UGC NET Exam  >  UGC NET Tests  >  CSIR NET Life Sciences Mock Test - 7 - UGC NET MCQ

CSIR NET Life Sciences Mock Test - 7 - UGC NET MCQ


Test Description

30 Questions MCQ Test - CSIR NET Life Sciences Mock Test - 7

CSIR NET Life Sciences Mock Test - 7 for UGC NET 2025 is part of UGC NET preparation. The CSIR NET Life Sciences Mock Test - 7 questions and answers have been prepared according to the UGC NET exam syllabus.The CSIR NET Life Sciences Mock Test - 7 MCQs are made for UGC NET 2025 Exam. Find important definitions, questions, notes, meanings, examples, exercises, MCQs and online tests for CSIR NET Life Sciences Mock Test - 7 below.
Solutions of CSIR NET Life Sciences Mock Test - 7 questions in English are available as part of our course for UGC NET & CSIR NET Life Sciences Mock Test - 7 solutions in Hindi for UGC NET course. Download more important topics, notes, lectures and mock test series for UGC NET Exam by signing up for free. Attempt CSIR NET Life Sciences Mock Test - 7 | 75 questions in 180 minutes | Mock test for UGC NET preparation | Free important questions MCQ to study for UGC NET Exam | Download free PDF with solutions
CSIR NET Life Sciences Mock Test - 7 - Question 1

Determine the ratio of volumes of cylinders c1 and c2 if their heights and radii are in the ratio 7 : 9 and 3 : 4 respectively.

Detailed Solution for CSIR NET Life Sciences Mock Test - 7 - Question 1

Volume of Cylinder =    (r → radius and h → height)

⇒ Volume of cylinder c1 = V1 =

⇒ Volume of cylinder c2 = V2 =

⇒ V1 : V2 = =

=

= ( × () = () × () =

∴ V1 : V2 = 7 : 16

CSIR NET Life Sciences Mock Test - 7 - Question 2

A student takes an 18-question multiple-choice exam, with four choices per question. Suppose one of the choices is obviously incorrect, and the student makes an 'educated' guess among the remaining three choices for each question. What is the expected number of correct answers?

Detailed Solution for CSIR NET Life Sciences Mock Test - 7 - Question 2

The exam has 18 questions. For each question, the probability of a correct answer is 1/3 after eliminating one obviously incorrect option. Therefore, the expected number of correct answers is 18 × 1/3 = 6.

CSIR NET Life Sciences Mock Test - 7 - Question 3

A person walk 10 km to North. From there he walk 6 km to South. After this he walk 3 km to East. In which direction and how far is he now from the starting point?

Detailed Solution for CSIR NET Life Sciences Mock Test - 7 - Question 3

Direction diagram can be traced as shown below:

Therefore, he is at a distance of 5 km from the starting point in North-East direction.

CSIR NET Life Sciences Mock Test - 7 - Question 4

Kanak ranks ninth from the top and from the bottom in a class. How many students are there in the class?

Detailed Solution for CSIR NET Life Sciences Mock Test - 7 - Question 4

Kanak position from the top

Kanak position from the bottom

Total number of students in the class (Kanak position from the top) (Kanak position from the bottom)

Therefore, there are  students in the class.

CSIR NET Life Sciences Mock Test - 7 - Question 5

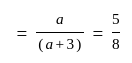
The denominator of a rational number is 3 more than its numerator. If the numerator is increased by 7 and the denominator is decreased by 2, we obtain 2. The rational number is:

Detailed Solution for CSIR NET Life Sciences Mock Test - 7 - Question 5

Given:

Denominator of a rational number = 3 + Numerator

Calculation:

Let the numerator of the number = a

⇒ Denominator = a + 3

The number is


∴ The required fraction

CSIR NET Life Sciences Mock Test - 7 - Question 6

Varshika purchases a dress for Rs. 3200 but the shop had another paying option of Rs. 1000 as a down payment and two equal monthly installments of Rs. 1200 each. Find the rate of interest in the installment scheme.

Detailed Solution for CSIR NET Life Sciences Mock Test - 7 - Question 6

Given:
Cost = Rs. 3200
Down payment = Rs. 1000
Installments = Rs. 1200 each
Calculation:
Let the rate percent be R % per annum,
Total payment due to installment = 2400 + 1000
= 3400
Interest amount = 3400 − 3200 = 200
So, Principal for the 1 st month = Rs. (3200 − 1000)
= 2200
So, Simple interest for 1 st month 
Now, Principal for the 2nd month = Rs. (2200 − 1200)
= Rs. 1000
So, Simple interest for 2 nd month 
So, According to the question,

CSIR NET Life Sciences Mock Test - 7 - Question 7
Find the mean of the given data {a, b, a, a, b, a, b, c, a, b, a, c, a, b, a}, where a is less than b and b is less than c.
Detailed Solution for CSIR NET Life Sciences Mock Test - 7 - Question 7

Concept:

Mean

Calculations:

Sum of the given data

 

Number of values

Mean

CSIR NET Life Sciences Mock Test - 7 - Question 8

If 1/4, 1/x and 1/10 are in HP, then find the value of x.

Detailed Solution for CSIR NET Life Sciences Mock Test - 7 - Question 8

Given,
1/4, 1/x and 1/10 are in HP.
4, x and 10 is in AP.
x - 4 = 10 - x
x = 7

CSIR NET Life Sciences Mock Test - 7 - Question 9

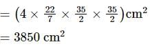
Find the surface area of a sphere of radius 17.5 cm.

Detailed Solution for CSIR NET Life Sciences Mock Test - 7 - Question 9

Given,

Radius  (r) = 17.5 cm

As we know,

Surface area  = 4πr2

CSIR NET Life Sciences Mock Test - 7 - Question 10

Polythene chromosomes are found because of _____?

Detailed Solution for CSIR NET Life Sciences Mock Test - 7 - Question 10

Endomitosis is the replication or duplication of the chromosome in the absence of nuclear division or cell, resulting in numerous copies within each cell, which occurs in the Drosophila salivary glands. 

Polytene chromosomes are popularly called salivary chromosomes. They contain 1000- 16000 times DNA, as compared to ordinary somatic chromosomes and can reach a length of 2000 μm. During the interphase stage of the cell division in the nuclei of the salivary gland cells of the larvae of Drosophila melanogaster, polytene chromosomes are formed due to endoreduplication, duplication without separation and replication of DNA without cell division. These chromosomes undergo somatic pairing to form identical chromosomes which are joined along their length to one another.

CSIR NET Life Sciences Mock Test - 7 - Question 11

Blood grouping in humans is controlled by:

Detailed Solution for CSIR NET Life Sciences Mock Test - 7 - Question 11

Blood grouping in humans is controlled by 3 alleles in which IA and IB are dominant.

ABO blood groups in humans are controlled by the gene I. It has three alleles-IA, IB and i. Since there are three different alleles, six different genotypes are possible.

CSIR NET Life Sciences Mock Test - 7 - Question 12

Which of the following form of lipids are also referred as neutral lipids?

Detailed Solution for CSIR NET Life Sciences Mock Test - 7 - Question 12

A triglyceride (TG, triacylglycerol, TAG, or triacylglyceride) is an ester derived from glycerol and three fatty acids (from tri- and glyceride). Triglycerides are the main constituents of body fat in humans and other vertebrates, as well as vegetable fat. They are also present in the blood to enable the bidirectional transference of adipose fat and blood glucose from the liver, and are a major component of human skin oils.

CSIR NET Life Sciences Mock Test - 7 - Question 13

Which of the following has a major role in the regulation of chloroplast movement?

Detailed Solution for CSIR NET Life Sciences Mock Test - 7 - Question 13

Phototoropin acts as a blue light receptor, it is a flavoprotein which has a major role in regulation of chloroplast movement and photropism.
Chloroplasts accumulate in areas irradiated with weak light to increase photosynthetic efficiency.

CSIR NET Life Sciences Mock Test - 7 - Question 14

Which of the following is the best breeding method for animals which are below average in productivity?

Detailed Solution for CSIR NET Life Sciences Mock Test - 7 - Question 14

Out-crossing is the practice of mating of animals within the same breed, but having no common ancestors on either side of their pedigree. The offspring of such a mating is known as an outcross. It is the best breeding method for animals that are below average in productivity in milk production, the growth rate in beef cattle, etc.

CSIR NET Life Sciences Mock Test - 7 - Question 15

What is field capacity?

Detailed Solution for CSIR NET Life Sciences Mock Test - 7 - Question 15

Field capacity is the water holding capacity of the root. It shows the maximum amount of water that a soil can hold after the free drainage.

CSIR NET Life Sciences Mock Test - 7 - Question 16

Which of these functions is not regulated by intracellular hormone-receptor complexes?

Detailed Solution for CSIR NET Life Sciences Mock Test - 7 - Question 16

Intracellular hormone-receptor complexes transmit signals mainly to the nucleus for the regulation of gene expression, and regulation of chromosome function through indirect interaction with the genome.

CSIR NET Life Sciences Mock Test - 7 - Question 17

Name the movement of the plant in response to a magnetic field.

Detailed Solution for CSIR NET Life Sciences Mock Test - 7 - Question 17

Tactic movement is dependent on the external stimulus. On the basis of different stimuli, it is of many types, i.e., phototaxis, magnetotaxis, geotaxis, etc.

CSIR NET Life Sciences Mock Test - 7 - Question 18

Cell cycle is controlled by

P. certain cyclins

Q. certain cyclin-dependent kinases

R. certain inhibitory proteins

S. certain phosphatases 

Detailed Solution for CSIR NET Life Sciences Mock Test - 7 - Question 18

Cell cycle is controlled by certain cyclins, cyclin-dependent protein kinases, inhibitory proteins and phosphatases.

Cell cycle control is carried by cyclin-dependent kinases-Cdks (protien kinases). The raise or fall of these cyclins plays a key role in cell cycle. An increase activity of Cdks causes phosphorylation of intracellular protiens that regulate the major events of cell cycle such as DNA replication, mitosis and cytokinesis.

CSIR NET Life Sciences Mock Test - 7 - Question 19

Mendel could not find recombination and crossing over as:

Detailed Solution for CSIR NET Life Sciences Mock Test - 7 - Question 19

Mendel was not able to say anything about recombination and crossing over because traits he choose, were not linked and were present on different chromosomes or were far apart.

CSIR NET Life Sciences Mock Test - 7 - Question 20

In some flowering plants, the requirement of long day-length or low temperature treatment for flowering can be effectively substituted by:

Detailed Solution for CSIR NET Life Sciences Mock Test - 7 - Question 20

In some flowering plants, the requirement of long day-length or low temperature treatment for flowering can be effectively substituted by Gibberellins, while in short-day plants, they-inhibit flowering. Abscisic acid sometimes promotes flowering in short-day plants while inhibit in long-day plants (antagonistic to gibberellin). 2.4-D (2, 4 dichlorophenoxyacetic acid) are used as selective weed killers. They inhibit sprouting of potatoes. It also prevent premature fruit drop.

CSIR NET Life Sciences Mock Test - 7 - Question 21

If VV produces violet flowers and vv produces white flowers, what will be the phenotype and genotype of the F1 progeny?

Detailed Solution for CSIR NET Life Sciences Mock Test - 7 - Question 21

The VV and vv upon crossing will produce all progeny with genotype Vv. This is the heterozygous state. Violet being dominant over white, all the progeny will have violet flowers.

CSIR NET Life Sciences Mock Test - 7 - Question 22

The half-life of a radioisotope is:

Detailed Solution for CSIR NET Life Sciences Mock Test - 7 - Question 22

The half-life of any radioisotope or radioactive element is the time taken for half of the atoms to undergo complete decay. The formula to find half-life is given by N(t) = N0e−λt.

CSIR NET Life Sciences Mock Test - 7 - Question 23

What is incorrect about the above figure representing DNA replication?


Detailed Solution for CSIR NET Life Sciences Mock Test - 7 - Question 23

DNA polymerase can polymerize nucleotides only in direction on strand because it adds them at the end. Since, the two strands of DNA run in antiparallel directions, the two templates provide different ends for replication. Replication over the two templates thus proceeds in opposite directions. One strand with polarity forms its complementary strands continuously because end of the latter is open for elongation. It is called leading strand. Replication is discontinuous on the other template with polarity because only a short segment of DNA strand can be built in direction due to exposure of a small stretch of template at one time. Short segments of replicated DNA are called Okazaki fragments.

CSIR NET Life Sciences Mock Test - 7 - Question 24

Gene mutation is caused by:

Detailed Solution for CSIR NET Life Sciences Mock Test - 7 - Question 24

Gene mutation is caused by changes in sequence of nitrogenous bases.

A gene mutation is a permanent alteration in the DNA sequence that makes up a gene, such that the sequence differs from what is found in most people. Mutations range in size; they can affect anywhere from a single DNA building block (base pair) to a large segment of a chromosome that includes multiple genes.

CSIR NET Life Sciences Mock Test - 7 - Question 25
Who is known as the father of Molecular biology?
Detailed Solution for CSIR NET Life Sciences Mock Test - 7 - Question 25

Dr. Max Perutz is known as the father of Molecular biology.

Dr. Max Perutz, whose success in elucidating the structure of the hemoglobin molecule helped give birth to the field of molecular biology and brought him the Nobel Prize in Chemistry in 1962, died on Wednesday at a hospital near his home in Cambridge, England. He was 87.

CSIR NET Life Sciences Mock Test - 7 - Question 26

Where are the parental genotypes mentioned in a Punnett square?

Detailed Solution for CSIR NET Life Sciences Mock Test - 7 - Question 26

In a Punnett square, the parental genotypes are represented in the left column and the top row of the square.

CSIR NET Life Sciences Mock Test - 7 - Question 27

What are the possible phenotypes that can be observed after self-crossing violet flowered pea plants?

Detailed Solution for CSIR NET Life Sciences Mock Test - 7 - Question 27

Violet is dominant over white. Self-crossing of violet flowering plants will produce 25% recessive plants, which will have white flowers.

CSIR NET Life Sciences Mock Test - 7 - Question 28

_____ removes urea In urecotelic animals.

Detailed Solution for CSIR NET Life Sciences Mock Test - 7 - Question 28

Ornithine cycle removes urea In urecotelic animals.

In ureotelic animals, urea is formed by Ornithine cycle. It helps in conversion of excess of amino acids into urea in the liver. It takes place in five major steps. The extra proteins in the body are degraded by the process of deamination where the  group is removed and it is converted into ammonium ions in the liver. The ammonium ions enter urea cycle and combines with carbon dioxide and get converted into urea. The urea formed in liver is transported to kidney through circulation and finally gets excreted. So, the correct answer is 'Ornithine cycle'.

CSIR NET Life Sciences Mock Test - 7 - Question 29

Which of the following statement is not correct?
1. Six unusual bases are observed in a tRNA molecule.
2. Unusual bases pseudouridine and dihydropyridine are most commonly found in the tRNA molecules.

Detailed Solution for CSIR NET Life Sciences Mock Test - 7 - Question 29

Only statement 1 is incorrect,

Five unusual bases, produced by enzymatic modification of the usual bases, may be observed in a tRNA molecule. These are pseudouridine, dihydropyridine, hypoxanthine, thymine and methylguanine. Of these five, unusual bases pseudouridine and dihydropyridine are most commonly found in the tRNA molecules.

CSIR NET Life Sciences Mock Test - 7 - Question 30
Light harvesting complexes are made up of:
Detailed Solution for CSIR NET Life Sciences Mock Test - 7 - Question 30

Light harvesting complexes (LHC) are made up of hundreds of pigment molecules bound to proteins. In LHC, reaction centre is formed by a single chlorophyll a molecule.

View more questions
Information about CSIR NET Life Sciences Mock Test - 7 Page
In this test you can find the Exam questions for CSIR NET Life Sciences Mock Test - 7 solved & explained in the simplest way possible. Besides giving Questions and answers for CSIR NET Life Sciences Mock Test - 7, EduRev gives you an ample number of Online tests for practice
Download as PDF