given meanings, we find that both the words express the opposite meanings

Let's look at the meanings of the given words-

  • Concession means a thing that is granted, especially in response to demands.
    Example: The manager offered a concession to the dissatisfied customer by providing a free meal as compensation for the poor service.
  • Interest means money paid regularly at a particular rate for the use of money lent, or for delaying the repayment of a debt.
    Example: The young girl developed an interest in painting and spent hours experimenting with different colors and techniques.
  • Profit means a financial gain, especially the difference between the amount earned and the amount spent in buying, operating, or producing something.
    Example: The successful entrepreneur's business generated significant profit, allowing her to expand and invest in new ventures.​
View more questions
6 tests
Information about DSSSB Junior Clerk Mock Test - 4 Page
In this test you can find the Exam questions for DSSSB Junior Clerk Mock Test - 4 solved & explained in the simplest way possible. Besides giving Questions and answers for DSSSB Junior Clerk Mock Test - 4, EduRev gives you an ample number of Online tests for practice
Download as PDF