UGC NET Exam  >  UGC NET Tests  >  CSIR NET Life Sciences Mock Test - 9 - UGC NET MCQ

CSIR NET Life Sciences Mock Test - 9 - UGC NET MCQ


Test Description

30 Questions MCQ Test - CSIR NET Life Sciences Mock Test - 9

CSIR NET Life Sciences Mock Test - 9 for UGC NET 2025 is part of UGC NET preparation. The CSIR NET Life Sciences Mock Test - 9 questions and answers have been prepared according to the UGC NET exam syllabus.The CSIR NET Life Sciences Mock Test - 9 MCQs are made for UGC NET 2025 Exam. Find important definitions, questions, notes, meanings, examples, exercises, MCQs and online tests for CSIR NET Life Sciences Mock Test - 9 below.
Solutions of CSIR NET Life Sciences Mock Test - 9 questions in English are available as part of our course for UGC NET & CSIR NET Life Sciences Mock Test - 9 solutions in Hindi for UGC NET course. Download more important topics, notes, lectures and mock test series for UGC NET Exam by signing up for free. Attempt CSIR NET Life Sciences Mock Test - 9 | 75 questions in 180 minutes | Mock test for UGC NET preparation | Free important questions MCQ to study for UGC NET Exam | Download free PDF with solutions
CSIR NET Life Sciences Mock Test - 9 - Question 1

If in a certain language PROSE is coded as PPOQE, how is LIGHT coded in that code ?

Detailed Solution for CSIR NET Life Sciences Mock Test - 9 - Question 1

In the given code

PROSE = PPOQE

The first, third and fifth letters are same but in the place of second and fourth letters previous two letters are used. So,

LIGHT = LGGFT.

CSIR NET Life Sciences Mock Test - 9 - Question 2

Arrange the words given below in a meaningful sequence.
1. Leaf
2. Fruit 
3. Stem 
4. Root
5. Flower

Detailed Solution for CSIR NET Life Sciences Mock Test - 9 - Question 2

After arranging the words in a meaningful sequence, we get
Root  Stem Leaf  Flower Fruit
The correct order is 4,3,1,5,2.

CSIR NET Life Sciences Mock Test - 9 - Question 3

The profit earned after selling an article for Rs. 1,754 is the same as loss incurred after selling the article for Rs. 1,492. What is the cost price of the article?

Detailed Solution for CSIR NET Life Sciences Mock Test - 9 - Question 3

Given:
SP while earning profit = SP while incurring a loss

Formula:
Selling Price = Cost Price + Profit
Selling Price = Cost Price - Loss

Calculation:
Let the cost price be = a
1754 - a = Profit
a - 1492 = Loss
As per the question;
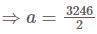
1754 - a = a - 1492
⇒ 1754 + 1492 = 2a
⇒ 3246 = 2a

⇒ a = 1623
∴ The cost price of article Rs. 1623.

CSIR NET Life Sciences Mock Test - 9 - Question 4

Direction: Complete the series.

Detailed Solution for CSIR NET Life Sciences Mock Test - 9 - Question 4

The pattern followed in the series is as follows:

Starting from 16:

  • 16 + 10 = 26
  • 26 + 12 = 38
  • 38 + 14 = 52
  • 52 + 16 = 68
  • 68 + 18 = 86

There is also a secondary pattern of adding +2 between increments which does not affect the main sequence.

Thus, the missing number in the series is 68, which corresponds to option a).

CSIR NET Life Sciences Mock Test - 9 - Question 5

How many squares are there in the given figure?

Detailed Solution for CSIR NET Life Sciences Mock Test - 9 - Question 5


So, there is a total of 6 squares in the figure.

CSIR NET Life Sciences Mock Test - 9 - Question 6

A hall is 15 m long and 12 m broad. If the sum of the areas of the floor and the ceiling is equal to the sum of the areas of four walls, the volume of the hall is:

Detailed Solution for CSIR NET Life Sciences Mock Test - 9 - Question 6

Given,
Length (l) = 15 cm
Breath (b) = 12 cm
Let the Height be h.
Sum of Area of four walls = Sum of area of floor and ceiling

CSIR NET Life Sciences Mock Test - 9 - Question 7

A certain sum amounts to Rs. 5832 in 2 years at 8% per annum compound interest, the sum is?

Detailed Solution for CSIR NET Life Sciences Mock Test - 9 - Question 7

Given:

Where, A is Amount, P is Principal, R is rate of interest, and t is time in years

CSIR NET Life Sciences Mock Test - 9 - Question 8
If the number when subtracted from 37.5% of itself gives the result as 35, find the original number.
Detailed Solution for CSIR NET Life Sciences Mock Test - 9 - Question 8

Given:

The number when subtracted from 37.5% of itself gives the result as 35.

Calculation:

The number when subtracted from 37.5% of itself gives the result as 35.

Let the original number be 100x.

The number when subtracted from 37.5%

So, New number = 

Resulting number = 35 = 62.5x

⇒ x = 0.56

⇒ 100x = 0.56 × 100 = 56

∴ Original value of number is 56.

CSIR NET Life Sciences Mock Test - 9 - Question 9

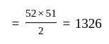
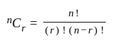
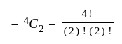
From a pack of well-shuffled deck of cards, two cards are drawn together at random. What is the probability of both the cards being Ace?

Detailed Solution for CSIR NET Life Sciences Mock Test - 9 - Question 9

We know that

Probability

Number of all combinations of things, taken at a time, is given by

According to question,

Total outcomes 

Number of favorable outcomes


CSIR NET Life Sciences Mock Test - 9 - Question 10

Proteins are made up of _______.

Detailed Solution for CSIR NET Life Sciences Mock Test - 9 - Question 10

Proteins are made up of Amino acids.

Amino acids:

  • Amino acids are the basic building units of proteins.
  • Their molecule possesses both an amino group as well as a carboxylic group.
  • The amino acids having amino and carboxyl groups are attached to the same carbon.
  • Example- Glycine, Alanine, etc.

CSIR NET Life Sciences Mock Test - 9 - Question 11

End product of fermentation of sugars is:

Detailed Solution for CSIR NET Life Sciences Mock Test - 9 - Question 11

The end product of fermentation of sugars is alcohol and CO2. Sugars are the most common substrate of fermentation, and typical examples of fermentation products are ethanol, lactic acid, and hydrogen. However, more exotic compounds can be produced by fermentation, such as butyric acid and acetone. Yeast carries out fermentation in the production of ethanol in beers, wines and other alcoholic drinks, along with the production of large quantities of carbon dioxide. Fermentation occurs in mammalian muscle during periods of intense exercise where oxygen supply becomes limited, resulting in the creation of lactic add.

CSIR NET Life Sciences Mock Test - 9 - Question 12

Most cancer cells exhibit increased glycolysis and use this metabolic pathway for generation of ATP as a main source of energy supply. This phenomenon is known as:

Detailed Solution for CSIR NET Life Sciences Mock Test - 9 - Question 12

Most cancer cells exhibit increased glycolysis and use this metabolic pathway for generation of ATP as a main source of energy supply. This phenomenon is known as Warburg effect.

The Warburg Effect is defined as an increase in the rate of glucose uptake and preferential production of lactate, even in the presence of oxygen.

CSIR NET Life Sciences Mock Test - 9 - Question 13

During DNA replication, events at the  replication fork require different types of enzymes having specialized functions except:

Detailed Solution for CSIR NET Life Sciences Mock Test - 9 - Question 13

DNA glycosylases are a family of enzymes involved in bases excision repair. Base excision repair is the mechanism by which damaged bases in DNA are removed and replaced. DNA glycosylases catalyze the first step of this process. They remove the damaged nitrogenous base while leaving the sugar-phosphate backbone intact, creating an apurinic/apyrimidinic site, commonly referred to as an AP site.

CSIR NET Life Sciences Mock Test - 9 - Question 14

Guanylyl transferase and GTP are used for?

Detailed Solution for CSIR NET Life Sciences Mock Test - 9 - Question 14

Guanylyl transferases are enzymes that transfer a guanosine mono phosphate group, usually from GTP to another molecule, releasing pyrophosphate. Many eukaryotic guanylyl transferases are capping enzymes that catalyze the formation of the 5' cap in the co-transcriptional modification of messenger RNA.

CSIR NET Life Sciences Mock Test - 9 - Question 15

Which of the following factors do not provide to the separation of DNA fragments during electrophoresis?

Detailed Solution for CSIR NET Life Sciences Mock Test - 9 - Question 15

Ethidium bromide only helps in tagging the DNA molecules to make the visible under the UV radiation due to its fluorescence property, but does not take any part in the separation of DNA molecules during electrophoresis.

Electrophoresis is a laboratory technique used to separate DNA, RNA or protein molecules based on their size and electrical charge. An electric current is used to move the molecules through a gel or other matrix.

CSIR NET Life Sciences Mock Test - 9 - Question 16

Transcription is the process of transferring genetic information from?

Detailed Solution for CSIR NET Life Sciences Mock Test - 9 - Question 16

Transcription is a process by which the genetic code encoded on DNA is transferred to mRNA molecule. When a certain protein is required, the molecule of mRNA is produced. The information in a gene, which is a specific area of DNA, is transferred to a single-stranded RNA molecule. In RNA, the thymine in the DNA is replaced with uracil. The enzyme RNA polymerase aids in the reading of template strand and the creation of the mRNA molecule.

CSIR NET Life Sciences Mock Test - 9 - Question 17

Poisonous fluid present in nematocyst of Hydra is:

Detailed Solution for CSIR NET Life Sciences Mock Test - 9 - Question 17

Poisonous fluid present in nematocyst of Hydra is Hypnotoxin.

The Hypnotoxin present in Nematocytes is injected with the help of the threaded tube. This thread tube acts like a piercing needle. The lower end of the tube is enlarged to form butt which bears spines in some cnidoblasts.

CSIR NET Life Sciences Mock Test - 9 - Question 18

The type of natural selection where more individuals acquire a value other than the mean character value is known as:

Detailed Solution for CSIR NET Life Sciences Mock Test - 9 - Question 18

The type of natural selection where more individuals acquire a value other than the mean character value is known as directional.

Natural selection can lead to 3 possibilities:

  • Stabilizing - More individuals acquire the mean character value, getting a higher and narrower peak in the distribution curve.
  • Directional - More individuals acquire a value other than the mean character value, causing a shift in the distribution curve.
  • Disruptive - More individuals acquire peripheral character value at both ends of the distribution curve.

CSIR NET Life Sciences Mock Test - 9 - Question 19

Animal husbandry can be explained as?

Detailed Solution for CSIR NET Life Sciences Mock Test - 9 - Question 19

Animal husbandry is the branch of agriculture concerned with animals that are raised for meat, fibre, milk, eggs, or other products. It includes day-to-day care, selective breeding and the raising of livestock.

A wide range of species such as horses, cattle, guinea pigs,  sheep, goat, insects, and fishes are employed under animal husbandry.

CSIR NET Life Sciences Mock Test - 9 - Question 20

Which of the following statements are correct?

(i) RNA polymerase I transcribes rRNAs.

(ii) RNA polymerase I transcribes snRNAs.

(iii) RNA polymerase III transcribes snRNA.

(iv) RNA polymerase II transcribes hnRNA.

Detailed Solution for CSIR NET Life Sciences Mock Test - 9 - Question 20

Transcription is the first step in decoding a cell's genetic information and begins with the binding of the RNA polymerase complex to a special DNA sequence at the beginning of the gene known as the promoter. In eukaryotes, transcription is achieved by three different types of RNA polymerase ( RNA Pol I, II, III).  The polymerases differ in the number and type of subunits they contain, as well as the class of RNAs they transcribe. RNA polymerase I transcribe ribosomal RNAs (rRNAs), RNA polymerase II transcribes mRNAs and also small regulatory RNAs, and RNA polymerase III transcribes small RNAs such as transfer RNAs (tRNAs).

CSIR NET Life Sciences Mock Test - 9 - Question 21

Which of the following sequences fits into the organic evolution theory proposed by Charles Darwin and Alfred Wallace?

Detailed Solution for CSIR NET Life Sciences Mock Test - 9 - Question 21

The 'theory of organic evolution' was given by Charles Darwin and Alfred Wallace independently.  It states that 'changes in the genetic makeup of species in a population as a result of responding to environmental changes is organic evolution'. It means that the variations in the genes of a population due to competition and environmental changes lead to evolution into a more adapted and competitive species. 

The sequence of organic evolution theory:

​Overpopulation → Constancy of population size → Variation → Natural Selection

Overpopulation:

  • Most organisms produce more offspring than the resources can carry.
  • The reproductive rate is high and the resources are limited.
  • More offspring means more variation in the next generation.
  • Example: Starfish produces 1 million eggs, and E. coli divides every two minutes.

The constancy of Population size:

  • Despite a large number of offspring, the population size remains constant.
  • This is due to three reasons:
    • Intraspecific competition - competition within the species.
    • Interspecific competition - competition between the species.
    • Environmental factors - elimination of offspring due to adverse environmental factors.
  • A vast majority of offspring who are weaker, less adapted, and less competitive are eliminated or die.

Variation:

  • Variation means that the offspring is not a clone of either parent and is different and unique.
  • The offspring who survive, have genes that are best suited to the environment.
  • They have genetic variations that are more adapted to the external environment and have a more competitive ability.
  • Useful variations are selected and harmful variations are removed.​

​Natural Selection: 

  • This leads to the natural selection of progeny.
  • Nature in each successive generation selects for the progeny which is more suited to the external environment.
  • There is selective pressure on the individuals, due to limited resources, competition, and adverse environment.
  • This is called the struggle for existence.​
  • Natural selection takes place in favor of those that have higher reproductive fitness and survive better.

CSIR NET Life Sciences Mock Test - 9 - Question 22

A population has more than 50% in postreproductive age group; according to you such population is:

Detailed Solution for CSIR NET Life Sciences Mock Test - 9 - Question 22

Declining population growth that shrinks the pool of available labor over the next 50 years will be reduced by 40% the rate of growth in global economic output for the world's 20 largest economies compared to the past 50 years, according to a new study.

Declining populations will have more than half of the individuals in post reproductive age and thus cannot contribute to the increase of population.

CSIR NET Life Sciences Mock Test - 9 - Question 23

Diffusion is mainly a ________.

Detailed Solution for CSIR NET Life Sciences Mock Test - 9 - Question 23

Diffusion is a physical process. It has applications in mechanical, chemical and biological processes such as in fluid mechanics, solid state and transport of substances.
Diffusion is defined as the movement of individual molecules of a substance through a semipermeable barrier from an area of higher concentration to an area of lower concentration.

CSIR NET Life Sciences Mock Test - 9 - Question 24
Cleavage in human is:
Detailed Solution for CSIR NET Life Sciences Mock Test - 9 - Question 24

Cleavage in human is Unequal. 

The cleavage in which the egg is divided unequally is called an unequal cleavage. Humans and Marsupials are an example of unequal holoblastic cleavage. The mode of cleavage is determined by the amount of yolk and it’s distribution. The first cleavage occurs in human zygotes about 30 hours after fertilization. It is holoblastic (complete) and gives rise to the blastomeres; one of which is slightly larger than the other.

Holoblastic: The cleavage in which the segmentation line passes through the entire egg, dividing it completely. It occurs in alecithal, microlecithal and mesolecithal eggs. Holoblastic cleavage is of two types:

Equal Holoblastic: In this process, the egg is divided into two equal halves.

Meroblastic cleavage: The lines of segmentation do not completely pass through the egg and remain confined to a part of the egg. Such type of cleavage is found in megalecithal eggs as the yolk provides resistance to the cleavage. Insects, birds, reptiles are examples of meroblastic cleavage.

Superficial cleavage occurs in centrolecithal eggs of insects. 

CSIR NET Life Sciences Mock Test - 9 - Question 25
Which juice secreted by the organs in the alimentary canal plays an important role in the digestion of fats?
Detailed Solution for CSIR NET Life Sciences Mock Test - 9 - Question 25

Bile juice, Pancreatic juice secreted by the organs plays an important role in the digestion of fats. Bile juice is secreted by the liver. It does not contain any types of enzymes.

The bile juice helps to make the food alkaline and break down the fat molecules.

Pancreatic juice is secreted by the pancreas. It contains enzymes like amylase, trypsin, pancreatic lipase, nucleases, amylase, and lipase. Secretion of the Pancreatic juice is regulated by the hormones secretin and cholecystokinin.

Lipase is the digestive enzyme of fat. Ptyalin is the digestive enzyme of the Saliva. Hydrochloric acid is produced naturally in the human stomach to help the digestion of food.

CSIR NET Life Sciences Mock Test - 9 - Question 26
Which one of the following statements is true regarding amino acids?
Detailed Solution for CSIR NET Life Sciences Mock Test - 9 - Question 26

Molecules of the residual amino acids, threonine and isoleucine, contain two asymmetric carbon atoms and thus, exist as four stereoisomers forming two enantiomer and four diastereomer pairs, respectively. Therefore, Option B is the correct answer.

The tendency of some amino acids to occur more frequently in alpha-helices is known as helix propensity.  Alanine has the highest helix propensity, and, excluding proline, glycine has the lowest.

Sidechain pKa of glutamic acid is more than the side chain pKa of aspartic acid.

Proline, a five-member ring amino acid, is sterically restricted in rotation around the N-C(alpha) bond, thus has a limited Phi value of about -63 ± 15°

CSIR NET Life Sciences Mock Test - 9 - Question 27
Which of the following is a herbivore?
Detailed Solution for CSIR NET Life Sciences Mock Test - 9 - Question 27

Zooplankton is a herbivore while spiders, hyenas and frogs are carnivores.

CSIR NET Life Sciences Mock Test - 9 - Question 28
The role of salicylic acid in systemic acquired resistance of plants is to:
Detailed Solution for CSIR NET Life Sciences Mock Test - 9 - Question 28

The systemic acquired resistance (SAR) is a "whole-plant" resistance response that occurs following an earlier localized exposure to a pathogen. SAR is analogous to the innate immune system found in animals, and there is evidence that SAR in plants and innate immunity in animals may be evolutionarily conserved. SAR is associated with the induction of a wide range of genes (so called PR or "pathogenesis-related" genes), and the activation of SAR requires the accumulation of endogenous salicylic acid (SA). The pathogen-induced SA signal activates a molecular signal transduction pathway that is identified by a gene called NIM1, NPR1 or SAI1 (three names for the same gene) in the model genetic system Arabidopsis thaliana.

CSIR NET Life Sciences Mock Test - 9 - Question 29

In Counter immunoelectrophoresis:

Detailed Solution for CSIR NET Life Sciences Mock Test - 9 - Question 29

In Counter immunoelectrophoresis, electrophoresis will drive the antibody and antigen toward each other

Counter Current Immunoelectrophoresis is a modification of immunoelectrophoresis in which antigen and antibody move in opposite directions and form precipitates in the area where they meet in concentrations of optimal proportions. It is also referred to as countercurrent or crossed-over immunoelectrophoresis.

Counter-current immunoelectrophoresis depends on the movement of antigens toward the anode and of antibodies towards the cathode through the agar under the electric field. The test is performed on a glass slide in an agarose gel of high electro-endosmotic flow. A pair of wells is punched out where one well is filled with antigen and the other with the antibody. Electric current is then passed through the gel. The migration of antigen and antibody is greatly facilitated under the electric field, and the line of precipitation as precipitin arcs is made visible in 30–60 minutes, which indicates a positive reaction.

CSIR NET Life Sciences Mock Test - 9 - Question 30
Organ of Corti helps in ________.
Detailed Solution for CSIR NET Life Sciences Mock Test - 9 - Question 30

Organ of Corti helps in hearing. It is a spiral organ and receptor organ for hearing and is located in cochlea.

View more questions
Information about CSIR NET Life Sciences Mock Test - 9 Page
In this test you can find the Exam questions for CSIR NET Life Sciences Mock Test - 9 solved & explained in the simplest way possible. Besides giving Questions and answers for CSIR NET Life Sciences Mock Test - 9, EduRev gives you an ample number of Online tests for practice
Download as PDF