Mathematics Exam  >  Mathematics Tests  >  GATE Mathematics Mock Test - 2 - Mathematics MCQ

GATE Mathematics Mock Test - 2 - Mathematics MCQ


Test Description

30 Questions MCQ Test - GATE Mathematics Mock Test - 2

GATE Mathematics Mock Test - 2 for Mathematics 2025 is part of Mathematics preparation. The GATE Mathematics Mock Test - 2 questions and answers have been prepared according to the Mathematics exam syllabus.The GATE Mathematics Mock Test - 2 MCQs are made for Mathematics 2025 Exam. Find important definitions, questions, notes, meanings, examples, exercises, MCQs and online tests for GATE Mathematics Mock Test - 2 below.
Solutions of GATE Mathematics Mock Test - 2 questions in English are available as part of our course for Mathematics & GATE Mathematics Mock Test - 2 solutions in Hindi for Mathematics course. Download more important topics, notes, lectures and mock test series for Mathematics Exam by signing up for free. Attempt GATE Mathematics Mock Test - 2 | 65 questions in 180 minutes | Mock test for Mathematics preparation | Free important questions MCQ to study for Mathematics Exam | Download free PDF with solutions
GATE Mathematics Mock Test - 2 - Question 1

Fill in the blank with the correct word.

Unfortunately, the commentaries in the guidebook sometimes hinder rather than_____ the visitors' appreciation of the paintings in the gallery

Detailed Solution for GATE Mathematics Mock Test - 2 - Question 1
There are two negative indicators in this sentence-'unfortunately' and `rather than'-both of which imply contrast in ideas. If the author of the sentence finds it unfortunate that the commentaries in the guidebook to the art gallery sometimes hinder the visitors' appreciation of the paintings in it, what will he consider to be the legitimate function of the commentaries? Obviously, `to help', `to increase', `to assist' or `to aid' the visitor appreciation. Among the choices, 'enhance' has the same meaning as 'increase', and is the answer.
GATE Mathematics Mock Test - 2 - Question 2

Directions: In the following question, a square transparent sheet with a pattern is given. Figure out from among the four alternatives as to how the pattern will appear when the transparent sheet is folded along the dotted line.

Detailed Solution for GATE Mathematics Mock Test - 2 - Question 2

The above transparent figure, when folded along the dotted line, becomes

GATE Mathematics Mock Test - 2 - Question 3

Directions: The first figure in the first unit of the Problem Figures bears a certain relationship to the second figure. Similarly one of the figures in the Answer Figures bears the same relationship to the second figure. Locate the figure which would fit in the question mark.

Detailed Solution for GATE Mathematics Mock Test - 2 - Question 3
In each step, inner square is rotated 90° clockwise and dot is on the corner which is empty.
GATE Mathematics Mock Test - 2 - Question 4

One of the four words given in the four options does not fit the set of words. The odd word from the group is

Detailed Solution for GATE Mathematics Mock Test - 2 - Question 4
Humus, loam and clay are types of soil. Coal is a fuel.
GATE Mathematics Mock Test - 2 - Question 5

Every town with a pool hall has its share of unsavoury characters. This is because the pool hall attracts gamblers and all gamblers are unsavoury. Which of the following, if true, cannot be inferred from the above?

Detailed Solution for GATE Mathematics Mock Test - 2 - Question 5
The statement's conclusion is that all towns have unsavoury characters. This conclusion is false. According to the passage, only towns with pool halls have unsavoury characters and since we cannot infer that all towns have pool halls, conclusion (C) is wrong. Alternatives (A) and (B) are stated in the passage, while alternatively (D) can be deduced.
GATE Mathematics Mock Test - 2 - Question 6

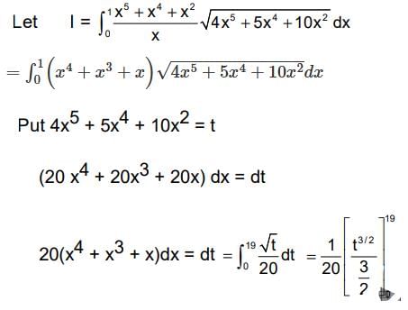
Evaluate 

Detailed Solution for GATE Mathematics Mock Test - 2 - Question 6

Adding (i) and (ii), we get

GATE Mathematics Mock Test - 2 - Question 7

Consider the differential equestion and y = 0 and  x → -∞ then  is

Detailed Solution for GATE Mathematics Mock Test - 2 - Question 7

Given differential equestion is 

multiply bothe of side of equation by ey we get

Take ey = t

Integrating factor = 

solutions is

where c is an arbitrary constant

where u = ex

so 

now 

when x = log2

= not defind

GATE Mathematics Mock Test - 2 - Question 8

Solution of the following differential equation .

Detailed Solution for GATE Mathematics Mock Test - 2 - Question 8

Leibnitz’s linear equation:

Solution is,

GATE Mathematics Mock Test - 2 - Question 9

If  and if  is

Detailed Solution for GATE Mathematics Mock Test - 2 - Question 9

GATE Mathematics Mock Test - 2 - Question 10

Convert the vector P to Cartesian coordinates where P = r ar + cos⁡θ aφ.

Detailed Solution for GATE Mathematics Mock Test - 2 - Question 10

The formula to convert any vector from Spherical coordinates to Cartesian coordinates is given by

after substituting the values of the vector. Now, solving the matrix we get the answer

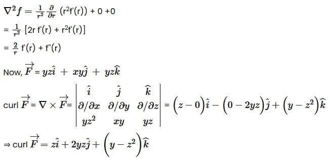
GATE Mathematics Mock Test - 2 - Question 11

Curl of  is

Detailed Solution for GATE Mathematics Mock Test - 2 - Question 11

Hence F is irrotational field as Curl 

GATE Mathematics Mock Test - 2 - Question 12

If ‘p’, ‘q’ and ‘n’ are probability pf success, failure and number of trials respectively in a Binomial Distribution, what is its Standard Deviation ?

Detailed Solution for GATE Mathematics Mock Test - 2 - Question 12

The variance (V) for a Binomial Distribution is given by V = npq

Standard Deviation = 

GATE Mathematics Mock Test - 2 - Question 13

Which of the following is a conic section?

Detailed Solution for GATE Mathematics Mock Test - 2 - Question 13

Circle is a conic section. When the plane cuts the right circular cone at right angles with the axis of the cone, the shape obtained is called as a circle. If the angle is oblique we get the other parts of the conic sections.

*Answer can only contain numeric values
GATE Mathematics Mock Test - 2 - Question 14

Evaluate .


Detailed Solution for GATE Mathematics Mock Test - 2 - Question 14

Let 

Put cos 2θ = t and -2 sin 2θ dθ = dt

Where θ = 0, t = 1

θ = 

= 0.75

*Answer can only contain numeric values
GATE Mathematics Mock Test - 2 - Question 15

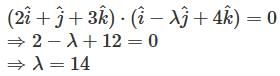
The value of λ for which vectors and are orthogonal is-


Detailed Solution for GATE Mathematics Mock Test - 2 - Question 15

Hence, the correct answer is 14.

*Answer can only contain numeric values
GATE Mathematics Mock Test - 2 - Question 16

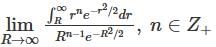
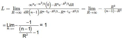
Evaluate limit 


Detailed Solution for GATE Mathematics Mock Test - 2 - Question 16

Since let 

By L hospital rule 

*Answer can only contain numeric values
GATE Mathematics Mock Test - 2 - Question 17

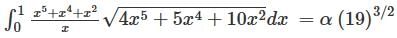
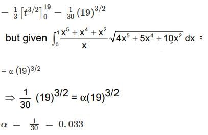
If  then what is the value of α ?


Detailed Solution for GATE Mathematics Mock Test - 2 - Question 17

GATE Mathematics Mock Test - 2 - Question 18

Choose the curl of  at the point (2,1,-2).

Detailed Solution for GATE Mathematics Mock Test - 2 - Question 18

GATE Mathematics Mock Test - 2 - Question 19

Let there be a vector X = yz2 ax + zx2 ay + xy2 az. Find X at P(3,6,9) in cylindrical coordinates.

Detailed Solution for GATE Mathematics Mock Test - 2 - Question 19

The formula for converting a vector from Cartesian coordinates to Cylindrical coordinates is

Substituting the column matrix in right hand side by the given the vector, and solving the matrix we get a vector in cylindrical coordinates. Now change the point P which is in Cartesian coordinates to Cylindrical coordinates. Now, we should substitute the point P in X thus finding the value of X at P. Hence we get the value 100 ax – 398 ay + 108 az.

GATE Mathematics Mock Test - 2 - Question 20

The point (0,0) in the domain of f(x, y) = sin(xy) is a point of

Detailed Solution for GATE Mathematics Mock Test - 2 - Question 20

Differentiating fxx = -y2.sin(xy)

fyy = -x2.sin(xy)

fxy = -yx.sin(xy)

Observe that fxx. fyy – (fxy)2

Hence, it is a saddle point.

GATE Mathematics Mock Test - 2 - Question 21

f(x, y) = sin(x).cos(y) Which of the following is a critical point

Detailed Solution for GATE Mathematics Mock Test - 2 - Question 21

GATE Mathematics Mock Test - 2 - Question 22

If the plane cuts at an angle to the axis but does not cut all the generators then what is the name of the conics formed?

Detailed Solution for GATE Mathematics Mock Test - 2 - Question 22

If the plane cuts at an angle with respect to the axis and does not cut all the generators then the conics formed is a parabola. If the plane cuts all the generators then the conic section formed is called as ellipse.

GATE Mathematics Mock Test - 2 - Question 23

In a Binomial Distribution, if ‘n’ is the number of trials and ‘p’ is the probability of success, then the mean value is given by

Detailed Solution for GATE Mathematics Mock Test - 2 - Question 23

For a discrete probability function, the mean value or the expected value is given by

Mean(μ) =

For Binomial Distribution P(x)= nCx px q(n-x), substitute in above equation and solve to get

µ = np.

GATE Mathematics Mock Test - 2 - Question 24

Find the distance between two points A(5,60.,0) and B(10,90.,0) where the points are given in Cylindrical coordinates.

Detailed Solution for GATE Mathematics Mock Test - 2 - Question 24

First convert each point which is in cylindrical coordinates to Cartesian coordinates. Now using the formula, distance =   and substituting the values of x, y, and z in it, we get the required answer as 6.19 units. This sum can also be solved using a direct formula to find distance using two points in Cylindrical coordinates.

GATE Mathematics Mock Test - 2 - Question 25

Which of the following series converges?

Detailed Solution for GATE Mathematics Mock Test - 2 - Question 25

Hence, series  converges and sum is 5e.

GATE Mathematics Mock Test - 2 - Question 26

If x3y2 is an integrating factor of (6y2 + axy)dx + (6xy + bx2)dy =0, a, b ∈ ℝ then

Detailed Solution for GATE Mathematics Mock Test - 2 - Question 26

Given (6y2 + axy)dx + (6xy + bx2)dy = 0

I. F. = x3y2

multiplying by I.F. in (1). We get

(6y4x3 + ax4y3)dx + (6x4y3 + bx5y2)dy = 0 be exact. Then 

⇒ 24x3y3 + 3ax4y2 = 24a3y3 + 5bx4y2

⇒ 3a = 5b

⇒ 3a - 5b = 0

*Multiple options can be correct
GATE Mathematics Mock Test - 2 - Question 27

Suppose y is a function of x and sin y + cos x = 1 / 2. Find the slope of the tangent line at the point 

Detailed Solution for GATE Mathematics Mock Test - 2 - Question 27

Take the derivative implicity

*Multiple options can be correct
GATE Mathematics Mock Test - 2 - Question 28

What is the formula used to find the area surrounded by the curves in the following diagram?

Detailed Solution for GATE Mathematics Mock Test - 2 - Question 28

The area is present above the x-axis. Area above the x-axis is positive. The area is bounded by x-axis, curve y = f(x), straight lines x=a and x=b. Hence, area is found by integrating the curve with the lines as limits.

*Multiple options can be correct
GATE Mathematics Mock Test - 2 - Question 29

If f(x) = x2 – 3x + 2 and g(x) = x3 – x2 + x – 1 than find value of 

Detailed Solution for GATE Mathematics Mock Test - 2 - Question 29

*Multiple options can be correct
GATE Mathematics Mock Test - 2 - Question 30

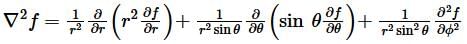
Which of  the following is true?

Detailed Solution for GATE Mathematics Mock Test - 2 - Question 30

 

2 in spherical coordinate is given by

Since  is function of r only

View more questions
Information about GATE Mathematics Mock Test - 2 Page
In this test you can find the Exam questions for GATE Mathematics Mock Test - 2 solved & explained in the simplest way possible. Besides giving Questions and answers for GATE Mathematics Mock Test - 2, EduRev gives you an ample number of Online tests for practice
Download as PDF