JEE Exam  >  JEE Tests  >  KIITEE Mock Test - 3 - JEE MCQ

KIITEE Mock Test - 3 - JEE MCQ


Test Description

30 Questions MCQ Test - KIITEE Mock Test - 3

KIITEE Mock Test - 3 for JEE 2025 is part of JEE preparation. The KIITEE Mock Test - 3 questions and answers have been prepared according to the JEE exam syllabus.The KIITEE Mock Test - 3 MCQs are made for JEE 2025 Exam. Find important definitions, questions, notes, meanings, examples, exercises, MCQs and online tests for KIITEE Mock Test - 3 below.
Solutions of KIITEE Mock Test - 3 questions in English are available as part of our course for JEE & KIITEE Mock Test - 3 solutions in Hindi for JEE course. Download more important topics, notes, lectures and mock test series for JEE Exam by signing up for free. Attempt KIITEE Mock Test - 3 | 120 questions in 180 minutes | Mock test for JEE preparation | Free important questions MCQ to study for JEE Exam | Download free PDF with solutions
KIITEE Mock Test - 3 - Question 1

The effect of rotation of the earth on the value of acceleration due to gravity is

Detailed Solution for KIITEE Mock Test - 3 - Question 1

As g' = g − ω2Rcos2λ

The latitude at a point on the surface of the earth is defined as the angle, which the line joining that point to the centre of the earth makes with equatorial plane.

It is denoted by, λ.

For the poles λ = 90° and for equator λ = 0°.
(i) Substituting λ = 90° in the above expression,

we get,

gpole = g − ω2Rcos290°

∴ gpole = g

i.e., there is no effect of rotational motion of the earth on the value of g at the poles.
(ii) Substituting λ = 0° in the above expression,

we get,

gequator = g − ω2Rcos2

∴ gequator = g − ω2R
i.e., the effect of rotation of the earth on the value of g at the equator is maximum.

KIITEE Mock Test - 3 - Question 2

A variable force, given by the 2-dimensional vector  acts on a particle. The force is in newton and x is in metre. What is the change in the kinetic energy of the particle as it moves from the point with coordinates (2, 3) to (3, 0)? (The coordinates are in metres)

Detailed Solution for KIITEE Mock Test - 3 - Question 2



= 27 + 0 – (8 + 12) = 27 – 20 = +7 J
According to work energy theorem,
Change in the kinetic energy
= Work done, W
= +7 J

KIITEE Mock Test - 3 - Question 3

The current i in the network is

Detailed Solution for KIITEE Mock Test - 3 - Question 3

Both the diodes are in reverse biased.

KIITEE Mock Test - 3 - Question 4

The inductance of a closed-packed coil of 400 turns is 8 mH. A current of 5 mA is passed through it. The magnetic flux through each turn of the coil is

Detailed Solution for KIITEE Mock Test - 3 - Question 4

Given,

Number of turns in the coil, N = 400

The inductance of the coil, L = 8 mH

Current in the coil, i = 5 mA

Let the magnetic flux through each coil be ϕ, then

KIITEE Mock Test - 3 - Question 5

When the temperature increases, the viscosity of,

Detailed Solution for KIITEE Mock Test - 3 - Question 5

Viscosity is the property of fluids by the virtue of which it opposes any relative motion between the layers of fluid or between any object and fluid surrounding it. It is analogous to friction for fluids.
It depends strongly on temperature. In liquids, it usually decreases with increasing temperature, whereas, in gases, viscosity increases with increasing temperature.

KIITEE Mock Test - 3 - Question 6

In the forward bias arrangement of a p-n junction diode

KIITEE Mock Test - 3 - Question 7

When the conductivity of a semiconductor is only due to breaking of covalent bonds, the semiconductor is called

KIITEE Mock Test - 3 - Question 8

The dominant contribution to current comes from holes in case of

KIITEE Mock Test - 3 - Question 9

Suitable impurities are added to a semiconductor depending on its use. This is done to

KIITEE Mock Test - 3 - Question 10

A simple harmonic progressive wave Is represented as y = 0.03 sin π(2t - 0.01x) m. At a given Instant of time, the phase difference between two particles 25 m apart Is

Detailed Solution for KIITEE Mock Test - 3 - Question 10
The given equation of SHM wave is y = 0.03 sin n(2t - 0.01x)m

= 0.03 sin(2πt - 0.01πx) m

Comparing it with general equation, we get y = asin(ωt-kx)

where, k = 2π/λ⇒λ = 200m

The phase deference between two particles is given by Δ∅ = kx = 2π/λ x x …(i)

Here, x = 25m

Substituting the values of x and λ in Eq. (i). we get Δ∅ = (2π/200) x 25 = (π/4)rad

KIITEE Mock Test - 3 - Question 11

The magnetic dipole moment of a short magnetic dipole at a distant point along the equator of magnet has a magnitude of ‘X’ in SI units, tf the distance between the point and the magnet is halved then the magnitude of dipole moment win be

Detailed Solution for KIITEE Mock Test - 3 - Question 11
The magnetic dipole moment is the product of either of pole strength and the magnetic length of dipole. Thus, it is independent of the distance of point at which it is measured. So. it remains unchanged, if the distance between point and the magnet is halved.
KIITEE Mock Test - 3 - Question 12

The highest industrial consumption of molecular hydrogen is to produce compounds of element:

Detailed Solution for KIITEE Mock Test - 3 - Question 12

Hydrogen combines with nitrogen to produce ammonia in Haber's process.
N2(g) + 3H2(g) ⇌ 2NH3(g)
In this process, iron oxide is used with small amounts of K2O and Al2O3 to increase the rate of attainment of equilibrium.
Optimum conditions for the production of ammonia are a pressure of 200 atm and a temperature of 700 K.
Earlier, iron was used as a catalyst with molybdenum as a promoter in this reaction.

KIITEE Mock Test - 3 - Question 13

Which is chlorate (I) ion?

Detailed Solution for KIITEE Mock Test - 3 - Question 13
  • ClO3: A very reactive inorganic anion.
  • The term chlorate can also be used to describe any compound containing the chlorate ion, normally chlorate salts. 
  • Example: Potassium chlorate, KClO3
KIITEE Mock Test - 3 - Question 14

Which of the following chemical reactions represents Hall-Heroult Process?

KIITEE Mock Test - 3 - Question 15

The strength of an aqueous NaOH solution is most accurately determined by titrating:
(Note: Consider that an appropriate indicator is used.)

Detailed Solution for KIITEE Mock Test - 3 - Question 15

In the titration of oxalic acid (weak acid) with a strong base like NaOH, oxalic acid is taken in a conical flask and NaOH is taken in a burette.

KIITEE Mock Test - 3 - Question 16

Which of following is not correct for noblegas?

KIITEE Mock Test - 3 - Question 17

In the given reaction

'A' can be:

Detailed Solution for KIITEE Mock Test - 3 - Question 17


Hence, 'A' is bromo benzene.

KIITEE Mock Test - 3 - Question 18

In crystal structure of sodium chloride, the arrangement of Cl- ions is

KIITEE Mock Test - 3 - Question 19

Oxidation state of + 1 for P is found in

KIITEE Mock Test - 3 - Question 20

In H₂O₂, the oxidation state of oxygen is

KIITEE Mock Test - 3 - Question 21

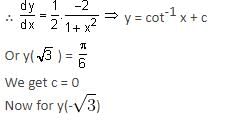
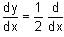
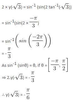
Let f(x) = (sin(tan-1x) + sin(cot-1x))2 - 1, |x| > 1. If  (sin-1(f(x)) and y(√3) = π/6, then y(-√3) is equal to

Detailed Solution for KIITEE Mock Test - 3 - Question 21

f(x) = (sin(tan-1x) + sin(cot-1x))2 - 1

= 1 + 2sin(cot-1x) cos(cot-1x) - 1
f(x) = sin(2cot-1x) = sin(2tan-1x) = sin 2θ
As |x| > 1

Hence, sin-1(f(x) = sin-1(sin(2tan-1x)) = π - 2tan-1x or - π - 2tan-1x


Hence, option (2) is the answer.

KIITEE Mock Test - 3 - Question 22

Let x * y = x2 + y3 and (x * 1) * 1 = x * (1 * 1), then value of 2sin-1 

Detailed Solution for KIITEE Mock Test - 3 - Question 22

Given: x * y = x2 + y3 and (x * 1) * 1 = x * (1 * 1)
So, (x2 + 1) * 1 = x * 2
⇒ (x2 + 1)2 + 1 = x2 + 8
⇒ x4 + 2x2 + 2 = x2 + 8
⇒ (x2)2 + x2 – 6 = 0
⇒ (x2 + 3)(x2 – 2) = 0
∴ (x2 + 3)(x2 – 2) = 0
∴ x2 = 2

KIITEE Mock Test - 3 - Question 23

Let P be a variable point on the parabola y = 4x2 + 1. Then the locus of the mid-point of the point P and the foot of the perpendicular drawn from the point P to the line y = x is:

Detailed Solution for KIITEE Mock Test - 3 - Question 23


KIITEE Mock Test - 3 - Question 24

Let a circle C touch the lines L1 : 4x - 3y + K1 = 0 and L2 : 4x - 3y + K2 = 0, K1, K2  R. If a line passing through the centre of the circle C intersects L1 at (-1, 2) and L2 at (3, -6), then the equation of the circle C is

Detailed Solution for KIITEE Mock Test - 3 - Question 24


L1 : 4x - 3y + K1 = 0
L2 : 4x - 3y + K2 = 0
Now,
-4 - 6 + K1 = 0
⇒ K1 = 10
12 + 18 + K2 = 0
⇒ K2 = -30
⇒ Tangents to the circle are:
4x - 3y + 10 = 0
4x - 3y - 30 = 0
Length of diameter, 2r =  = 8
⇒ r = 4
Now, centre is the mid-point of A and B.
x = 1, y = -2
Equation of the circle,
(x - 1)2 + (y + 2)2 = 16

KIITEE Mock Test - 3 - Question 25

If y = tan-1 (sec x3 - tan x3), 

Detailed Solution for KIITEE Mock Test - 3 - Question 25

KIITEE Mock Test - 3 - Question 26

Detailed Solution for KIITEE Mock Test - 3 - Question 26

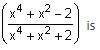
KIITEE Mock Test - 3 - Question 27

The projection of the vector î - 2 ĵ + k̂ on the vector 4 î - 4 ĵ + 7 k̂ is

KIITEE Mock Test - 3 - Question 28

Consider A, B, C and D with position vectors 7î - 4ĵ + 7k̂, î - 6ĵ + 10k̂, -î -3ĵ + 4k̂ and 5î - ĵ + 5k̂ respectively. Then ABCD is a

KIITEE Mock Test - 3 - Question 29

The projection of the vector î - 2 ĵ + k̂ on the vector 4 î - 4 ĵ + 7 k̂ is

KIITEE Mock Test - 3 - Question 30

If vectors ai-2j+3k and 3i+6j-5k are mutually perpendicular, then the value of a is

View more questions
Information about KIITEE Mock Test - 3 Page
In this test you can find the Exam questions for KIITEE Mock Test - 3 solved & explained in the simplest way possible. Besides giving Questions and answers for KIITEE Mock Test - 3, EduRev gives you an ample number of Online tests for practice
Download as PDF