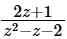
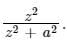
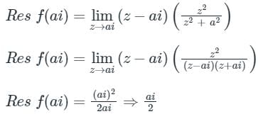
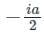
Important Questions for Residue Theorem - 2
Find all the important questions for Residue Theorem - 2 at EduRev.Get fully prepared for Residue Theorem - 2 with EduRev's comprehensive question bank and test resources.
Our platform offers a diverse range of question papers covering various topics within the Residue Theorem - 2 syllabus.
Whether you need to review specific subjects or assess your overall readiness, EduRev has you covered.
The questions are designed to challenge you and help you gain confidence in tackling the actual exam.
Maximize your chances of success by utilizing EduRev's extensive collection of Residue Theorem - 2 resources.
Residue Theorem - 2 MCQs with Answers
Prepare for the Residue Theorem - 2 within the Electronics and Communication Engineering (ECE) exam with comprehensive MCQs and answers at EduRev.
Our platform offers a wide range of practice papers, question papers, and mock tests to familiarize you with the exam pattern and syllabus.
Access the best books, study materials, and notes curated by toppers to enhance your preparation.
Stay updated with the exam date and receive expert preparation tips and paper analysis.
Visit EduRev's official website today and access a wealth of videos and coaching resources to excel in your exam.
Online Tests for Residue Theorem - 2
Practice with a wide array of question papers that follow the exam pattern and syllabus.
Our platform offers a user-friendly interface, allowing you to track your progress and identify areas for improvement.
Access detailed solutions and explanations for each test to enhance your understanding of concepts.
With EduRev's Online Tests, you can build confidence, boost your performance, and ace Residue Theorem - 2 with ease.
Join thousands of successful students who have benefited from our trusted online resources.