CAT Exam  >  CAT Tests  >  CAT Previous Year Questions : Mixtures & Alligations (June 18) - CAT MCQ

CAT Previous Year Questions : Mixtures & Alligations (June 18) - CAT MCQ


Test Description

10 Questions MCQ Test - CAT Previous Year Questions : Mixtures & Alligations (June 18)

CAT Previous Year Questions : Mixtures & Alligations (June 18) for CAT 2025 is part of CAT preparation. The CAT Previous Year Questions : Mixtures & Alligations (June 18) questions and answers have been prepared according to the CAT exam syllabus.The CAT Previous Year Questions : Mixtures & Alligations (June 18) MCQs are made for CAT 2025 Exam. Find important definitions, questions, notes, meanings, examples, exercises, MCQs and online tests for CAT Previous Year Questions : Mixtures & Alligations (June 18) below.
Solutions of CAT Previous Year Questions : Mixtures & Alligations (June 18) questions in English are available as part of our course for CAT & CAT Previous Year Questions : Mixtures & Alligations (June 18) solutions in Hindi for CAT course. Download more important topics, notes, lectures and mock test series for CAT Exam by signing up for free. Attempt CAT Previous Year Questions : Mixtures & Alligations (June 18) | 10 questions in 10 minutes | Mock test for CAT preparation | Free important questions MCQ to study for CAT Exam | Download free PDF with solutions
CAT Previous Year Questions : Mixtures & Alligations (June 18) - Question 1

A mixture P is formed by removing a certain amount of coffee from a coffee jar and replacing the same amount with cocoa powder. The same amount is again removed from mixture P and replaced with same amount of cocoa powder to form a new mixture Q. If the ratio of coffee and cocoa in the mixture Q is 16 : 9, then the ratio of cocoa in mixture P to that in mixture Q is

[2023]

Detailed Solution for CAT Previous Year Questions : Mixtures & Alligations (June 18) - Question 1

Every time 20% of the mixture is replace with a pure adulterant (here cocoa), the concentration of the mixture becomes 80% of the initial concentration.

Similarly when a proportion p of a mixture is replaced with pure adulterant, the concentration of the mixture becomes (1 - p) times the previous concentration. (0 ≤ p ≤ 1)

Initially there was pure coffee, so the strength of the mixture is 100% or 1 (in terms of proportion)
 

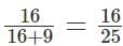
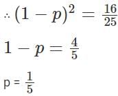
Let a proportion p of the mixture be replaced each time… Since after repeating the process twice, we have the concentration of coffee as   at the end of the two replacements.


Or, 20% of the mixture is replaced each time.

The ratio of cocoa powder in the mixture P and Q will then be 
Therefore, the ratio is 5 : 9

CAT Previous Year Questions : Mixtures & Alligations (June 18) - Question 2

A mixture contains lemon juice and sugar syrup in equal proportion. If a new mixture is created by adding this mixture and sugar syrup in the ratio 1 : 3, then the ratio of lemon juice and sugar syrup in the new mixture is

[2022]

Detailed Solution for CAT Previous Year Questions : Mixtures & Alligations (June 18) - Question 2

Lemon juice : sugar syrup in the mixture is 1:1, i.e. 50% Lemon juice and 50% sugar syrup.
In sugar syrup, 100% is sugar syrup.
These two are mixed in the ratio 1:3.

Required ratio = 50 : 350 = 1 : 7

CAT Previous Year Questions : Mixtures & Alligations (June 18) - Question 3

There are two containers of the same volume, first container half-filled with sugar syrup and the second container half-filled with milk. Half the content of the first container is transferred to the second container, and then the half of this mixture is transferred back to the first container. Next, half the content of the first container is transferred back to the second container. Then the ratio of sugar syrup and milk in the second container is

[2022]

Detailed Solution for CAT Previous Year Questions : Mixtures & Alligations (June 18) - Question 3

We know that the process of shifting half volumes is happening three times overall.

So it would be wise to assume the initial volume to be some multiple of 8 so that we don’t have to deal with fractions later on.

The ratio of Sugar Syrup to Water in the second container is 50/60 which is equal to 5:6

 

CAT Previous Year Questions : Mixtures & Alligations (June 18) - Question 4

A chemist mixes two liquids 1 and 2. One litre of liquid 1 weighs 1 kg and one litre of liquid 2 weighs 800 gm. If half litre of the mixture weighs 480 gm, then the percentage of liquid 1 in the mixture, in terms of volume, is

[2019]

Detailed Solution for CAT Previous Year Questions : Mixtures & Alligations (June 18) - Question 4

In Liquid L1 - 1L = 1000 grams
So, 1000 mL = 1000 grams
1 mL = 1 gram
x mL = x grams
In Liquid L2 - 1L = 800 grams
1000 mL = 800 grams
1mL = 0.8 grams
(500-x) mL = (500-x) x 0.8 grams
Total mass = x + 400 - 0.8x = 480 grams
0.2x = 80 grams
x = 400 grams
Therefore, Liquid 1 has 400 mL and Liquid 2 has 500 - 400 = 100 Ml
Therefore, Percentage of Liquid 1 = (400/500) x 100 = 80%

CAT Previous Year Questions : Mixtures & Alligations (June 18) - Question 5

The strength of a salt solution is p% if 100 ml of the solution contains p grams of salt. Each of three vessels A, B, C contains 500 ml of salt solution of strengths 10%, 22%, and 32%, respectively. Now, 100 ml of the solution in vessel A is transferred to vessel B. Then, 100 ml of the solution in vessel B is transferred to vessel C. Finally, 100 ml of the solution in vessel C is transferred to vessel A. The strength, in percentage, of the resulting solution in vessel A is

[2019]

Detailed Solution for CAT Previous Year Questions : Mixtures & Alligations (June 18) - Question 5

Vessels A, B and C contains salt solution of strengths 10%, 22% and 32% respectively
It is also given that the amount of salt solution = 500 ml
So, Vessels A, B and C contains salt of 50 grams, 110 grams and 160 grams respectively
100 ml of Solution is transferred from A to B:
A would have 400 ml, B would have 600 ml of solution
Amount salt from A which is transferred to B = (Initial salt amount/5) = 10 grams
So, Total salt in B = 110 + 10 = 120 grams (After first transfer)
Total salt in A = 40 grams (After first transfer)
Now, 100 ml from Vessel B is transferred to Vessel C
So similarly, (1/6)th of salt would transfer from B to C
Total Salt in B = 120 - 20 = 100 grams (After second transfer)
Total Salt in C = 160 + 20 = 180 grams (After second transfer)
Now, 100 ml from Vessel C is transferred to Vessel A
So similarly, (1/6)thof salt would transfer from C to A
Total Salt in C = 160 - 30 = 130 grams (After third transfer)
Total Salt in A = 40 + 30 = 70 grams (After third transfer)
So, Vessel A contains 70 grams Salt in 500 ml solution
Strength of Salt Solution in Vessel A = 14%

CAT Previous Year Questions : Mixtures & Alligations (June 18) - Question 6

A trader sells 10 litres of a mixture of paints A and B, where the amount of B in the mixture does not exceed that of A. The cost of paint A per litre is Rs. 8 more than that of paint B. If the trader sells the entire mixture for Rs. 264 and makes a profit of 10%, then the highest possible cost of paint B, in Rs. per litre, is

[2018]

Detailed Solution for CAT Previous Year Questions : Mixtures & Alligations (June 18) - Question 6

Given, The amount of B in mixture ≤ Amount of A in mixture
Selling Price = Rs. 264 and Profit = 10 %
264 = 1.1 × CP
CP = (264/1.1) = Rs. 240 for 10 litres
CP per litre = Rs. 24
We also know that, CP per litre of A = CP per litre of B + 8 Let CP per litre of B = x So, CP per litre of A = x + 8

Given Amount of B ≤ Amount of A,
Maximum possible cost of B occurs when B = A
We need to choose values for A and B in such a way that the quantities remain same.But A should be 8 more than B
Therefore, A should have a CP per litre of Rs. 28 and B should have a CP per litre of Rs 20

B cannot be assigned any more than this as the amount of B would become more than A
Example: Let us assign B to be Rs. 21 and A to be Rs. 29 which would result in a ratio of 3:5 where B amounts more than A, which doesn’t satisfy the condition
Max possible cost of Paint B = Rs. 20 per litre

CAT Previous Year Questions : Mixtures & Alligations (June 18) - Question 7

A wholesaler bought walnuts and peanuts, the price of walnut per kg being thrice that of peanut per kg. He then sold 8 kg of peanuts at a profit of 10% and 16 kg of walnuts at a profit of 20% to a shopkeeper. However, the shopkeeper lost 5 kg of walnuts and 3 kg of peanuts in transit. He then mixed the remaining nuts and sold the mixture at Rs. 166 per kg, thus making an overall profit of 25%. At what price, in Rs. per kg, did the wholesaler buy the walnuts? 

[2018]

Detailed Solution for CAT Previous Year Questions : Mixtures & Alligations (June 18) - Question 7

Let the wholesaler bought walnuts and peanuts at Rs 3x and Rs x respectively
He sold 8kgs of Peanuts to the shopkeeper at 10% Profit
Cost price of the Peanuts bought by the shopkeeper = Rs. 1.1x per kg
Similarly, he sold 16 kgs of Walnuts to the shopkeeper at 20% Profit
Cost price of the Walnuts bought by the shopkeeper = 1.2 × 3x = Rs. 3.6x per Kg
He lost 5 kgs of Walnuts and 3 Kgs of Peanuts in transit
Remaining = 16 - 5 = 11 kgs of Walnuts & 8-3 = 5 kgs of Peanuts
He mixes them together and sells them at Rs. 166 per kg, making an overall Profit of 25%
Selling Price = 5/4 × Cost Price
Overall Cost Price = Rs.(3.6 × 16x + 1.1 × 8x)
Overall Selling Price = Rs. 16 × 166
Overall Selling Price = (5/4) x Overall Cost Price
(3.6 × 16x + 1.1 × 8x) × (5/4) = 16 × 166
( ( 57.6 × 8.8) x ) × 5/4 = 16 × 166
x = Rs. 32
Cost price per Kg of Walnuts bought by the Wholesaler = Rs. 3x = 3 × 32 = >Rs. 96

CAT Previous Year Questions : Mixtures & Alligations (June 18) - Question 8

A 20% ethanol solution is mixed with another ethanol solution, say, S of unknown concentration in the proportion 1:3 by volume. This mixture is then mixed with an equal volume of 20% ethanol solution. If the resultant mixture is a 31.25% ethanol solution, then the unknown concentration of S is

[2018]

Detailed Solution for CAT Previous Year Questions : Mixtures & Alligations (June 18) - Question 8

Given that 20% ethanol solution is mixed with another ethanol solution, say, S of unknown concentration in the proportion 1:3 by volume

This M is then mixed with an equal volume of 20% ethanol solution. If the resultant mixture is a 31.25% ethanol solution ,then the unknown concentration of S has to be found
 
Equal quantities of mixture and 20% ethanol solution are mixed in equal ratio to get 31.25%
The mixture and 20% ethanol solution are mixed in equal ratio to get 31.25%. This 31.25% is 11.25% more than this 20%. This mixture must be 11.25% more than 31.25% so mixture is equal to 42.5%
 
This mixture 42.5% is mixed in the ratio 1:3
 
Using allegations we can find this 22.5% which should be in the ratio 1:3 so the other one is 7.5%
S = 42.5 + 7.5
S = 50%
Here to find the solution, do the second thing first and then go to the first thing
The second one is mixed in the ratio 1 : 1 so that the final thing should be bang in the middle

CAT Previous Year Questions : Mixtures & Alligations (June 18) - Question 9

A jar contains a mixture of 175 ml water and 700 ml alcohol. Gopal takes out 10% of the mixture and substitutes it by water of the same amount. The process is repeated once again. The percentage of water in the mixture is now

[2018]

Detailed Solution for CAT Previous Year Questions : Mixtures & Alligations (June 18) - Question 9


Given that a jar contains a mixture of 175 ml water and 700 ml alcohol.
It is given that 10% of the mixture is removed and it is substituted by water of the same amount and the process is repeated once again
Now we have to find the percentage of water in the mixture.
Since the mixture is removed and substituted with water, we can deal with alcohol and the second step we can find how much amount of alcohol is retained and not about how much amount of alcohol is removed
As 10% of alcohol is removed, 90% of alcohol is retained
So alcohol remaining = 700 × 90% × 90%
⇒  700 × 0.9 × 0.9 = 567
We totally have 875 ml overall mixture and of this 567 ml is alcohol.
Remaining 875 – 567 = 308 is the amount of water.

We have to find the percentage of water in the mixture i.e. 308/875
Approximately 308 is 30% of 1000 so by this we know that 308 is more than 30%
Hence 35.2% is the percentage of water in the given mixture.

CAT Previous Year Questions : Mixtures & Alligations (June 18) - Question 10

The strength of a salt solution is p% if 100 ml of the solution contains p grams of salt. If three salt solutions A, B, C are mixed in the proportion 1 : 2 : 3, then the resulting solution has strength 20%. If instead the proportion is 3 : 2 : 1, then the resulting solution has strength 30%. A fourth solution, D, is produced by mixing B and C in the ratio 2 : 7. The ratio of the strength of D to that of A is

[2018]

Detailed Solution for CAT Previous Year Questions : Mixtures & Alligations (June 18) - Question 10

Given that the strength of the salt solution is p% if 100 ml of the solution contains p grams of salt
It is also given that three salt solutions A , B , C are mixed in the proportion 1 : 2 : 3, then the resulting solution has strength 20%.
So  = 0.2 ⇒ A + 2B + 3C = 1.2 ...(1)
If instead the proportion is 3 : 2 : 1, then the resulting solution has strength 30%
So,  = 0.3 ⇒ 3A +2B + C = 1.8 ...(2)
It is given that 4th solution D is produced by mixing B and C in the ratio 2 : 7
So D = 
We have to find the ratio of the strength of D : A
Subtracting equations 1 and 2, we get
2A – 2C = 0.6 or A – C = 0.3
Since we could not find anything from the above methods, we can eliminate the number part and get the ratio going
A + 2B + 3C = 1.2
3A + 2B + C = 1.8
So let us multiply eqn 1 and 2 with 3 and 2,
3A + 6B + 9C = 6A + 4B + 2C
2B + 7C = 3A
It is given that D = 

Hence D = A/3
Therefore the ratio D : A = 1 : 3.

Information about CAT Previous Year Questions : Mixtures & Alligations (June 18) Page
In this test you can find the Exam questions for CAT Previous Year Questions : Mixtures & Alligations (June 18) solved & explained in the simplest way possible. Besides giving Questions and answers for CAT Previous Year Questions : Mixtures & Alligations (June 18), EduRev gives you an ample number of Online tests for practice
Download as PDF