JEE Exam  >  JEE Tests  >  KIITEE Mock Test - 5 - JEE MCQ

KIITEE Mock Test - 5 - JEE MCQ


Test Description

30 Questions MCQ Test - KIITEE Mock Test - 5

KIITEE Mock Test - 5 for JEE 2025 is part of JEE preparation. The KIITEE Mock Test - 5 questions and answers have been prepared according to the JEE exam syllabus.The KIITEE Mock Test - 5 MCQs are made for JEE 2025 Exam. Find important definitions, questions, notes, meanings, examples, exercises, MCQs and online tests for KIITEE Mock Test - 5 below.
Solutions of KIITEE Mock Test - 5 questions in English are available as part of our course for JEE & KIITEE Mock Test - 5 solutions in Hindi for JEE course. Download more important topics, notes, lectures and mock test series for JEE Exam by signing up for free. Attempt KIITEE Mock Test - 5 | 120 questions in 180 minutes | Mock test for JEE preparation | Free important questions MCQ to study for JEE Exam | Download free PDF with solutions
KIITEE Mock Test - 5 - Question 1

When water flows at a rate Q through a capillary tube of radius r that is placed horizontally, a pressure difference p develops across the ends of the tube. If the radius of the tube is doubled and the rate of flow halved, the pressure difference becomes

Detailed Solution for KIITEE Mock Test - 5 - Question 1

If the length of capillary tube is l, the pressure difference is given by

where η is the coefficient of viscosity of water. If r becomes 2r and Q becomes Q/2, we have

Hence the correct choice is (a).

KIITEE Mock Test - 5 - Question 2

A transverse sinusoidal wave of amplitude a, wavelength λ and frequency f is travelling on a stretched string. The maximum speed at any point on the string is v/10, where v is the speed of propagation of the wave. If a = 10-3 m and v = 10 ms-1, then λ and f are given by

Detailed Solution for KIITEE Mock Test - 5 - Question 2

KIITEE Mock Test - 5 - Question 3

A 2 μF, capacitor C1 is charged to a voltage 100 V and a 4 μF capacitor C2 is charged to a voltage 50 V. The capacitors are then connected in parallel. What is the loss of energy due to parallel connection?

Detailed Solution for KIITEE Mock Test - 5 - Question 3

Loss in energy when two capacitors are connected in parallel is


KIITEE Mock Test - 5 - Question 4

In forced oscillation of a particle, the amplitude is maximum for a frequency  of the force while the energy is maximum for a frequency ω2 of the force. Then,

Detailed Solution for KIITEE Mock Test - 5 - Question 4

When the frequency of the driving force is equal to the natural frequency i.e. at resonance, the amplitude is maximum.
At resonance, average power absorbed by the forced oscillator is also maximum.
So, both ω1 and ω2 are same at resonant frequencies.

KIITEE Mock Test - 5 - Question 5

Directions: In the following question, Statement-1 (Assertion) is followed by Statement-2 (Reason). The question has the following four choices out of which only one choice is correct.
Statement-1: The critical velocity of a liquid flowing through a tube is inversely proportional to the radius of the tube.
Statement-2: The velocity of a liquid flowing through a tube is inversely proportional to the cross-sectional area of the tube.

Detailed Solution for KIITEE Mock Test - 5 - Question 5

Critical velocity of the liquid flowing through the pipe is , where r is the radius of the pipe and R is the Reynold's number.
Hence, 
The velocity of a liquid flowing through a tube is inversely proportional to the cross-sectional area of the tube.

KIITEE Mock Test - 5 - Question 6

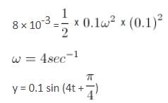
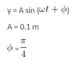
A point particle of mass 0.1 kg is executing SHM of amplitude 0.1 m. When the particle passes through the mean position, its KE is 8 x 10-3 J. What is the equation of motion of this particle if the initial phase of oscillation is 45o?

Detailed Solution for KIITEE Mock Test - 5 - Question 6

KIITEE Mock Test - 5 - Question 7

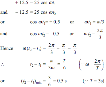
A particle executes SHM of amplitude 25 cm and time period 3 s. What is the minimum time required for the particle to move between two points located at 12.5 cm on either side of the mean position?

Detailed Solution for KIITEE Mock Test - 5 - Question 7

Let A and B be the two extreme positions of the particle with O as the mean position. Displacements to the right of O are taken as positive while those to the left of O are taken as negative

Let the displacement of the particle is SHM be given by

Let us suppose that at time t = 0, the particle is at extreme position B. Setting x = A at t = 0 in Eq. (i)
we have

Now let us say that the particle reaches point C at t = t1 and point D at t = t2. At C, the displacement x(t1) = + 12.5 cm and at D, it is x(t2) = -12.5 cm (see Fig.).
So from (ii) we have

Notice that cos ωt2 = -0.5 even for t2 = 4π/3 .
This value of t2 does not correspond to the minimum time because this is the time at which the particle, moving to left, reaches A and then returns to D.

KIITEE Mock Test - 5 - Question 8

A carnot engine has efficiency 1/5. Efficiency becomes 1/3 when temperature of sin k is decreased by 50 K. What is the temperature of source?

Detailed Solution for KIITEE Mock Test - 5 - Question 8

Let T be temperature of source, T1 be initial temperature of sink in the first case and T2 be temperature of sink in second case.
For the first case,

T1 = 
For the second case,


T1 - T2 = 50

= 50
T = 25 × 15 = 375 K

KIITEE Mock Test - 5 - Question 9

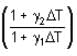
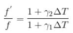
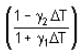
A piece of metal floats on mercury. The coefficients of volume expansion of the metal and mercury are and, respectively. If their temperature is increased by , the fraction of the volume of metal submerged in mercury changes by a factor of

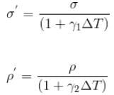
Detailed Solution for KIITEE Mock Test - 5 - Question 9

The fraction of the solid immersed in the liquid is given by:

 

where σ is the density of the solid, ρ is density of the liquid (upthrust = weight), Vi is volume immersed in the liquid and V is the total volume of the immersed body.

If the temperature increases, the fraction of the immersed solid becomes

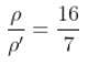
Here,

Therefore, we have

KIITEE Mock Test - 5 - Question 10

The figure below shows the P-V diagram for a fixed mass of an ideal gas undergoing cyclic process ABCA. AB represents an isothermal process.

Which of the following graphs represents the P-T diagram of the cyclic process?

KIITEE Mock Test - 5 - Question 11

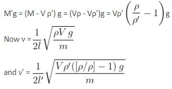
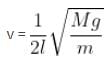
A stone hangs from the free end of a sonometer wire whose vibrating length, when tuned to a tuning fork, is 40 cm. When the stone hangs wholly immersed in water, the resonant length is reduced to 30 cm. The relative density of the stone is

Detailed Solution for KIITEE Mock Test - 5 - Question 11

 where M = mass of stone. If ρ is the density of the stone and V its volume, then m = ρV.
When the stone is wholly immersed in water of density ρ', the effective weight of the stone

Given l = 40 cm and l' = 30 cm.
Also v = v', which gives

Hence the correct choice is (2).

KIITEE Mock Test - 5 - Question 12

The difference between heat of reaction at constant pressure and constant volume for the reaction 2C6H6 (l) + 15SO2 (g) 12 CO2 (g) + 6H2O (l) + 15S (s) at 25oC in kJ mol-1 is

Detailed Solution for KIITEE Mock Test - 5 - Question 12

KIITEE Mock Test - 5 - Question 13

At 27oC, in the presence of a catalyst, the activation energy of a reaction is lowered by 10 J mol-1.
The ratio  is

Detailed Solution for KIITEE Mock Test - 5 - Question 13

For uncatalysed reaction:
log k = log A - 
For catalysed reaction:
log k' = log A - 
Or, log k' = log A - 
log k' = log k + 
log k' - log k = 
  = 1.741 x 10-3

KIITEE Mock Test - 5 - Question 14

What is the H of the reaction 

The average bond energies of C-Cl bond and C-H bond are 416 kJ mol-1 and 325 kJ mol-1, respectively.

Detailed Solution for KIITEE Mock Test - 5 - Question 14

In the reaction, two moles of C-H bonds and two moles of C-Cl bonds are broken.
Hence, energy absorbed = 2 x 416 + 2 x 325
= 1482 kJ

KIITEE Mock Test - 5 - Question 15

Which of the following is incorrect?

Detailed Solution for KIITEE Mock Test - 5 - Question 15

Among the group 15 hydrides, the stability decreases on moving down the group, hence the order of stabilities of the hydrides of group 15 is

NH3 > PH3 > AsH3 > SbH3 > BiH3

This is due to the increasing bond length down the group.
All the other statements are correct.

i.e. NCl3 + 3H2O → NH3 + 3HOCl

Since the P-H bond is greater than the N-H bond, phosphine is a stronger reducing agent than ammonia.
NO is paramagnetic in the gaseous state. However, in the solid state, it dimerises, which results in the pairing of the odd electron.

KIITEE Mock Test - 5 - Question 16


The product of the given reaction is

Detailed Solution for KIITEE Mock Test - 5 - Question 16

Oxymercuration-demercuration of alkenes yields a non-rearranged Markovnikov product.

KIITEE Mock Test - 5 - Question 17

Which of the following does not exist as a zwitter ion?

Detailed Solution for KIITEE Mock Test - 5 - Question 17

The lone pair of electrons on the -NH2 group is donated towards the benzene ring due to resonance effect. As a result, acidic character of -COOH group and basic character of -NH2 group decrease. Therefore, the weakly acidic -COOH group cannot transfer an H+ ion to the weakly basic -NH2 group. Thus, o- and p-aminobenzoic acids do not exist as zwitter ions.

KIITEE Mock Test - 5 - Question 18

ΔH and ΔS for the reaction Ag2O(s) → 2Ag(s) +  1/2Oare 30.56 kJ mol-1 and 66.00 JK-1 mol-1, respectively. The temperature at which the free energy change for the reaction will be zero, is

Detailed Solution for KIITEE Mock Test - 5 - Question 18

From the Gibb's-Helmholtz equation

Hence,

ΔG= 0

KIITEE Mock Test - 5 - Question 19

One mole of an ideal gas is allowed to expand reversibly and adiabatically from a temperature of 27°C. The work done is 3 kJ. The final temperature of the gas is equal to
[Cv = 20 JK-1mol-1]

Detailed Solution for KIITEE Mock Test - 5 - Question 19

W = nCV(T2 - T1)
Work done by the gas = -3 kJ = -3000 J
CV = 20 JK-1 mol-1
n = 1
T1 = 273 + 27 = 300 K, T2 = ?
Putting the values,
-3000 = 1  20(T2 - 300)
-150 = T2 - 300
300 - 150 = T2
⇒  T2 = 150 K

KIITEE Mock Test - 5 - Question 20

In the acidic medium, hydrogen peroxide changes Cr2O72- to CrO5, which has two (-O-O-) bonds. The oxidation state of Cr in CrO5 is

Detailed Solution for KIITEE Mock Test - 5 - Question 20

This option is correct because CrO5 has a butterfly structure having two peroxo bonds as shown below:

In the peroxo bonds, the oxidation state of each oxygen is -1. Now, let the oxidation state of Cr in CrO5 be x.
Therefore, x + 4(-1) + 1(-2) = 0
x = +6

KIITEE Mock Test - 5 - Question 21

CH3 - CH2 - CH = CH2 + HBr  X (major) + Y (minor)
X and Y are

Detailed Solution for KIITEE Mock Test - 5 - Question 21

According to anti-Markovnikov's rule, X is 1-bromobutane and Y is 2-bromobutane.

In this reaction, organic peroxide dissociates butene into free radicals. There is the formation of free radicals as intermediates.

More stable free radicals give major products according to anti-Markovnikov's rule.

KIITEE Mock Test - 5 - Question 22

The differential equation of all non-vertical lines in a plane is

Detailed Solution for KIITEE Mock Test - 5 - Question 22

The general equation of all non-vertical lines in a plane is: ax + by = 1, where b ≠ 0.
 a + b  = 0
 b = 0
 = 0
[ b  0]
This is the required differential equation.

KIITEE Mock Test - 5 - Question 23

A GP consists of an even number of terms (all terms being different). If the sum of all the terms is five times the sum of the terms occupying odd places, then the common ratio will be

Detailed Solution for KIITEE Mock Test - 5 - Question 23

Let 2n be the total number of terms

where T1, T3 ... T2n - 1 are terms occupying odd places

[Sum of G.P., where a is first term and r is common ratio]

 

KIITEE Mock Test - 5 - Question 24

 is equal to

Detailed Solution for KIITEE Mock Test - 5 - Question 24

KIITEE Mock Test - 5 - Question 25

The number of integral values of 'a' for which the equation cos 2x + a sin x = 2a – 7 possesses possible solutions is

Detailed Solution for KIITEE Mock Test - 5 - Question 25

KIITEE Mock Test - 5 - Question 26

If , then  is equal to

Detailed Solution for KIITEE Mock Test - 5 - Question 26

KIITEE Mock Test - 5 - Question 27

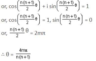
If (cos θ + i sin θ)(cos 2 θ + i sin 2 θ) …. (cos n θ + i sin n θ) = 1, then the value of θ is

Detailed Solution for KIITEE Mock Test - 5 - Question 27

Given that (cos θ + i sin θ)(cos 2 θ + i sin 2 θ) …. (cos n θ + i sin n θ) = 1
or, cos(θ + 2 θ + 3 θ + ….. n θ) + i sin(θ + 2 θ + ……… n θ) = 1

KIITEE Mock Test - 5 - Question 28

A unit vector in xy-plane, which makes an angle of 45° with the vector  and an angle of 60° with the vector , is

Detailed Solution for KIITEE Mock Test - 5 - Question 28

KIITEE Mock Test - 5 - Question 29

If y = f(x), passing through (1, 2), satisfies the differential equation y(1 + xy) dx - xdy = 0, then

Detailed Solution for KIITEE Mock Test - 5 - Question 29

Since y = f(x) and the given differential equation is
y(1 + xy) dx - xdy = 0

Or, 
.
Integrating, we get
, which passes through (1, 2).
∴ c = 1
Then, the curve is

Or, 
.

KIITEE Mock Test - 5 - Question 30

The solution set of (2 cos x − 1)(3 + 2 cos x) = 0 in the interval 0 ≤ x ≤ 2π is

Detailed Solution for KIITEE Mock Test - 5 - Question 30

View more questions
Information about KIITEE Mock Test - 5 Page
In this test you can find the Exam questions for KIITEE Mock Test - 5 solved & explained in the simplest way possible. Besides giving Questions and answers for KIITEE Mock Test - 5, EduRev gives you an ample number of Online tests for practice
Download as PDF