JEE Exam  >  JEE Tests  >  AP EAMCET Mock Test - 3 - JEE MCQ

AP EAMCET Mock Test - 3 - JEE MCQ


Test Description

30 Questions MCQ Test - AP EAMCET Mock Test - 3

AP EAMCET Mock Test - 3 for JEE 2025 is part of JEE preparation. The AP EAMCET Mock Test - 3 questions and answers have been prepared according to the JEE exam syllabus.The AP EAMCET Mock Test - 3 MCQs are made for JEE 2025 Exam. Find important definitions, questions, notes, meanings, examples, exercises, MCQs and online tests for AP EAMCET Mock Test - 3 below.
Solutions of AP EAMCET Mock Test - 3 questions in English are available as part of our course for JEE & AP EAMCET Mock Test - 3 solutions in Hindi for JEE course. Download more important topics, notes, lectures and mock test series for JEE Exam by signing up for free. Attempt AP EAMCET Mock Test - 3 | 160 questions in 180 minutes | Mock test for JEE preparation | Free important questions MCQ to study for JEE Exam | Download free PDF with solutions
AP EAMCET Mock Test - 3 - Question 1

[L2 M1 T-2] are the dimensions of

Detailed Solution for AP EAMCET Mock Test - 3 - Question 1
Dimension of torque is [L2 M1 T-2]

Torque = Force x Perpendicular distance

i.e., τ = F x r

∴ Dimensional formula of τ = [M L T-2] [L] = [ML2 T-2]

AP EAMCET Mock Test - 3 - Question 2

An alternating voltage is given by The voltage will be maximum for the first time when is (T = periodic time)

Detailed Solution for AP EAMCET Mock Test - 3 - Question 2
Given, alternating voltage is

The voltage will be maximum, when

= T/6

Thus, the voltage will be maximum for the first time when t = T/6.

AP EAMCET Mock Test - 3 - Question 3

In the given electrical circuit, which one of the following equations is a correct equation?

Detailed Solution for AP EAMCET Mock Test - 3 - Question 3
The given circuit can be drawn a

Applying Kircbhoff’s voltage law (KVL) in loop ABCDA, we get

-(i1 + i2)R +E2 - i2r2 = 0 ….(i)

Applying KVL in loop ABFEA we get -

- (i1 + i2)R - i1r1 + E1 = 0 ….(ii)

Applying KVL in loop EFCDE, we get

-E1 + i1r1 + E2 - i2r2 = 0 ….(iii)

From the given options, only option (c) satisfies Eq..(ii), hence it is the correct equation.

AP EAMCET Mock Test - 3 - Question 4

A hole is drilled half way to the centre of the earth. A body weighs 300 N on the surface of the earth. How much wil, it weigh at the bottom of the hole?

Detailed Solution for AP EAMCET Mock Test - 3 - Question 4
Given, the distance of the bottom of the hole from the surface of the earth (d) = half the radius of earth = Rο/2

If g be the value of gravitational acceleration on the surface of the earth, then weight of body mg = 300N

If g' be the gravitational acceleration at the bottom of the hole, then

∴ Weight of the body on the bottom erf hole,

mg' = mg/2 = 300/2 = 150N

AP EAMCET Mock Test - 3 - Question 5

A lift is tied with thick iron ropes having mass ‘M’. The maximum acceleration of the lit is ‘a’ m/s2 and the maximum safe stress is ‘S’ N/m2. The minimum diameter of the rope is

Detailed Solution for AP EAMCET Mock Test - 3 - Question 5
The maximum stress produced in a rope is given by

σmax = Force/Area = Mg/πr2

As the ift is accelerating with acceleration a, then

σmax = M(g ± a)/πr2

⇒ r2 = M(g ± a)/πS [Given , σmax = S]

d2/4 = M(g ± a)/πS [∴ r = d/2]

As acceleration maximum i.e., g’ = g + a, so

AP EAMCET Mock Test - 3 - Question 6

A magnetizing field of 5000 A/m produces a magnetic flux of 4 x 10-5 Wb in an iron rod of cross-sectional area 0.4 cm2. The permeability of the rod in Wb/A-m, is

Detailed Solution for AP EAMCET Mock Test - 3 - Question 6
Given, magnetising field, H = 5000A/m

Magnetic flux, ϕ = 4 x 10-5 Wb

Cross-sectional area, A = 0.4 cm2 = 4 x 10-5 m2

∴ Permeability of rod.

AP EAMCET Mock Test - 3 - Question 7

In the network shown cell E has internal resistance r and the galvanometer shows zero deflection. If the cell is replaced by a new cell of 2E and internal resistance 3r keeping ling everything else identical, then

Detailed Solution for AP EAMCET Mock Test - 3 - Question 7
In the given circuit diagram, the galvanometer shows zero deflection, hence it is a Wheatstone ba circuit.

Hence, VA = VB

On replacing a new cell of emf 2E and internal resistance 3r, no effect occurs on balanced condition of bridge, i.e., VA = VB.

Hence, the galvanometer wil shows zero deflection.

AP EAMCET Mock Test - 3 - Question 8

A convex lens of focal length ‘f’ is placed In contact with a concave lens of the same focal length. The equivalent focal fengfo of the combination is

Detailed Solution for AP EAMCET Mock Test - 3 - Question 8
Given, focal length of convex lens, f1 = f and focal length of concave lens, f2 = -f.

The focal length of the combination, when two lenses are in contact is given 1/f = 1/f1 + 1/f2 ….(i)

Substituting given value in Eq. (i), we get

⇒ 1/f = 1/f - 1/f = 0 ⇒ f = ∞

Hence, the equivalent focal length of the combination is infinity.

AP EAMCET Mock Test - 3 - Question 9

Directions: The following question has four choices out of which ONLY ONE is correct.
The heat of neutralisation of acetic acid by sodium hydroxide is −55.9 kJ/mol, and the heat of neutralisation of a strong acid by a strong base is −57.1 kJ/mol. What is the value of ΔH for the ionisation of CH3COOH?

Detailed Solution for AP EAMCET Mock Test - 3 - Question 9


 for a strong acid and a strong base = 
Let 
NaOH, CH3COONa are strong electrolytes and are fully dissociated in the aqueous solutions.
∴ -57.1 - x = -55.9
x = -1.2 kJ mol-1
Therefore, 

AP EAMCET Mock Test - 3 - Question 10

Which of the following amines will not undergo carbylamine reaction?

Detailed Solution for AP EAMCET Mock Test - 3 - Question 10

Carbylamine test is given by aliphatic as well as aromatic primary amines, i.e. amines having --NH2 group.

Hence, dimethyl amine, being a secondary amine, does not undergo carbylamine reaction.

AP EAMCET Mock Test - 3 - Question 11

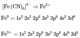
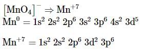
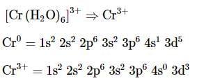
The complex ion without 'd' electron in the central metal atom is which of the following?

Detailed Solution for AP EAMCET Mock Test - 3 - Question 11

The number of d electrons=0

The number of d electrons=6

The number of d electrons=5

The number of d electrons=3
.
.

AP EAMCET Mock Test - 3 - Question 12

What is the time (in sec) required for depositing all the silver present in 125 mL of 1 M AgNO3 solution by passing a current of 241.25 A?
(1F = 96500 coulombs)

Detailed Solution for AP EAMCET Mock Test - 3 - Question 12

Given 125 mL of 1 M AgNO3 solution.

1000 mL of AgNO3 solution contains 108 g Ag.

 125 mL of AgNO3 solution contains

AP EAMCET Mock Test - 3 - Question 13

One atom of an element y weights 6.64 x 10-23 g. Then, find the numbers of moles of atom in 20 kg

Detailed Solution for AP EAMCET Mock Test - 3 - Question 13

AP EAMCET Mock Test - 3 - Question 14

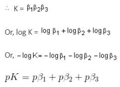
Directions: Consider the following equilibrium equations (omitting charges).

I. M + Cl → MCl, Keq = β1
II. MCl + Cl → MCl2, Keq = β2 
III. MCl2 + Cl → MCl3, Keq = β3
IV. M + 3Cl → MCl3, Keq = K

The relationship(s) between K,β12  and β3 is/are

Detailed Solution for AP EAMCET Mock Test - 3 - Question 14

The equation IV is a sum of equations I, II and III. Hence, its equilibrium constant is the product of equilibrium constants of the three reactions.

AP EAMCET Mock Test - 3 - Question 15

If xy=e(x-y), (dy/dx)=

AP EAMCET Mock Test - 3 - Question 16

In four schools B₁, B₂, B₃, B₄ the percentage of girls students is 12, 20, 13, 17 respectively. From a school selected at random, one student is picked up at random and it is found that the student is a girl. The probability that the school selected is B₂, is

AP EAMCET Mock Test - 3 - Question 17

The projection of the vector î - 2 ĵ + k̂ on the vector 4 î - 4 ĵ + 7 k̂ is

AP EAMCET Mock Test - 3 - Question 18

In two events P(A∪B) = 5/6, P(A) = 5/6, P(B) = 2/3 then A and B are

AP EAMCET Mock Test - 3 - Question 19

The ratio in which the plane r̅.(i̅−2j̅+3k̅)=17 divides the line joining the points -2i̅+4j̅+7k̅ and 3i̅+5j̅+8k is̅

AP EAMCET Mock Test - 3 - Question 20

If in a ∆ABC 2cosA=sinB cosecC, then

Detailed Solution for AP EAMCET Mock Test - 3 - Question 20

AP EAMCET Mock Test - 3 - Question 21

AP EAMCET Mock Test - 3 - Question 22

The order of differential equation (d2y/dx2)= (1+dy/dx)1/2 is

AP EAMCET Mock Test - 3 - Question 23

Find the degree of (y2)2 − √y1 = y3

AP EAMCET Mock Test - 3 - Question 24

The area of the region bounded by the curve y = x - x2 between x = 0 and x = 1 is

Detailed Solution for AP EAMCET Mock Test - 3 - Question 24


area=1/6

AP EAMCET Mock Test - 3 - Question 25

The mean of 5 observations is 4.4 and their variance is 8.24. If three observations are 1, 2 and 6, the other two observations are

AP EAMCET Mock Test - 3 - Question 26

∫tan-1x dx =

AP EAMCET Mock Test - 3 - Question 27

The function which is neither decreasing nor increasing in (π/2, 3π/2) is

AP EAMCET Mock Test - 3 - Question 28

If A = [x y z] ,  

then [ a x2 + b y2 + c z2 + 2 hxy + 2 gzx + 2 fyz ] is

AP EAMCET Mock Test - 3 - Question 29

The equation of the curve passing through the origin and satisfying the differential equation dy/dx = (x − y)2 is

Detailed Solution for AP EAMCET Mock Test - 3 - Question 29

AP EAMCET Mock Test - 3 - Question 30

Let f(x) = [x], where [x] denotes the greatest integer contained in x. Which one of the following is correct?

View more questions
Information about AP EAMCET Mock Test - 3 Page
In this test you can find the Exam questions for AP EAMCET Mock Test - 3 solved & explained in the simplest way possible. Besides giving Questions and answers for AP EAMCET Mock Test - 3, EduRev gives you an ample number of Online tests for practice
Download as PDF