Electronics and Communication Engineering (ECE) Exam  >  Electronics and Communication Engineering (ECE) Tests  >  GATE Mock Test Electronics Engineering (ECE) - 4 - Electronics and Communication Engineering (ECE) MCQ

GATE Mock Test Electronics Engineering (ECE) - 4 - Electronics and Communication Engineering (ECE) MCQ


Test Description

30 Questions MCQ Test - GATE Mock Test Electronics Engineering (ECE) - 4

GATE Mock Test Electronics Engineering (ECE) - 4 for Electronics and Communication Engineering (ECE) 2025 is part of Electronics and Communication Engineering (ECE) preparation. The GATE Mock Test Electronics Engineering (ECE) - 4 questions and answers have been prepared according to the Electronics and Communication Engineering (ECE) exam syllabus.The GATE Mock Test Electronics Engineering (ECE) - 4 MCQs are made for Electronics and Communication Engineering (ECE) 2025 Exam. Find important definitions, questions, notes, meanings, examples, exercises, MCQs and online tests for GATE Mock Test Electronics Engineering (ECE) - 4 below.
Solutions of GATE Mock Test Electronics Engineering (ECE) - 4 questions in English are available as part of our course for Electronics and Communication Engineering (ECE) & GATE Mock Test Electronics Engineering (ECE) - 4 solutions in Hindi for Electronics and Communication Engineering (ECE) course. Download more important topics, notes, lectures and mock test series for Electronics and Communication Engineering (ECE) Exam by signing up for free. Attempt GATE Mock Test Electronics Engineering (ECE) - 4 | 65 questions in 180 minutes | Mock test for Electronics and Communication Engineering (ECE) preparation | Free important questions MCQ to study for Electronics and Communication Engineering (ECE) Exam | Download free PDF with solutions
GATE Mock Test Electronics Engineering (ECE) - 4 - Question 1

A 300-meter-long train passes a 450-meter-long platform in 5 sec. If a man is walking at a speed of 4 m/sec along the track and the train is 100 m away from him, how much time will it take to reach the man?

Detailed Solution for GATE Mock Test Electronics Engineering (ECE) - 4 - Question 1
The train can cover (300 + 450) m distance in 5 sec.

The speed of the train = 150 m/sec

Relative speed of the man and the train is 154 m/sec or 146 m/sec

To cover the distance of 100 m, in either of the case, it will take less than 1 second.

GATE Mock Test Electronics Engineering (ECE) - 4 - Question 2

Directions: Select the most appropriate word/phrase among the choices to complete the sentence.

You can make your quixotic experiments with someone else, I do not wish to be your ________.

Detailed Solution for GATE Mock Test Electronics Engineering (ECE) - 4 - Question 2
'Guinea pig' is term used to refer any person or thing used in an experiment. As first part of sentence refers the experiments as quixotic (impractical or daring), so perfect word suited to this blank is 'guinea pig', which is used in labs for testing on biological experiments.
GATE Mock Test Electronics Engineering (ECE) - 4 - Question 3

Which of the following word is opposite to the word “connivance”?

Detailed Solution for GATE Mock Test Electronics Engineering (ECE) - 4 - Question 3
Connivance- willingness to allow or be secretly involved in an immoral or illegal act

Conspiracy- a secret plan by a group to do something unlawful or harmful.

Sufferance - capacity to endure pain, hardship, etc.; endurance

Complot - a plot involving several participants; conspiracy

Intolerance - unwillingness or refusal to tolerate or respect persons of a different social group, especially members of a minority group

GATE Mock Test Electronics Engineering (ECE) - 4 - Question 4

If prices reduce by 20% and sales increase by 15%, what is the net effect on gross receipts?

Detailed Solution for GATE Mock Test Electronics Engineering (ECE) - 4 - Question 4
Let original price = p, and original sales = s. Therefore, original gross receipts = ps.

Let new price = 0.80p, and new sales = 1.15s. Therefore, new gross receipts = 0.92ps.

Gross receipts are only 92% of what they were. Hence, gross receipts decrease by 8%.

GATE Mock Test Electronics Engineering (ECE) - 4 - Question 5

Direction: Each statement has a blank followed by four options. Select the most appropriate word for the blank.

Guru was always able to maintain a _______ face when he said something silly, and that contrast made everyone laugh.

Detailed Solution for GATE Mock Test Electronics Engineering (ECE) - 4 - Question 5
The statement means to state that Guru had an ability to maintain a serious face while saying something silly. The biggest hint in the question is the word ‘contrast’.
GATE Mock Test Electronics Engineering (ECE) - 4 - Question 6

In a town, 48% people are educated, 51% people are young and 60% are servicemen. 24% are educated and young, 25% are young and servicemen, 27% are educated and servicemen and 5% have all the qualities. If the total number of persons in this town is 300, what is the ratio of those who have exactly two characteristics and those who have only one characteristic?

Detailed Solution for GATE Mock Test Electronics Engineering (ECE) - 4 - Question 6

GATE Mock Test Electronics Engineering (ECE) - 4 - Question 7

In the following question, two/three statements are given followed by four conclusions. You have to consider the statements to be true even if they seem to be at variance from commonly known facts. You have to decide which of the given conclusions, if any, follow from the given statements.

Statements:

  1. Some cats are owls.

  2. Some owls are elephant.

Conclusion:

  1. Some cats are elephant.

  2. All owls are elephant.

Detailed Solution for GATE Mock Test Electronics Engineering (ECE) - 4 - Question 7
Here two possibilities emerge based on statement I and II.

Conclusion I:- It cannot be said with certainty that some cats are elephants.

Conclusion II: - It cannot be said with certainty that all owls are elephants.

Hence, neither conclusion I nor II follows.

GATE Mock Test Electronics Engineering (ECE) - 4 - Question 8

Directions: Read the given context and answer the question that follows.

Most Reality TV shows centre on two common motivators: fame and money. The shows transform waitresses, hairdressers, investment bankers, counsellors and teachers, to name a few, from obscure figures to household names. A lucky few successfully parlay their fifteen minutes of fame into celebrity. The luckiest stars of Reality TV also reap huge financial rewards for acts, including eating large insects, marrying someone they barely know, and revealing their innermost thoughts to millions of people.

Which of the following options best supports the above paragraph?

Detailed Solution for GATE Mock Test Electronics Engineering (ECE) - 4 - Question 8
The correct answer is the first option as it is stated in the passage that most Reality TV shows centre on two common motivators: fame and money.

Choices 2 and 4 are not supported by the passage because passage is about Reality TV stars and not Reality TV.

Choice 3 is incorrect because the paragraph states that some Reality TV stars manage to parlay their fifteen minutes of fame into celebrity.

GATE Mock Test Electronics Engineering (ECE) - 4 - Question 9

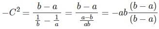
The sum of five consecutive integer is a and the sum of next five consecutive integer is b. Then, (b-a)/100 is equal to

Detailed Solution for GATE Mock Test Electronics Engineering (ECE) - 4 - Question 9
Let the five consecutive integers be x,(x + 1),(x + 2),(x + 3) and (x + 4) respectively.

Then, x + x + 1 + x + 2 + x + 3 + x + 4 = a

5x + 10 = a

a = 5x + 10

Let the next five consecutive integers be (x + 5),(x + 6),(x + 7),(x + 8) and (x + 9) respectively.

Then, x + 5 + x + 6 + x + 7 + x + 8 + x + 9 = b

5x + 35 = b

b = 5x + 35

On subtracting equation (i) from equation (ii). Then, we get, b − a = (5x + 35)−(5x + 10)

(b − a)/100 = (5x + 35)−(5x + 10)/100

(b − a)/100 = 25/100

(b - a)/100 = 1/4

GATE Mock Test Electronics Engineering (ECE) - 4 - Question 10

Directions: Insert the missing number.

Detailed Solution for GATE Mock Test Electronics Engineering (ECE) - 4 - Question 10

Middle number = (Difference between numbers of left column) × (Sum of numbers of right column)

i.e. 80 = (15 - 5) × (2 + 6) = (10) × (8) and 65 = (9 - 4) × (7 + 6) = (5) × (13)

∴ ? = (13 - 11) × (16 + 8) = 2 × 24 = 48

GATE Mock Test Electronics Engineering (ECE) - 4 - Question 11

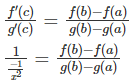
f(x) = x, g(x) = 1/x ; by using Cauchy mean value theorem mean value for the function in [a,b] will be

Detailed Solution for GATE Mock Test Electronics Engineering (ECE) - 4 - Question 11
According to Cauchy mean value theorem, the mean value 'c' is given by

Putting x=c we have

GATE Mock Test Electronics Engineering (ECE) - 4 - Question 12

The electric field of a uniform plane electromagnetic wave is:

The polarization of the wave is

Detailed Solution for GATE Mock Test Electronics Engineering (ECE) - 4 - Question 12

For finding polarization, put Z = 0 so that polarization can be seen in my plane. Let

Ez = cosωt

ω = 2π x 107 t

Ey = 4 cos(ω + π/2) = -4 sin ωt

As y direction component is multiplied by j, so it is π/2 shifted. Hence, it is left hand elliptical polarization.

GATE Mock Test Electronics Engineering (ECE) - 4 - Question 13

If A2 - A + I = 0, then the inverse of A is

Detailed Solution for GATE Mock Test Electronics Engineering (ECE) - 4 - Question 13
A2 − A + I = 0

⇒I = A − A ⋅ A

Multiplying the equation with A-

⇒A-1 = I - A

GATE Mock Test Electronics Engineering (ECE) - 4 - Question 14

In the design of a single mode step index optical fibre close to upper cut-off, the single-mode operation is not preserved if

Detailed Solution for GATE Mock Test Electronics Engineering (ECE) - 4 - Question 14
The cut off frequency is given by f = 2πa sin α/wavelength, where a is the radius of core. For a single mode step index fiber, f must lie between 0 and 2.405. Thus to get f below 2.405, the radius must be doubled and wavelength must be halved.
GATE Mock Test Electronics Engineering (ECE) - 4 - Question 15

If where x > 0, then dy/dx is

Detailed Solution for GATE Mock Test Electronics Engineering (ECE) - 4 - Question 15
If where x > 0, then dy/dx is

So we can write it as X = ey + x

Differentiate w.r. to x after taking logarithm both sides ⇒

∴ dy/dx = (1 - x)/x

GATE Mock Test Electronics Engineering (ECE) - 4 - Question 16

The value of the integral is equal to

Detailed Solution for GATE Mock Test Electronics Engineering (ECE) - 4 - Question 16

By the defining of L.T., we have

Putting s = 0,

GATE Mock Test Electronics Engineering (ECE) - 4 - Question 17

For each of the positive edge-triggered J-K flip flop used in the following figure, the propagation delay is ΔT

Which of the following waveforms correctly represents the output at Q1?

Detailed Solution for GATE Mock Test Electronics Engineering (ECE) - 4 - Question 17
Since the input to both JK flip-flop is 11, the output will change every time with clock pulse. The input to clock is

The output Q0 of first FF occurs after time ΔT and it is as shown below

The output Q1 of second FF occurs after time ΔT when it gets input (i.e. after ΔT from t1) and it is as shown below

GATE Mock Test Electronics Engineering (ECE) - 4 - Question 18

Let Gcc(s) be a PD controller. If f(t) = sin 2t, the amplitude of the frequency component of y(t) due to f(t) is

Detailed Solution for GATE Mock Test Electronics Engineering (ECE) - 4 - Question 18

If Gcc(jω) = 1 - jω, then Gcc(s) = 1 - s.

It can be understood as a PD controller.

Gcc(s) = 1 - s = KP + KDs

KP = 1 and KD = -1G(s) = (s2 + s + 1 - s) ÷ (s2 + s + 1)

G(jω) = (1 - ω2) ÷ [(1 - ω2) + jω]

If f(t) = 1 sin 2t, then by comparing it with frequency equation, we get

ω = 2 and modulus of G(j2) =

*Answer can only contain numeric values
GATE Mock Test Electronics Engineering (ECE) - 4 - Question 19

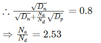
In an ideal silicon junction diode:

τn0 = τp0 = 10−7 sec

Dn = 25cm2/sec

Dp = 10cm2/sec

Then the ratia of Nd/N2 so that 80% of current in depletion region is carried by electrons is


Detailed Solution for GATE Mock Test Electronics Engineering (ECE) - 4 - Question 19
As the given condition is

80% of current in depletion region is carried by electrons then,

Jn/(Jp+Jn)=0.8−−−−(1)

On putting these values in (1), we get

GATE Mock Test Electronics Engineering (ECE) - 4 - Question 20

Consider a compensator defined as

Then, the maximum phase shift of the compensator is ____.

Detailed Solution for GATE Mock Test Electronics Engineering (ECE) - 4 - Question 20
Maximum phase shift

Gc(s) is a lead compensator

T = 0.3, βT = 0.9

Β = 1/α = 3

GATE Mock Test Electronics Engineering (ECE) - 4 - Question 21

In the given circuit, the values of V1 and V2 respectively are

Detailed Solution for GATE Mock Test Electronics Engineering (ECE) - 4 - Question 21
Perfarming Nadal analysis on the given circuit

(V2−V1)/4 = V1/4 + V1/4 + 2I

(V2 − V1)/4 = 5

since,

V1/4 = I,

I + I + 2I = 4I =5

V2 = 20 + V1

V1 = 4I = 5V

Hence, V2 = 20 + 5 = 25 V

GATE Mock Test Electronics Engineering (ECE) - 4 - Question 22

A communication channel with AWGN operating at a signal to noise ratio of SNR >> 1 and bandwidth B has capacity C1. If the SNR is doubled keeping it constant, then the resulting capacity C2 is given by

Detailed Solution for GATE Mock Test Electronics Engineering (ECE) - 4 - Question 22
We have C1 = Blog2(1 + S/N)

≈Blog2(S/N)

If we double the S/N ratio then

C2 ≈ Blog2(2S/N)

≈ Blog22 + Blog2(S/N)

≈ B + C1

GATE Mock Test Electronics Engineering (ECE) - 4 - Question 23

A filter has filter response given by h(t) = (sin(0.25πt))/πt. An input signal x(t) is applied at the input. Determine which of the signal component would be visible at the output.

x(t) = cos(0.125πt) – 2sin(0.125πt) + 0.125sin(0.5πt)

  1. cos(0.125πt)

  2. sin(0.125πt)

  3. sin(0.5πt)

Detailed Solution for GATE Mock Test Electronics Engineering (ECE) - 4 - Question 23
Here, h(t) is a sinc() function whose transform would give a rect function ranging from [-0.25π, 0.25π].

Transform of x(t) would give impulses centered at -0.125π, 0.125π, -0.5π and 0.5π.

Since the filter window is from -0.25π to 0.25π, it would allow frequencies lying between these two extremes. i.e. only -0.125π and 0.125π components would pass whereas -0.5π and 0.5π would be blocked.

Thus we will get sin(0.125πt) and cos(0.125πt) components at the output.

GATE Mock Test Electronics Engineering (ECE) - 4 - Question 24

The photo resist that is insoluble initially and becomes soluble after exposure to UV light is called

Detailed Solution for GATE Mock Test Electronics Engineering (ECE) - 4 - Question 24
A Positive Photoresist is relatively developer insoluble until exposed to light at which point the exposed portion exhibits increased developer solubility. A positive replica of the mask pattern is obtained on a layer of positive PR upon exposure to UV light.
GATE Mock Test Electronics Engineering (ECE) - 4 - Question 25

Refer the following figure to find the value of gain of the feedback circuit (feedback factor) and closed loop voltage gain respectively if R1=1kΩ and Rf = 10kΩ.

Detailed Solution for GATE Mock Test Electronics Engineering (ECE) - 4 - Question 25

This is a non-inverting feedback Amplifier. Given: R1 = 1kΩ and Rf = 10kΩ

Gain af the feedback circuit

B = 1/11

B = 0.09

Voltage Gain

GATE Mock Test Electronics Engineering (ECE) - 4 - Question 26

Choose the correct match for input resistance of various amplifier configurations shown below.

Detailed Solution for GATE Mock Test Electronics Engineering (ECE) - 4 - Question 26
For the different combinations the table is as follows

*Answer can only contain numeric values
GATE Mock Test Electronics Engineering (ECE) - 4 - Question 27

A sailor goes 12 km downstream in 48 minutes and returns in 1 hour 20 minutes. The speed of the sailor in still water is:


Detailed Solution for GATE Mock Test Electronics Engineering (ECE) - 4 - Question 27
Let the speed of sailor in still water be x kmph.

Speed of current = y kmph

∴ x + y =

=12/48 × 60 = 15 kmph

and,x − y =

=12/80 × 60 =9 kmph

Adding these equations,

2x = 15 + 9 = 24

x = 24/2 = 12 kmph

GATE Mock Test Electronics Engineering (ECE) - 4 - Question 28

A proportional plus derivative controller

  1. Has high sensitivity.
  2. Increases the stability of the system.
  3. Improves the steady-state accuracy.

Which of the above statements are correct?

Detailed Solution for GATE Mock Test Electronics Engineering (ECE) - 4 - Question 28

The additive combination of proportional & Derivative control is known as P-D control.

The overall transfer function for a PD controller is given by:

Gc(s) =U(s)/E(s) = Kp+ sKD

PD controller is nothing but a differentiator (or) a High Pass Filter.

The frequency of noise is very high.

So this high pass filter will allow noise into the system which results in noise amplification.

Effects of Proportional Derivative (PD) controllers:

  • Decreases the type of the system by one
  • Reduces the rise time and settling time
  • It has high sensitivity.
  • Rise time and settling time decreases and Bandwidth increases
  • The speed of response is increased i.e. the transient response is improved
  • Improves gain margin, phase margin, and resonant peak
  • Increases the input noise
  • Improves the stability
GATE Mock Test Electronics Engineering (ECE) - 4 - Question 29

A rectangular pulse of duration T is applied to a matched filter, output obtained out of this system would be most likely

Detailed Solution for GATE Mock Test Electronics Engineering (ECE) - 4 - Question 29
We know that matched filter for a signal s(t) is given as

h(t) = s(T - t)

Thus, we would obtain convolution of rect(t), input, and rect(T-t), response of filter, at the output. This implies output would be convolution of two rectangular pulses of duration T, this would result into triangular pulse of duration 2T.

*Answer can only contain numeric values
GATE Mock Test Electronics Engineering (ECE) - 4 - Question 30

If C is any closed path and U is a scalar function, then the value of contour integral ∮c(∇U).dl is (Answer up to the nearest integer)


Detailed Solution for GATE Mock Test Electronics Engineering (ECE) - 4 - Question 30
According to the Stoke's theorem,

LA .dl = ∫(∇ x A).ds

So, ∮c(∇U).dl = ∫[∇ x (∇U)].ds

Since, ∇ x (∇U) = 0

(curl of the gradient of a scalar field is always zero)

So, the contour integral is zero.

View more questions
Information about GATE Mock Test Electronics Engineering (ECE) - 4 Page
In this test you can find the Exam questions for GATE Mock Test Electronics Engineering (ECE) - 4 solved & explained in the simplest way possible. Besides giving Questions and answers for GATE Mock Test Electronics Engineering (ECE) - 4, EduRev gives you an ample number of Online tests for practice
Download as PDF