JEE Exam  >  JEE Tests  >  AP EAMCET Mock Test - 7 - JEE MCQ

AP EAMCET Mock Test - 7 - JEE MCQ


Test Description

30 Questions MCQ Test - AP EAMCET Mock Test - 7

AP EAMCET Mock Test - 7 for JEE 2025 is part of JEE preparation. The AP EAMCET Mock Test - 7 questions and answers have been prepared according to the JEE exam syllabus.The AP EAMCET Mock Test - 7 MCQs are made for JEE 2025 Exam. Find important definitions, questions, notes, meanings, examples, exercises, MCQs and online tests for AP EAMCET Mock Test - 7 below.
Solutions of AP EAMCET Mock Test - 7 questions in English are available as part of our course for JEE & AP EAMCET Mock Test - 7 solutions in Hindi for JEE course. Download more important topics, notes, lectures and mock test series for JEE Exam by signing up for free. Attempt AP EAMCET Mock Test - 7 | 160 questions in 180 minutes | Mock test for JEE preparation | Free important questions MCQ to study for JEE Exam | Download free PDF with solutions
AP EAMCET Mock Test - 7 - Question 1

An electromagnetic wave is propagating along Y-axis. Then

Detailed Solution for AP EAMCET Mock Test - 7 - Question 1

The direction of propagation of the electromagnetic wave is perpendicular to the variation of the electric field  and as well as to the magnetic field  as shown below.

By Applying the Right-hand rule for vector cross product, the direction of propagation of the wave is 

Here, Electric field oscillations is along Z-axis, Magnetic field oscillations is along X-axis and thus the propagation of electromagnetic wave will be along Y-axis.

AP EAMCET Mock Test - 7 - Question 2

The inductance of a closed-packed coil of 400 turns is 8 mH. A current of 5 mA is passed through it. The magnetic flux through each turn of the coil is

Detailed Solution for AP EAMCET Mock Test - 7 - Question 2

Given,

Number of turns in the coil, N = 400

The inductance of the coil, L = 8 mH

Current in the coil, i = 5 mA

Let the magnetic flux through each coil be ϕ, then

AP EAMCET Mock Test - 7 - Question 3

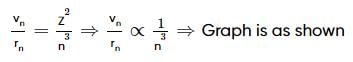
The graph between ratio of speed of electron in nth orbit to radius of nth orbit and n for Bohr’s hydrogen atom is

Detailed Solution for AP EAMCET Mock Test - 7 - Question 3

AP EAMCET Mock Test - 7 - Question 4

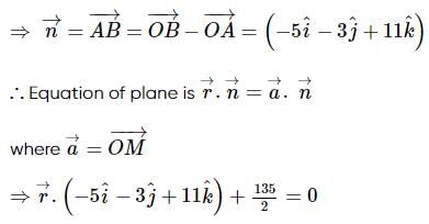
A long straight wire is placed along the axis of a circular ring of radius R. The mutual inductance of this system is

Detailed Solution for AP EAMCET Mock Test - 7 - Question 4

Due to current in the wire, the flux through the ring will be zero. Hence the mutual inductance is zero.

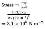
AP EAMCET Mock Test - 7 - Question 5

A steel wire having a radius of 2.0 mm, carrying a load of 4 kg, is hanging from a ceiling. Given that g=3.1π m s−2, what will be the tensile stress that would be developed in the wire?

Detailed Solution for AP EAMCET Mock Test - 7 - Question 5

AP EAMCET Mock Test - 7 - Question 6

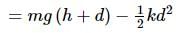
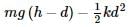
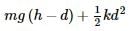
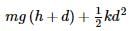
A vertical spring with force constant k is fixed on a table. A ball of mass m at a height h above the free upper end of the spring falls vertically on the spring and at some instant, it compresses the spring by a distance d. The net work done by all the forces up to that instant is

Detailed Solution for AP EAMCET Mock Test - 7 - Question 6

Situation is shown in figure. When mass m falls vertically on spring, then spring is compressed by distance d

Hence, net work done in the process is W = Potential energy stored in the spring+ Loss of potential energy of mass

AP EAMCET Mock Test - 7 - Question 7

Two large conducting plates having surface charge densities + σ & –σ are fixed d distance apart. A small test charge q of mass m is attached to two identical springs as shown in the adjacent figure. The charge q is now released from rest with springs in natural length. Then q will [neglect gravity]:

Detailed Solution for AP EAMCET Mock Test - 7 - Question 7

Given, σ & −σ be the surface charge denisty, electric field between the plates,

Equilibrium position will be at the point where net force is 00.

Consider, Xo be the amplitude.

We know at equilibrium net force is 00.

So,

AP EAMCET Mock Test - 7 - Question 8

A boy throws a ball upwards with velocity u = 15 m s−1. The wind imparts a horizontal acceleration of 3 m s−2 to the left. The angle θ¸ at which the ball must be thrown so that the ball returns to the boy's hand is (use g = 10 m s−2)

Detailed Solution for AP EAMCET Mock Test - 7 - Question 8


The ball is thrown at an angle θ with the horizontal. Thus,

ux = 15cosθ

uy = 15sinθ

In order to return at the same point, net displacement will be zero. Thus, in the horizontal direction,

and in the vertical direction,

⇒ t = 3sinθ ...(3)

from (1) we get, 

t = 10 cosθ  ...(4)
from Eq. (3) and (4), we get,

AP EAMCET Mock Test - 7 - Question 9

A thin wire loop carrying a current I is placed in a uniform magnetic field B pointing out of the plane of the coil as shown in the figure. The loop will tend to

Detailed Solution for AP EAMCET Mock Test - 7 - Question 9

The force experienced by the current element is 
dl is the small current element of the loop and the force is acting perpendicular to the magnetic field as well as current element. So, the loop will expand.
Fleming's left hand rule: At any point, the force exerted by the magnetic field on the current element is directed outwards, and hence loop will expand.
Thus, the correct choice is (c).

AP EAMCET Mock Test - 7 - Question 10

A galvanometer of 50 Ω resistance has 25 divisions. A current of 4 x 10-4 A gives a deflection of one division. To convert this galvanometer into a voltmeter having a range of 25 V, it should be connected with a resistance of

Detailed Solution for AP EAMCET Mock Test - 7 - Question 10

Ig = Current for full-scale deflection = 4 x 10-4 x 25 = 10-2 ohm
R =  ohm in series

AP EAMCET Mock Test - 7 - Question 11

In an n-p-n transistor amplifier, the collector current is 9 mA. If 90% of the electrons from the emitter reach the collector, then

Detailed Solution for AP EAMCET Mock Test - 7 - Question 11

AP EAMCET Mock Test - 7 - Question 12

In the following reaction, which choice has value twice that of the equivalent mass of the oxidising agent SO₂ + H₂O → 3S + 2H₂O

AP EAMCET Mock Test - 7 - Question 13

Among the trihalides of nitrogen which one is most basic?

AP EAMCET Mock Test - 7 - Question 14

The chemical equilibrium of a reversible reaction is not influenced by

AP EAMCET Mock Test - 7 - Question 15

The interionic distance for cesium chloride cystal will be

AP EAMCET Mock Test - 7 - Question 16

Which species represents the electrophile in aromatic nitration?

AP EAMCET Mock Test - 7 - Question 17

Which of the following shows maximum no. of oxidation states?

AP EAMCET Mock Test - 7 - Question 18

The linear inequations for which the shaded area in the following figure is the solution set, are

Detailed Solution for AP EAMCET Mock Test - 7 - Question 18

Let

L1: x + 2y = 8

L2: 2x + y = 2

L3: x − y = 1

Since, the shaded area is below the line L1, therefore we have x + 2y ≤ 8

Since, the shaded area is above the line L2, therefore we have 2x + y ≥ 2

Since, the common region is to the left of the line L3, therefore we have x − y ≤ 1.

Also, the solution region lies in first quadrant, therefore x ≥ 0 & y ≥ 0.

AP EAMCET Mock Test - 7 - Question 19

A differentiable function f is defined as f(x3) = 4x4, for all x. The value of f'(8) is

Detailed Solution for AP EAMCET Mock Test - 7 - Question 19

AP EAMCET Mock Test - 7 - Question 20

The eccentricity of the hyperbola in the standard form  passing through (3, 0) and (3√2, 2) is

Detailed Solution for AP EAMCET Mock Test - 7 - Question 20

 passes through (3, 0) and (3√2, 2)
 
and 
 
 

AP EAMCET Mock Test - 7 - Question 21

Let p and q be two statements. Then, p∨q is false, if

Detailed Solution for AP EAMCET Mock Test - 7 - Question 21

Given,

p and q Are two statements.

Let us construct a truth table for p∨q

From the above truth table, we see that,

p∨q is false when both p and q are false.

AP EAMCET Mock Test - 7 - Question 22

If U = x3 + y3 + z3 − 3xyz, then log U is equal to

Detailed Solution for AP EAMCET Mock Test - 7 - Question 22

As x3 + y3 + z3 − 3xyz = (x + y + z) + (x2 + y2 + z2 − xy − yz − zx)
so  U = (x + y + z)(x2 + y2 + z2 − xy − yz − zx)
logU = log(x + y + z) + log(x2 + y2 + z2 − xy − yz − zx)

AP EAMCET Mock Test - 7 - Question 23

All the real values of m such that both roots of the equation x− 2mx + m− 1 = 0 are greater than −2 and less than 4 lies in

Detailed Solution for AP EAMCET Mock Test - 7 - Question 23

The given equation can be written as

By given condition −2 < m − 1 < m + 1 < 4
⇒ − 1 < m < 3

AP EAMCET Mock Test - 7 - Question 24

 is equal to

Detailed Solution for AP EAMCET Mock Test - 7 - Question 24

AP EAMCET Mock Test - 7 - Question 25

If the roots of the equation x2 - bx + c = 0 are two consecutive integers, then b2 - 4c is equal to

Detailed Solution for AP EAMCET Mock Test - 7 - Question 25

AP EAMCET Mock Test - 7 - Question 26

If a, b and c are in AP, then which of the following is false?

Detailed Solution for AP EAMCET Mock Test - 7 - Question 26

It is clear from the given options that option (4) is false.
Let a = 2, b = 4 and c = 6
Now, consider option (4).
a2 = 4, b2 = 16 and c2 = 36, which is not an AP.

AP EAMCET Mock Test - 7 - Question 27

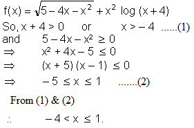
The domain of the real-valued function f(x) =  is

Detailed Solution for AP EAMCET Mock Test - 7 - Question 27

AP EAMCET Mock Test - 7 - Question 28

If p, q and r are negative distinct real numbers, then the determinant 

Detailed Solution for AP EAMCET Mock Test - 7 - Question 28

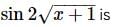
AP EAMCET Mock Test - 7 - Question 29

Period of 

Detailed Solution for AP EAMCET Mock Test - 7 - Question 29

As   is not a linear function of x i.e., of the type ax+b, the given function is not periodic.

AP EAMCET Mock Test - 7 - Question 30

Find the values of x, if .

Detailed Solution for AP EAMCET Mock Test - 7 - Question 30


Apply C C+ C+ C3

Apply R- R1, R- R1
 = 0
=> Expanding along C1
=> (3a - x) = 0
=> x2(3a - x) = 0
=> x = 0, 3a

View more questions
Information about AP EAMCET Mock Test - 7 Page
In this test you can find the Exam questions for AP EAMCET Mock Test - 7 solved & explained in the simplest way possible. Besides giving Questions and answers for AP EAMCET Mock Test - 7, EduRev gives you an ample number of Online tests for practice
Download as PDF