JEE Exam  >  JEE Tests  >  KIITEE Mock Test - 4 - JEE MCQ

KIITEE Mock Test - 4 - JEE MCQ


Test Description

30 Questions MCQ Test - KIITEE Mock Test - 4

KIITEE Mock Test - 4 for JEE 2025 is part of JEE preparation. The KIITEE Mock Test - 4 questions and answers have been prepared according to the JEE exam syllabus.The KIITEE Mock Test - 4 MCQs are made for JEE 2025 Exam. Find important definitions, questions, notes, meanings, examples, exercises, MCQs and online tests for KIITEE Mock Test - 4 below.
Solutions of KIITEE Mock Test - 4 questions in English are available as part of our course for JEE & KIITEE Mock Test - 4 solutions in Hindi for JEE course. Download more important topics, notes, lectures and mock test series for JEE Exam by signing up for free. Attempt KIITEE Mock Test - 4 | 120 questions in 180 minutes | Mock test for JEE preparation | Free important questions MCQ to study for JEE Exam | Download free PDF with solutions
KIITEE Mock Test - 4 - Question 1

If a full wave rectifier circuit is operating from 50 Hz mains, then fundamental frequency in the ripple will be

KIITEE Mock Test - 4 - Question 2

In a common-base amplifier, the phase difference between the input signal voltage and output voltage is

Detailed Solution for KIITEE Mock Test - 4 - Question 2

A common-emitter amplifier is shown in the figure (A).
In this Circuit , the output signal is an amplified version of the input signal and is 180 degrees out of phase with the input signal.

     
Common emitter Amplifier
     

     
Common Base Amplifier
     
Figure (B) is a common-base amplifier. In this circuit the output signal is an amplified version of the input signal and is in phase with the input signal. In both of these circuits, the output signal is controlled by the base-to-emitter bias. As this bias changes (because of the input signal) the current through the transistor changes.

KIITEE Mock Test - 4 - Question 3

Application of a forward bias to a p-n junction

KIITEE Mock Test - 4 - Question 4

Pick out the incorrect statement regarding reverse saturation current in a p - n junction diode.

KIITEE Mock Test - 4 - Question 5
The dominant mechanism for motion of charge carriers in forward and reverse biased silicon p-n junction are
KIITEE Mock Test - 4 - Question 6

In an n-p-n transistor, p-acts as a/an

KIITEE Mock Test - 4 - Question 7

For a transistor working as common-base amplifier, the emitter current is 7.2 mA. If the current gain is 0.96, then the collector current is

KIITEE Mock Test - 4 - Question 8
In a transistor, the emitter-base junction and the collector-base junction are
KIITEE Mock Test - 4 - Question 9
If a half wave rectifier is used to convert 50HZ a.c into d.c number of pulses present in the rectified output voltage is
KIITEE Mock Test - 4 - Question 10

The method of connecting the negative pole of battery to p - material and positive pole to n - material of a p - n junction is called

KIITEE Mock Test - 4 - Question 11
A zener diode works on the principle of
KIITEE Mock Test - 4 - Question 12

If the lattice parameter for a crystalline structure is 3.6 Å , then the atomic radius in fcc crystal is

KIITEE Mock Test - 4 - Question 13

In forward bias, the width of potential barrier in a p-n junction diode

KIITEE Mock Test - 4 - Question 14
In an intrinsic - semiconductor the charge carriers responsible for electrical conduction are
KIITEE Mock Test - 4 - Question 15
The voltage gain of an amplifier with 9% negative feedback is 10. The voltage gain without feedback will be
KIITEE Mock Test - 4 - Question 16

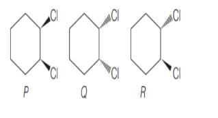
Following compounds are respectively ... geometrical isomers

Detailed Solution for KIITEE Mock Test - 4 - Question 16

In I and II both neighbouring Cl are on the same side, thus both of them are cis whereas for III, both Cl are on the opposite side. Thus, it is trans

So correct option is d) I = cis, II = cis, III = trans 

KIITEE Mock Test - 4 - Question 17

Percentage of lead in lead pencil is

KIITEE Mock Test - 4 - Question 18

In any right angled triangle hypotenuse is equal to 2√2 times the perpendicular drawn from the opposite vertex on it, then other angles are

KIITEE Mock Test - 4 - Question 19

The general value of θ which satisfies tanθ=-1 and cosθ=(1/√2) the equations is

KIITEE Mock Test - 4 - Question 20

The normal to the curve x = a(1+cosθ), y = a sinθ at θ always passes through the fixed point

Detailed Solution for KIITEE Mock Test - 4 - Question 20

Eliminating θ we get (x – a)2 + y2 = a2
Hence normal always pass through (a, 0)

KIITEE Mock Test - 4 - Question 21

If √3 cos θ − sin θ = 1 then θ =

KIITEE Mock Test - 4 - Question 22

If m1, m2 are slopes of the two tangents that are drawn from (2, 3) to the parabola y2 = 4x, then the value of [(1/m1) + (1/m2)] is

KIITEE Mock Test - 4 - Question 23

Let p be a variable point on the ellipse [(x2/a2) + (y2/b2)] = 1 with foci F1 and F2. If A is area of triangle PF1F2, then the maximum value of A is

KIITEE Mock Test - 4 - Question 24

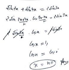
If sin2x+sin4x=2sin3x, then x=

Detailed Solution for KIITEE Mock Test - 4 - Question 24

KIITEE Mock Test - 4 - Question 25

The equation of the parabola whose focus is (1,-1) and directrix is x + y + 7 = 0 is

KIITEE Mock Test - 4 - Question 26

The locus of x2+y2+z=0 is

KIITEE Mock Test - 4 - Question 27

If the pair of lines ax2+ 2hxy + by2 + 2gx + 2fy + c = 0 intersect on the y-axis then

KIITEE Mock Test - 4 - Question 28

The radius of the circle
3x (x - 2) + 3y (y + 1) = 4 is

KIITEE Mock Test - 4 - Question 29

Locus of mid point of the portion between the axes of x cosα + y sinα = p where p is constant is

KIITEE Mock Test - 4 - Question 30

If α is a root of 25cos2θ + 5cosθ - 12 = 0, (π/2)<α<π, then sin2α is equal to

View more questions
Information about KIITEE Mock Test - 4 Page
In this test you can find the Exam questions for KIITEE Mock Test - 4 solved & explained in the simplest way possible. Besides giving Questions and answers for KIITEE Mock Test - 4, EduRev gives you an ample number of Online tests for practice
Download as PDF