Figure show the circular coil carrying current l kept very close but not touching at a point A on a straight conductor carrying the same current I. The magnitude of magnetic induction at the centre of the circular coil will be
In case of dimension of electric field and electric dipole moment the power of mass is respectively,
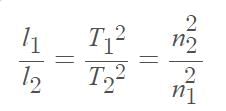
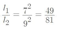
Two pendulums begin to swing simultaneously. The first pendulum makes nine full oscillations when the other makes seven. The ratio of the lengths of toe two pendulums is
Light of wavelength ‘λ‘ is incident on a single slit of width 'a', and the distance between slit and screen is ‘D’. In diffraction pattern, if slit width is equal to the width of the central maximum, then 'D’ is equal to
Six very long insulated (topper wires are bound together to form a cable. The currents carried by the wires are l1 = +10 A, l2 = - 13A , l3 = +10A, l4 = + 7A, l5 = 12A and l6 = 18A. The magnetic induction at a perpendicular distance of 10 cm from the cable is (μ0 = 4π x 10-7 Wb/A-m)
The current i in a coil varies with time as shown in the figure. The variation of induced emf with time would be
An aircraft is moving with uniform velocity 150 m/s in space. If all the forces acting on it are balanced, then it will
An LCR circuit is equivalent to a damped pendulum. In an LCR circuit, the capacitor is charged to Q0 and then connected to the L and R as shown below:
If a student plots graphs of the square of maximum charge on the capacitor with time (t) for two different values L1 and L2 (L1 > L2) of L, then which of the following represents this graph correctly?
(Plots are schematic and not drawn to scale)
Two point charges exert on each other a force F when they are placed r distance apart in air. When they are placed R distance apart in medium of dielectric constant K, they exert the same force. The distance R equals
The compound X is tested by following tests and their result are:
What is the Compound X?
A+2B→C, the rate equation for the reaction is given as
Rate =k[A][B]
If the concentration of A is kept the same but that of B is doubled what will happen to the rate itself?
If 10 volume of H2O2 reacts completely with 100 ml of 2 N KMnO4, calculate the volume of H2O2 used in mL.
Which of the following statements is false for the reaction H2 + Br2 →2HBr?
The rate law is
A heating coil is immersed in a 100 g sample of H2O (l) at 1 atm and 100oC in a closed vessel. In this heating process, 60% of the liquid is converted to the gaseous form at a constant pressure of 1 atm. The densities of liquid and gaseous water under these conditions are 1000 kg m−3 and 0.60 kg m−3, respectively. The magnitude of the work done for the process is -
If the roots of the equation (2k+1)x2 - (7k-3)x+k+2=0 are reciprocal of each other, the value of k is
If the slope of the normal to the curve x3 = 8a2y, a > 0, at a point in the first quadrant is - 2/3, then the point is
If the two roots of the equation x3-3x+2=0 are equal, roots are
If (a, b), (c, d), (e, f) are the verices of a triangle such that a, c, e are in G.P. with common ratio r and b, d, f are in G.P. with common ratio's then the area of the triangle is
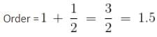
The order of differential equation (d2y/dx2)2 = (1+dy/dx)1/2 is
If the mean of a Poisson's Distribution is λ, then its standard deviation is
If in a Δ A B C , 3 a = b + c then tanB/2 .tan C/2 is equal to
The order of the differential equation y(dy/dx)=x/(dy/dx)+(dy/dx)3 is
p and q are the roots of x2 + ax + b = 0, then equation whose roots are p2q, q2p is
Consider A, B, C and D with position vectors 7î - 4ĵ + 7k̂, î - 6ĵ + 10k̂, -î -3ĵ + 4k̂ and 5î - ĵ + 5k̂ respectively. Then ABCD is a