JEE Exam  >  JEE Tests  >  KIITEE Mock Test - 10 - JEE MCQ

KIITEE Mock Test - 10 - JEE MCQ


Test Description

30 Questions MCQ Test - KIITEE Mock Test - 10

KIITEE Mock Test - 10 for JEE 2025 is part of JEE preparation. The KIITEE Mock Test - 10 questions and answers have been prepared according to the JEE exam syllabus.The KIITEE Mock Test - 10 MCQs are made for JEE 2025 Exam. Find important definitions, questions, notes, meanings, examples, exercises, MCQs and online tests for KIITEE Mock Test - 10 below.
Solutions of KIITEE Mock Test - 10 questions in English are available as part of our course for JEE & KIITEE Mock Test - 10 solutions in Hindi for JEE course. Download more important topics, notes, lectures and mock test series for JEE Exam by signing up for free. Attempt KIITEE Mock Test - 10 | 120 questions in 180 minutes | Mock test for JEE preparation | Free important questions MCQ to study for JEE Exam | Download free PDF with solutions
KIITEE Mock Test - 10 - Question 1

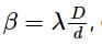
If Young's double slit experiment is performed in water,

Detailed Solution for KIITEE Mock Test - 10 - Question 1

As light moves from air to water, its speed decreases due to refractive index of water.

Fringe width, as λ decreases on entering in water, β also decreases.

λ = wavelength in medium,

D = separation between slit and screen,

d = separation between slits.

KIITEE Mock Test - 10 - Question 2

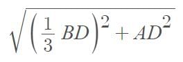
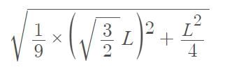
Three point masses each of mass ‘m’ are kept at the corners of an equilateral triangle of side ‘L’. The system rotates about the center of the triangle without any change in the separation of masses during rotation. The period of rotation is directly proportional to (cos 300 = sin600 √3/2)

Detailed Solution for KIITEE Mock Test - 10 - Question 2

The situation can be shown below.

where, O is the centroid of the equivalent triangle.

The length AO can be found by

=

=

The moment of inertia about O is given by

I = MR2

…(i)

According to the law of conservation of angular momentum,

Iω = constant

l x (2π/T) = constant

⇒ T ∝ I

From Eq. (i), we get

T ∝ L2

KIITEE Mock Test - 10 - Question 3

Two blocks of masses M and m are connected by a string passing over a pulley as shown in the figure.

The downward acceleration of the block with mass m is

Detailed Solution for KIITEE Mock Test - 10 - Question 3

Two blocks of masses M and m are connected by a string passing over a pulley. Let T is the tension in the string and a is the downward acceleration. Applying II law of motion for the block of mass M.
T = Ma ...(i)
For block of mass m
ma = mg - T ...(ii)

From Equations, (i) and (ii), we get
ma = mg - Ma

KIITEE Mock Test - 10 - Question 4

The rms speed of oxygen molecule in a gas is u, If the temperature is doubted and the molecules dissociates into two atoms, the rms speed will be

Detailed Solution for KIITEE Mock Test - 10 - Question 4
rms speed erf O2 molecule = u

i.e …(i)

where, T = temperature and M = molecular mass. When the temperature is doubled, then O2 dissociates into two atoms.

Hence, the atomic mass of the oxygen atom.

(M') = M/2

∴ rms velocity of the oxygen atom =

KIITEE Mock Test - 10 - Question 5

If the radius of the circular path and frequency of revolution of a particle of mass m are doubled, then the change in its kinetic energy will be (Ei and Er are the Initial and final kinetic energies of the particle respectively.)

Detailed Solution for KIITEE Mock Test - 10 - Question 5
Initial kinetic energy of the body,

Ei = 2π2 mr21f21 ………..(i)

Where, f1 = frequency of revolution of the body.

When, r2 = 2r1 and f2 = and 2f1 , then

Change in kinetic energy,

ΔE = Er -Ei

= 16Ei - Ei = 15 Ei

KIITEE Mock Test - 10 - Question 6

Find the elongation of the steel and brass wire in the fig. unloaded length of steel wire = 1.5 m, unloaded length of brass wire 0.3 cm, diameter of each wire = 0.3 cm. Young's modulus for steel = 20 × 1010 Pa and that for brass = 9.0 × 1010 Pa.

Detailed Solution for KIITEE Mock Test - 10 - Question 6

For steel wire: Y = 20 × 1010 Pa; L = 1.5 m ; d = 0.3 cm = 0.3 × 10−2m
Therefore, area of cross-section of the steel wire,

The stretching force for the steel wire,
F = 4.0 + 6.0 = 10 kgf = 10 × 9.8 N
If l is extension in the steel wire, then

For brass wire: Y = 9.0 × 1010 Pa ; L = 1m;

The stretching force for the brass wire,

F = 6 kgf = 6 × 9.8 N

KIITEE Mock Test - 10 - Question 7

A semiconductor has an electron concentration of 8×1013 per cmand a hole concentration of 5 x 1012 per cm3. The electron mobility is 25000 cm2 V−1 s−1 
 and the hole mobility is 100 cm2 V. s−1 . Then,

Detailed Solution for KIITEE Mock Test - 10 - Question 7

KIITEE Mock Test - 10 - Question 8

The fundamental frequency of the sonometer wire Increases by 9 Hz, if its tension is increased by 69%, keeping the length constant. The frequency of the wire is

Detailed Solution for KIITEE Mock Test - 10 - Question 8
We know that, frequency of vibration of a hed string is given by

where, T = tension in string

m = mass/length

and l = length of string.

New frequency,

⇒ 13v = 10v + 90

v = 30Hz

KIITEE Mock Test - 10 - Question 9

In which reaction, an aromatic aldehyde is treated with acetic anhydride, in presence of the corresponding salt of the acid, to give an unsaturated aromatic acid?

Detailed Solution for KIITEE Mock Test - 10 - Question 9

The reaction gives an α, β-unsaturated aromatic acid by the aldol condensation of an aromatic aldehyde and an acid anhydride, in the presence of an alkali salt of the acid. This reaction is known as Perkin's reaction.

KIITEE Mock Test - 10 - Question 10

Dehydrohalogenation of an alkyl halide is a/an

Detailed Solution for KIITEE Mock Test - 10 - Question 10

(i) In nucleophilic substitution reaction more powerful nucleophile replaces weaker nucleophile.
(ii) In rearrangement reaction atoms replace their position within molecule.
(iii) In elimination reaction small molecules (e.g., H2O, NH3) are lost.

∵ KCl and H2O molecules are lost during reaction.
∴ It is an elimination reaction.

KIITEE Mock Test - 10 - Question 11

For which of the following reactions, Kp = Kc?

Detailed Solution for KIITEE Mock Test - 10 - Question 11

Kp = Kc(RT)Δn
For the reaction,
N2 + O2 ⇌ 2NO
Δn = 2 − 2 = 0
∴ Kp = Kc(RT)0
Kp = Kc

KIITEE Mock Test - 10 - Question 12

What is the product (major) BB in the following reaction?

Detailed Solution for KIITEE Mock Test - 10 - Question 12

A is isopropyl benzene (Cumene)

When photo chlorination of cumene is carried out then chlorine radical get substituted to that carbon where free radical is most stable (major product) therefore, structure of B is

KIITEE Mock Test - 10 - Question 13

The species having pyramidal shape is :

Detailed Solution for KIITEE Mock Test - 10 - Question 13

The shape of a molecule depends upon the hybridisation and number of lone pair(s) on the central atom of the molecule. The hybridisation in a molecule can be determined by the total steric number around the central atom, which is equal to the sum of sigma bonds and lone pair(s) of electrons on the central atom. 
The number of sigma bonds and lone pairs can be determined from the Lewis structure of the molecule.
OSF2
The Lewis structure of the molecule can be represented as under :


Number of sigma bonds = 3
Number of lone pair = 1
Total steric number = 3 + 1 = 4
The hybridistion of a molecule with a steric effect of 4 is sp3. A hybridisation of sp3 is expected to have a tetrahedral geometry, but the presence of a lone pair on the sulphur atom comes into play (VSEPR theory). 
The geometry of a molecule with three sigma bond pairs and one lone pair, according to the VSEPR theory, can be represented as under:

Lone Pair − Bond Pair repulsion > Bond Pair − Bond Pair repulsion
Due to a greater repulsion between the lone pair and bond pair, the bond angle between the lone pair and each S−FS-F bond is more than the bond angles of the F−S−O and O−S−FF-S-O and O-S-F bonds. Thus, the molecule OSF2OSF2 has a trigonal pyramidal geometry.  

SO2
The Lewis structure of the molecule can be represented as under :

Number of sigma bonds = 2
Number of lone pair = 1
Total steric count = 2 + 1 = 3
A steric count of 3 has a hybridisation of sp2. So, the molecule is expected to have a trigonal planar shape, but due to the presence of a lone pair of electrons on the sulphur atom, the geometry changes to a bent structure as follows:

BrF3
The Lewis structure of the molecule can be represented as under :

Number of sigma bonds = 3

Number of lone pairs = 2
Due to the presence of three sigma bonds, and two lone pairs of electrons, BrF3BrF3 shows a trigonal bipyramidal geometry with a distorted T−T-shaped structure.

SiO2−3

The Lewis structure of the molecule can be represented as under :

Number of sigma bond pairs = 3

Numebr of lone pair = 0

Total steric number = 3 + 0 = 3

Hybridisation → sp2
Since there are no lone pairs on the silicon atom, the molecule shows a geometry of trigonal planar, as per its hybridisation. 

KIITEE Mock Test - 10 - Question 14

Calculate the value of ΔG for the reaction given below at 800°C:

Using the following data given (at same temperature),

Detailed Solution for KIITEE Mock Test - 10 - Question 14

For the reaction

ΔGo for the reaction
2ZnS + 3O2 → 2ZnO + 2SO2
Can be obtained by adding eqn. (1), (2) and (3)
⇒ ΔGo = 293 − 480 − 544 = −731 kJ

KIITEE Mock Test - 10 - Question 15

The products obtained when anisole is heated in a sealed tube with HI are

Detailed Solution for KIITEE Mock Test - 10 - Question 15

Anisole reacts with HI to give phenol and methyl iodide. First, anisole on protonation forms methylphenyl oxonium ion. Since the bond between O-CH3 is weaker than the bond between O-C6H5, (because of a partial double bond is character between oxygen and carbon of the benzene ring) it breaks more readily.
Hence, the I- ion attacks and breaks the O-CH3 bond to give CH3I and phenol.

The phenols formed do not react with halides because nucleophilic substitution on aromatic ring is difficult.

KIITEE Mock Test - 10 - Question 16

A hypothetical reaction X2 + Y→ 2XY follows the following mechanism:
X2 → X + X ... fast
X + Y2 →​​​​​​​ XY + Y … slow
X + Y →​​​​​​​ XY … fast
The order of the overall reaction is

Detailed Solution for KIITEE Mock Test - 10 - Question 16

Rate = k[X][Y2]
But the rate law expression cannot be expressed in terms of a reaction intermediate.

Rate = 
Thus, order of the reaction 

KIITEE Mock Test - 10 - Question 17

Any redox reaction would occur spontaneously, if –

Detailed Solution for KIITEE Mock Test - 10 - Question 17

Any redox reaction would occur spontaneously, if the cell emf is positive.

KIITEE Mock Test - 10 - Question 18

Which of the following is formed by free radical polymerisation?

Detailed Solution for KIITEE Mock Test - 10 - Question 18

Addition polymerisation takes place via free radical mechanism. Out of the given polymers, Teflon is an addition polymer. Teflon is manufactured by heating tetrafluoroethene with a free radical or persulphate catalyst at high pressures.

KIITEE Mock Test - 10 - Question 19

Cannizzaro reaction is not shown by which one of the following compound?

Detailed Solution for KIITEE Mock Test - 10 - Question 19

The Cannizzaro reaction is a redox reaction in which two molecules of aldehyde having no α−hydrogen are reacted to produce an alcohol and a salt of carboxylic acid using a hydroxide base. For example formaldehyde, bezaldehyde.

2- methyl propanal exceptionally undergoes Cannizzaro reaction, although it has α −H atom.

Propanal does not undergo Cannizzaro reaction since it has two alpha hydrogen atoms.

KIITEE Mock Test - 10 - Question 20

How many chain isomers could be obtained from the alkane C6H14?

Detailed Solution for KIITEE Mock Test - 10 - Question 20

Chain isomerism is type of structural isomerism. Chain isomers differ in the branching of carbon skeleton. Possible chain isomers of C6H14 are:

Hence, five isomers are possible.

KIITEE Mock Test - 10 - Question 21

The solution of the differential equation dθ/dt = - k(θ - θ0) where k is constant, is …….

Detailed Solution for KIITEE Mock Test - 10 - Question 21
We have a differential equation

dθ/dt = -k(θ - θ0), where k is constant

⇒ (dθ/dt) + kθ = kθ0

Which is linear differential equation in the form of

(dy/dx) + Py = Q

IF = e∫kt = ekt

before the required solution,

(θ)(ekt) = ∫(ekt x kθ0)dt

⇒ θekt = ekt θ0 + a

⇒ θ = θ0 + ae-kt

KIITEE Mock Test - 10 - Question 22

If b + c, c + a, a + b are in H.P., then a2, b2, c2 will be in

KIITEE Mock Test - 10 - Question 23

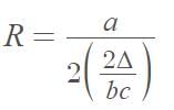
If R is the circum radius of ΔABC, then A (ΔABC) = .......

Detailed Solution for KIITEE Mock Test - 10 - Question 23
In any ΔABC we know that Area of Δ = ½(bc sinA)

⇒ sin A = 2Δ/bc …(i)

also, R = a/2sinA …(ii)

From Eqs. (i) and (ii), we have

⇒ R = abc/4Δ

⇒ Δ = A(ΔABC) = abc/4R

KIITEE Mock Test - 10 - Question 24

II A is non-singular matrix and (A + l) (A - l) = 0 then A + A-1 = ....

Detailed Solution for KIITEE Mock Test - 10 - Question 24

We have, A is non-singular matrix

∴ |A| = 0

and (A + l)(A - l) = 0

⇒ A2 - I2 = 0

⇒ A2 = I2 = I

⇒ A·A = I

⇒ A-1 = A

∴ A + A-1 = A + A = 2A

KIITEE Mock Test - 10 - Question 25

The y-intercept of the line passing through A(6, 1) and perpendicular to the line x - 2y = 4 is ........

Detailed Solution for KIITEE Mock Test - 10 - Question 25
Slope of the given line, x - 2y = 4 is ½

Equation of a line passing through 4(6, 1) and perpendicular to given line is y - 1 = (-2)(x - 6)

⇒ y - 1 = -2x + 12

⇒ 2x + y = 13

∴ the y-intercept of slope (i) is 13.

KIITEE Mock Test - 10 - Question 26

The fourth, seventh, and tenth terms of a G.P. are p, q, and r, respectively. Which of the following is true?

Detailed Solution for KIITEE Mock Test - 10 - Question 26

Let the first term of the G.P. be a and the common ratio be r.
The fourth term is ar3 = p.
The seventh term is ar6 = q.
The tenth term is ar9 = r.
Now, p2 = (ar3)2 = a2r6.
q × r = (ar6) × (ar9) = a2r15.
But if we compare ratios:
q = ar6 = (ar3)r3 = p r3
r = ar9 = (ar3) r6 = p r6
So, p2 = (ar3)2 = a2r6 = q × r / r6
But with the standard formula, for terms at positions n, n+3, n+6 (which this is, since 4, 7, 10 differ by 3), we always have (arn)2 = (arn-3)(arn+3), so p2 = q × r.
Thus, option b) p2 = qr is correct.

KIITEE Mock Test - 10 - Question 27

a and b are non-collinear vectors. If c = (x - 2) a + b and d = (2x + 1)a - b are collinear vectors, then the value of x = .......

Detailed Solution for KIITEE Mock Test - 10 - Question 27

Given, c = (x - 2)a + b and d = (2x + 1)a - b are collinear

∴ c = λd

⇒ (x - 2) a + b = λ[(2x + 1)a - b]

⇒ (x -2)/(2x + 1) = 1/-1 = λ

⇒ 2x + 1 = -x + 2

⇒ 3x = 1

⇒ x = 1/3

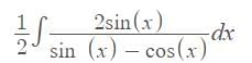
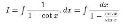
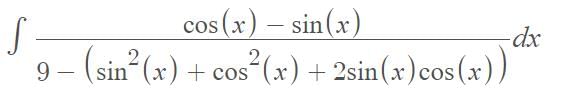
KIITEE Mock Test - 10 - Question 28

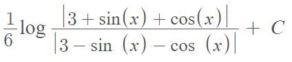
= Ax + B log |sin x - cos x| + c then A + B = …...

Detailed Solution for KIITEE Mock Test - 10 - Question 28

Let sin x - cos x = t

⇒ (cos x + sinx)dx = dt

Here,A=½ , B=½ so, A+B=½+½=1

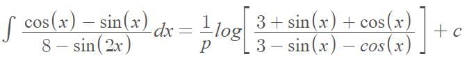
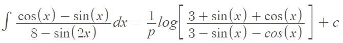
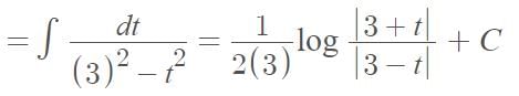
KIITEE Mock Test - 10 - Question 29

If then p = ...

Detailed Solution for KIITEE Mock Test - 10 - Question 29
We have

Now,

put cosx + sinx = t

(-sinx + cosx)dx = dt

∴ p = 6

KIITEE Mock Test - 10 - Question 30

Which of the following can not be the direction cosines of a line?

Detailed Solution for KIITEE Mock Test - 10 - Question 30
We know that, I2 + m2 + n2 = 1

View more questions
Information about KIITEE Mock Test - 10 Page
In this test you can find the Exam questions for KIITEE Mock Test - 10 solved & explained in the simplest way possible. Besides giving Questions and answers for KIITEE Mock Test - 10, EduRev gives you an ample number of Online tests for practice
Download as PDF