JEE Exam  >  JEE Tests  >  KIITEE Mock Test - 8 - JEE MCQ

KIITEE Mock Test - 8 - JEE MCQ


Test Description

30 Questions MCQ Test - KIITEE Mock Test - 8

KIITEE Mock Test - 8 for JEE 2025 is part of JEE preparation. The KIITEE Mock Test - 8 questions and answers have been prepared according to the JEE exam syllabus.The KIITEE Mock Test - 8 MCQs are made for JEE 2025 Exam. Find important definitions, questions, notes, meanings, examples, exercises, MCQs and online tests for KIITEE Mock Test - 8 below.
Solutions of KIITEE Mock Test - 8 questions in English are available as part of our course for JEE & KIITEE Mock Test - 8 solutions in Hindi for JEE course. Download more important topics, notes, lectures and mock test series for JEE Exam by signing up for free. Attempt KIITEE Mock Test - 8 | 120 questions in 180 minutes | Mock test for JEE preparation | Free important questions MCQ to study for JEE Exam | Download free PDF with solutions
KIITEE Mock Test - 8 - Question 1

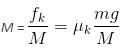
A block of mass m is lying on another block of mass M, lying on a horizontal frictionless surface as shown in the figure. The coefficient of static friction between the two blocks is . If a force F (> mg) is applied to the block of mass m, the acceleration with which the block of mass M will move on the horizontal surface is given by (Here, is the coefficient of kinetic friction between the two blocks)

Detailed Solution for KIITEE Mock Test - 8 - Question 1

If F > μs mg, the block m will start moving on block M. It will, therefore, exert a force on block M due to kinetic friction m and M.
This force fk = μk mg.
Thus, the acceleration of block

Hence, the correct choice is (1).

KIITEE Mock Test - 8 - Question 2

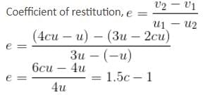
Spheres A and B of equal radius and of masses 2 m and m, respectively, are moving towards each other and strike directly. The speeds of A and B before the collision are 3u and u, respectively. The collision is such that B experiences an impulse of 4mcu, where c is constant.

What is the coefficient of restitution?

Detailed Solution for KIITEE Mock Test - 8 - Question 2

Magnitude of the Impulse received | ΔI| = 4mcu

V1 and V2 are velocities after collision.
Magnitude of impulse is the same on both A and B.
For body A:
2mv1 - 6mu = -4mcu
2mv1 = 6mu - 4cum
V1 = 3u - 2cu(→)
For body B:
mv2 - (-mu) = 4mcu
mv2 = 4mcu - mu
v2 = 4cu - u(→) - speed of B

KIITEE Mock Test - 8 - Question 3

Two blocks of masses m and M are placed on a horizontal frictionless table connected by a spring as shown in the figure. The block of mass M is pulled to the right with a force F. If the acceleration of the block of mass m is 'a', then the acceleration of the block of mass M will be

Detailed Solution for KIITEE Mock Test - 8 - Question 3

For the block with mass m, the force experienced is the spring force.
∴ Spring force = Mass × acceleration = ma
For block with mass M, forces are spring force and the external F

KIITEE Mock Test - 8 - Question 4

A smooth sphere 'A' is moving on a frictionless horizontal surface with angular speed ω and centre of mass velocity v. It collides elastically and head-on with an identical sphere B at rest. Neglect friction everywhere. After the collision, their angular speeds are ωA and ωB, respectively. Then,

Detailed Solution for KIITEE Mock Test - 8 - Question 4

Since there is no friction between the sphere and the horizontal surface and also between the spheres themselves, there will be no transfer of angular momentum from sphere A to sphere B due to the collision. Since the collision is elastic and the spheres have the same mass, the sphere A only transfers its linear velocity v to sphere B. Sphere A will continue to rotate with the same angular speed ω at a fixed location. Hence the correct choice is (3).

KIITEE Mock Test - 8 - Question 5

A solid cylinder of mass M and radius R rolls down an inclined plane of height 'h'. The angular velocity of the cylinder when it reaches the bottom of the plane will be

Detailed Solution for KIITEE Mock Test - 8 - Question 5

KIITEE Mock Test - 8 - Question 6

A force 'F' is applied on a square plate of side 'L'. If percentage error in determination of 'L' is 3% and 'F' is 4%, then the permissible error in pressure is

Detailed Solution for KIITEE Mock Test - 8 - Question 6

We know that, p = 
% error in pressure = (% error in F) + 2(error in L)
= (4%) + 2(3%)
= 10%

KIITEE Mock Test - 8 - Question 7

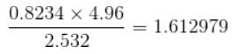
The expression  up to correct significant figures is equal to

Detailed Solution for KIITEE Mock Test - 8 - Question 7

In the expression, we have minimum three significant figures, hence answer should be up to three significant figures.

Rounding off the result 1.612979, we have

KIITEE Mock Test - 8 - Question 8

Which of the following statements is true in context of the solutions of alkali metals?

Detailed Solution for KIITEE Mock Test - 8 - Question 8

Solutions of alkali metals in liquid ammonia are blue coloured due to ammoniated electrons.

These ammoniated electrons absorb red colour from the visible light and so the transmitted light is blue.
Hence, option (4) is correct.

Option (1) is incorrect because the reducing power of the alkali metals increases from sodium to cesium. However, Li has the highest reducing power because of its highest heat of hydration.
Option (2) is incorrect because Li+, being highly hydrated, has the least ion mobility and the least value of ionic velocity.
Option (3) is incorrect because the metal ions are extensively hydrated in their aqueous solutions and the trend of the hydrated ionic radius is as follows.
Li+(aq) > Na+(aq) > K+(aq) > Rb+(aq) > Cs+(aq)
[Note: In solid ionic crystals, the trend of the radii of metal ions is the same as that for the atomic radii, which is Li+ < Na+ < K+ < Rb+ < Cs+]

KIITEE Mock Test - 8 - Question 9

In the Newman projection for 2, 2-dimethylbutane, X and Y, respectively, will be

A. H and H
B. H and C2H5
C. C2H5 and H
D. CH3 and CH3

Detailed Solution for KIITEE Mock Test - 8 - Question 9


The Newman projection formula using C2 and C3 is:

Hence, option (d) is correct.

KIITEE Mock Test - 8 - Question 10

Acid hydrolysis of which of the following compounds yields two different organic compounds?

Detailed Solution for KIITEE Mock Test - 8 - Question 10

Acid hydrolysis of an ester gives two different organic compounds.

KIITEE Mock Test - 8 - Question 11

t1/4 can be taken as the time taken for the concentration of a reactant to drop to 3/4 of its initial value. If the rate constant for a first order reaction is k, then t1/4 can be written as

Detailed Solution for KIITEE Mock Test - 8 - Question 11

For first order reaction,

Here, [Ao] = Initial concentration of reactant and [A] = Final concentration of reactant
When initial concentration drops to 3/4, then


But, t1/4 = t3/4 (given)
Therefore,


 = 

KIITEE Mock Test - 8 - Question 12

What is the product in the following reaction?

Detailed Solution for KIITEE Mock Test - 8 - Question 12

Yes, it is the correct answer.

KIITEE Mock Test - 8 - Question 13

The correct statement about the compounds (A), (B) and (C) is:

Detailed Solution for KIITEE Mock Test - 8 - Question 13

(i) Enantiomers are the pairs of optical isomers which are non-superimposable mirror images of each other.
(ii) Diastereomers are stereoisomers that do not mirror one another and are non-superimposable on one another.
So, in the given compounds:
(A) and (B) are enantiomers. (See by rotating B at 180°.)
(A) and (C) are diastereomers.
(B) and (C) are also diastereomers.
Hence, the correct option is 4.

KIITEE Mock Test - 8 - Question 14

Find the flocculating value of the effective ion formed when 4 ml of 0.005 M solution of barium chloride is added to 16 ml solution of arsenic sulphide after complete coagulation of 2 hours.

Detailed Solution for KIITEE Mock Test - 8 - Question 14

Flocculating value = Millimoles of effective ion (Ba2+) per litre

KIITEE Mock Test - 8 - Question 15

The following equilibria are given:
a. N2 + 3H2  2NH3; K1
b. N2 + O2  2NO; K2
c. H2 + O H2O; K3
The equilibrium constant for the reaction,
2NHO2  2NO + 3H2O in terms of K1, K2 and K3 will be

Detailed Solution for KIITEE Mock Test - 8 - Question 15

From the given equations, we have
K1 = 
K2 = 
K3 = 
For the given reaction,
K = 

K = 

KIITEE Mock Test - 8 - Question 16

Which of the following statements is/are incorrect?
A. The complex ion trans-dichloro bis (ethylenediamine) rhodium(III) is optically active.
B. Secondary valancies are non-directional, whereas primary valencies are directional.
C. Both geometrical and optical types of isomerism are shown by [Co(en)2Cl2]+.

Detailed Solution for KIITEE Mock Test - 8 - Question 16
  • This option is correct because both the statements A and B are incorrect.
  • Trans-dichloro bis (ethylenediamine) rhodium(III) is symmetrical and therefore, is optically inactive.
  • According to Werner's theory, secondary valency is directional, whereas primary valency is non-directional.
  • Geometrical isomers are possible for [Co(en)2Cl2]+ and the cis isomer is optically active.
KIITEE Mock Test - 8 - Question 17

SN2 mechanism is involved in the substitution of

Detailed Solution for KIITEE Mock Test - 8 - Question 17

SN2 mechanism means bimolecular nucleophilic substitution mechanism. In this, rate of reaction is determined by concentration of two molecules. It is characteristic of 10 alkyl halides.
CH3 -CH2 -Cl
10 alkyl halide

KIITEE Mock Test - 8 - Question 18

For the reaction 2H2 + O2  2H2O, H = -571 kJ, bond energy of H - H = 435 kJ/mol and that of O - O = 498 kJ/mol. Calculate the average bond energy (in kJ/mol) of O - H bond using this data.

Detailed Solution for KIITEE Mock Test - 8 - Question 18

KIITEE Mock Test - 8 - Question 19

Consider the following reaction:
CaCO3(s) ⇌ CaO(s) + CO2(g)
The decomposition of limestone is non-spontaneous at 298 K.
The ΔHº and ΔSºvalues for the reaction are 176.0 kJ and 160 JK-1, respectively.
At what temperature will the decomposition become spontaneous?

Detailed Solution for KIITEE Mock Test - 8 - Question 19

According to Gibb's equation:

The reaction becomes spontaneous at a temperature at which  is a negative value.
At 298K:

Since ΔGº is positive, the reaction is not spontaneous at this temperature.



Hence, the reaction is spontaneous above 1100 K or 827oC.

KIITEE Mock Test - 8 - Question 20

When HCHO is treated with C6H5CHO in the presence of KOH, the products formed are

Detailed Solution for KIITEE Mock Test - 8 - Question 20

This reaction is also called crossed Cannizzaro reaction. In this reaction, formaldehyde is oxidised to acid salt, while benzaldehyde is reduced to benzyl alcohol.

KIITEE Mock Test - 8 - Question 21

A solid AB has a NaCl structure. If the radius of cation A+ is 120 pm, then the maximum possible value of the radius of the anion B- will be

Detailed Solution for KIITEE Mock Test - 8 - Question 21

For a NaCl crystal, Cl- ions form the FCC lattice and Na+ ions lie in the octahedral voids.
The minimum value of radius ratio (radius of cation/radius of anion) in an octahedral void is 0.414.

KIITEE Mock Test - 8 - Question 22

The equation for Freundlich adsorption isotherm is

Detailed Solution for KIITEE Mock Test - 8 - Question 22

Freundlich adsorption isotherm
x/m = kp1/n
Here, x/m = Amount of gas adsorbed by adsorbent per gram
k and n = Constant
p = Pressure
Other forms are x = mkp1/n
x/m = kp-n
All equations represent Freundlich adsorption isotherm.

KIITEE Mock Test - 8 - Question 23

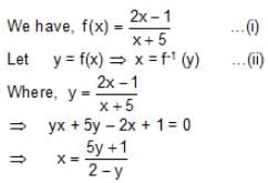
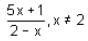
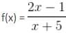
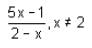
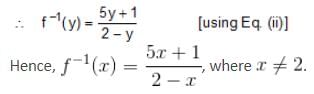
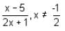
If , Where x ≠ -5, then f-1(x) is equal to

Detailed Solution for KIITEE Mock Test - 8 - Question 23

KIITEE Mock Test - 8 - Question 24

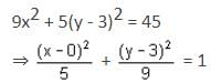
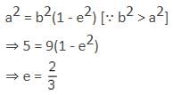
The eccentricity of the ellipse 9x2 + 5y2 - 30y = 0 is

Detailed Solution for KIITEE Mock Test - 8 - Question 24

The given equation can be written as

Hence, a2 = 5, b2 = 9 and the eccentricity is given by

KIITEE Mock Test - 8 - Question 25

is equal to

Detailed Solution for KIITEE Mock Test - 8 - Question 25

KIITEE Mock Test - 8 - Question 26

Find the area (in square units) of the parallelogram whose sides are x + 2y + 3 = 0, 3x + 4y - 5 = 0, 2x + 4y + 5 = 0 and 3x + 4y - 10 = 0.

Detailed Solution for KIITEE Mock Test - 8 - Question 26


Area of parallelogram = 
On comparing with given equations,
a = 1, b = 2, c = 3 and c' = 5/2
a1 = 3, b1 = 4, d = -10 and d' = - 5
Thus, area of parallelogram =  sq. units
 sq. units = 5/4 sq. units

KIITEE Mock Test - 8 - Question 27

An object is moving in clockwise direction around the unit circle x2 + y2 = 1. As it passes through the point (1/2, √3/2), its y-coordinate is decreasing at the rate of 3 units per second. The rate at which the x-coordinate changes at this point is (in units per second)

Detailed Solution for KIITEE Mock Test - 8 - Question 27

According to question:

KIITEE Mock Test - 8 - Question 28

The probability that a teacher will give an unannounced test during any class meeting is 1/5. If a student is absent twice, then the probability that the student will miss at least one test is

Detailed Solution for KIITEE Mock Test - 8 - Question 28

Given that probability that a teacher will give an unannounced test during any class meeting is 1/5.
The probability of not missing the test = 1 - 1/5 = 4/5
The probability of not missing both the tests = (4/5) × (4/5) = 16/25
Hence, probability that he will miss at least one test = 1 - 16/25 = 9/25

KIITEE Mock Test - 8 - Question 29

The equation of the family of lines perpendicular to the line 3x + 4y + 7 = 0, is

Detailed Solution for KIITEE Mock Test - 8 - Question 29

From question, we get the slope of the given line is -3/4.
The slope of line perpendicular to the given line must be 4/3.
Only equation that satisfies the given condition is 4x − 3y + k = 0 (Option 2)

KIITEE Mock Test - 8 - Question 30

The sum of n terms of the series 1 + (1 + 3) + (1 + 3 + 9) + (1 + 3 + 9 + 27) + ...... is

Detailed Solution for KIITEE Mock Test - 8 - Question 30

View more questions
Information about KIITEE Mock Test - 8 Page
In this test you can find the Exam questions for KIITEE Mock Test - 8 solved & explained in the simplest way possible. Besides giving Questions and answers for KIITEE Mock Test - 8, EduRev gives you an ample number of Online tests for practice
Download as PDF