GATE Chemical Engineering Exam  >  GATE Chemical Engineering Tests  >  GATE Chemical Engineering Mock Test - 1 - GATE Chemical Engineering MCQ

GATE Chemical Engineering Mock Test - 1 - GATE Chemical Engineering MCQ


Test Description

30 Questions MCQ Test - GATE Chemical Engineering Mock Test - 1

GATE Chemical Engineering Mock Test - 1 for GATE Chemical Engineering 2025 is part of GATE Chemical Engineering preparation. The GATE Chemical Engineering Mock Test - 1 questions and answers have been prepared according to the GATE Chemical Engineering exam syllabus.The GATE Chemical Engineering Mock Test - 1 MCQs are made for GATE Chemical Engineering 2025 Exam. Find important definitions, questions, notes, meanings, examples, exercises, MCQs and online tests for GATE Chemical Engineering Mock Test - 1 below.
Solutions of GATE Chemical Engineering Mock Test - 1 questions in English are available as part of our course for GATE Chemical Engineering & GATE Chemical Engineering Mock Test - 1 solutions in Hindi for GATE Chemical Engineering course. Download more important topics, notes, lectures and mock test series for GATE Chemical Engineering Exam by signing up for free. Attempt GATE Chemical Engineering Mock Test - 1 | 65 questions in 180 minutes | Mock test for GATE Chemical Engineering preparation | Free important questions MCQ to study for GATE Chemical Engineering Exam | Download free PDF with solutions
GATE Chemical Engineering Mock Test - 1 - Question 1

In a classroom at NIT Jaipur, the proportion of boys to girls is 3 to 4. If the total number of students is 84, how many boys and girls are there?

Detailed Solution for GATE Chemical Engineering Mock Test - 1 - Question 1

The total number of students is 84, so:
3x + 4x = 84
Calculate the number of boys and girls:
Number of boys = 3x = 3 × 12 = 36  
Number of girls = 4x = 4 × 12 = 48  

GATE Chemical Engineering Mock Test - 1 - Question 2

Choose the most suitable synonym to fill in the blank:
"After the long hike, we felt completely ________ and needed some time to recuperate."

Detailed Solution for GATE Chemical Engineering Mock Test - 1 - Question 2

"Exhausted" means extremely tired, which fits the context of needing rest after a long hike.

GATE Chemical Engineering Mock Test - 1 - Question 3

Inhaling smoke from a burning _________ could cause _________ to you rapidly.

Detailed Solution for GATE Chemical Engineering Mock Test - 1 - Question 3
  • A homophone refers to a word that is pronounced the same as another word but that has a different spelling and meaning.
  • For example  - 
    • The words 'Peace' ( a stress-free state of security and calmness)  and 'piece' (one of the parts that something is made of)
    • The words 'cent' (small unit of money ) and  'scent' (a pleasant or distinctive smell produced by something)
  • Based on the above given points,  the word 'tyre' fits in the first blank contextually. A tyre is a thick piece of rubber which is fitted onto the wheels of vehicles (रबड़ का एक मोटा टुकड़ा जो वाहनों के पहियों पर लगाया जाता है). ​
    • Ex: Tom was driving along the motorway when his tyre burst.
  • Similarly, the word which is most suitable for the second blank is 'tire' which means 'to become weary' (थक जाना) as the sentence states how the smoke from a burning tire can weaken  a person.

Therefore, the correct answer is Option C.

GATE Chemical Engineering Mock Test - 1 - Question 4

A sphere with a radius of r cm is placed inside a cube-shaped box.
What is the minimum volume (in cm3) of the box required to contain the sphere?

Detailed Solution for GATE Chemical Engineering Mock Test - 1 - Question 4


Diameter of sphere = Side of cube
a = 2r
Volume of cube = (2r)3
= 8r3

GATE Chemical Engineering Mock Test - 1 - Question 5

Rice is an essential and affordable carbohydrate source that plays a vital role in diets around the globe. The impact of climate change, leading to severe weather conditions, threatens the consistent availability of rice. Researchers are focused on creating Green Super Rice (GSR), which can endure extreme weather while producing sustainable higher yields.
Which of the following represents the CORRECT logical conclusion drawn from the information presented in the passage above?

Detailed Solution for GATE Chemical Engineering Mock Test - 1 - Question 5

According to given information let's check option;

A. False, because GSR is resilent under extreme weather.

B. True, GSR may be used in future because it is strong enough to survive in climate changes.

C. False, because GSR gives high yield.

D. False, reguler rice in extreme weather can't gives good yields.

Hence, the correct answer is "Option(B)".

GATE Chemical Engineering Mock Test - 1 - Question 6

A game involves spinning an arrow around a fixed disk, as illustrated below. When the arrow stops, it can land on one of eight equally likely sectors, numbered 1 through 8 as depicted. In this game, two such disks are utilized, with their arrows spun independently.
What is the probability that the sum of the numbers on the sectors where the arrows land after spinning the two disks equals 8?

Detailed Solution for GATE Chemical Engineering Mock Test - 1 - Question 6

Probability of getting only one number = 1/8
As they are independent spins probability of getting one number for each disc is
P = 1/8 x 1/8
Possible outcomes to the sum of 8 = (1, 7), (2, 6), (3, 5), (4, 4), (5, 3), (6, 2), (7, 1)
Required probability = 7/64

GATE Chemical Engineering Mock Test - 1 - Question 7

Examine the following inequalities.
(i) 3p - q < 4
(ii) 3q - p < 12
Which of the following expressions listed below fulfills the conditions set by the two inequalities?

Detailed Solution for GATE Chemical Engineering Mock Test - 1 - Question 7

Adding both equation
2p + 2q < 16
p + q < 8

GATE Chemical Engineering Mock Test - 1 - Question 8

A task can be accomplished by 12 workers in 15 days, with each working 8 hours daily. After 5 days of work, 4 workers exit the project. In order to complete the task within the original timeframe, the remaining workers decide to increase their daily working hours. How many hours must the remaining workers work each day to finish the task on schedule?
12 hours per day

Detailed Solution for GATE Chemical Engineering Mock Test - 1 - Question 8

Since 12 men can complete the project in 15 days working 8 hours a day:
Total work = 12 × 15 × 8 = 1440 man-hours
Calculate the work completed in the first 5 days:
For the first 5 days, 12 men worked 8 hours each day:
Work done in 5 days = 12 × 5 × 8 = 480 man-hours
Calculate the remaining work:
Remaining work = 1440 - 480 = 960 man-hours
Determine the number of men remaining and the time left:
After 5 days, 4 men leave, so only 12 − 4 = 8 men are left.
There are 15 − 5 = 10 days left to complete the project.
Let x be the number of hours per day the remaining 8 men need to work to finish the project on time.
The total work required by these 8 men over the next 10 days is: 8 x 10 * x = 960
x = 960/8 x 10 = 960/80 = 12

Therefore, the remaining 8 men must work 12 hours per day to complete the project on time.

GATE Chemical Engineering Mock Test - 1 - Question 9

Which device is responsible for transforming a mechanical displacement into an electrical signal?

Detailed Solution for GATE Chemical Engineering Mock Test - 1 - Question 9

A strain gauge converts mechanical displacement (strain) into an electrical signal, while thermocouples measure temperature, capacitors store charge, and optical sensors detect light.

GATE Chemical Engineering Mock Test - 1 - Question 10

In a P&ID diagram, which symbol is commonly used to denote a valve?

Detailed Solution for GATE Chemical Engineering Mock Test - 1 - Question 10

In P&ID diagrams, valves are often represented by circles or similar shapes with specific annotations indicating valve type.

GATE Chemical Engineering Mock Test - 1 - Question 11

For the matrix , determine the ordered pair (x, y) such that det(A) = 0.

Detailed Solution for GATE Chemical Engineering Mock Test - 1 - Question 11


For,    |A| = 0
Row 2 element is 2 times of Row 1
=> y = 2x
So, option (b) satisfies this equation.

GATE Chemical Engineering Mock Test - 1 - Question 12

What is the value of the cyclic integral of  dQ/T  for a process that is irreversible?

Detailed Solution for GATE Chemical Engineering Mock Test - 1 - Question 12

Clauses inequality

Its states that in a cyclic operation, the sum of the dQ/T terms around a complete cycle is less than or equal to zero depending on whether the process is irreversible or reversible.

GATE Chemical Engineering Mock Test - 1 - Question 13

A solid metallic object is immersed in water. Its weight in air is 100 N, while its weight when completely submerged in water is 80 N. Calculate the buoyant force acting on the object.

Detailed Solution for GATE Chemical Engineering Mock Test - 1 - Question 13

According to Archimedes' Principle, the buoyant force is equal to the weight of the fluid displaced by the submerged object. The buoyant force can be calculated by the difference in the object's weight in air and its weight when submerged in water.
Weight in air = 100 N
Weight in water = 80 N
Thus, the buoyant force is:
Buoyant Force = Weight in air − Weight in water = 100 N − 80 N = 20 N

GATE Chemical Engineering Mock Test - 1 - Question 14

What is the total energy/heat needed to completely vaporize 10 g of water starting from 0º C? (Given that the heat capacity of water is 4.2 J/g.K and the ΔH vaporization of water is 2260 kJ/kg).

Detailed Solution for GATE Chemical Engineering Mock Test - 1 - Question 14

Q = mCp​ ΔT + mλV
Q = 0.01(4.2 × 100 + 2260 × 100)
ΔT = 373K − 273K
(373K − Boiling point of water; 273 K – Initial Temperature)
= 26800 J = 

GATE Chemical Engineering Mock Test - 1 - Question 15

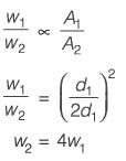
Consider two stationary spherical droplets of pure water with diameters d1 and 2d1. CO2 diffuses into these droplets from the surrounding environment. If the diffusion rate of CO2 into the smaller droplet is W1 mol s-1, what is the rate of CO2 diffusion into the larger droplet?

Detailed Solution for GATE Chemical Engineering Mock Test - 1 - Question 15

We know mass transfer rate, W = Flux × Area

For spherical pure water droplets of d1, rate of diffusion of CO2 is W1 mol/s

For droplet of diameter 2d1, rate of diffusion of CO2 is W2 mol/s

So,

GATE Chemical Engineering Mock Test - 1 - Question 16

In the production of soap, the triglycerides found in fats and oils undergo hydrolysis primarily to yield

*Answer can only contain numeric values
GATE Chemical Engineering Mock Test - 1 - Question 17

A moist solid with 20% (w/w) moisture (calculated based on the mass of the bone-dry solid) is subjected to drying in a tray-dryer. The solid has a critical moisture content of 10% (w/w). For the initial 4 hours, the drying rate (kg m-2 s-1) remains constant, after which it reduces linearly to half its original rate over the next hour. At the conclusion of 5 hours of drying, the moisture content percentage of the solid is ________ % (w/w) (rounded to one decimal place).


Detailed Solution for GATE Chemical Engineering Mock Test - 1 - Question 17

Initial moisture content (xi) = 0.2
Critical moisture content (xc) = 0.1
Time taking in constant rate period,

Given: tc = 4 hr


So,

In case IInd: Falling rate period is linear and rate of drying in falling period is half of rate of drying in constant rate period.

[Given: f = 1 hr]

GATE Chemical Engineering Mock Test - 1 - Question 18

A total of N moles of an ideal gas undergo a two-step transformation as illustrated in the figure. Let P, V, and T represent the pressure, volume, and temperature of the gas, respectively. Starting from state-1 (P1, V1, T1), the gas first undergoes an isochoric process (constant volume) to reach state-A, followed by an isobaric expansion (constant pressure) to arrive at state-2 (P2, V2, T2). For an ideal gas, the relationship CP - CV = NR holds true, where CP and CV denote the heat capacities at constant pressure and constant volume, respectively, and are presumed to be independent of temperature. The total heat absorbed by the gas during this two-step process is represented by

Detailed Solution for GATE Chemical Engineering Mock Test - 1 - Question 18


Assume at point '2' temperature is T.

In process 1 to 2 volume is constant so

du = dQ - dw

du1 = dQ1

du1 = CV (T - T1)

In process 2-3 pressure is constant so

du2 = dQ2 - dw

Here,

dw = P2 (V2 - V1)

du2 = CV (T2 - T)

So, heat gained by process

dQ1 + dQ2 = du1 + du2 + dw

= P2 (V2 - V1) + CV (T2 - T) + CV (T2 - T1)

= P2 (V2 - V1) + CV (T2 - T) + CV (T2 - T1)

Correct option is (a).

GATE Chemical Engineering Mock Test - 1 - Question 19

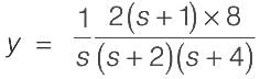
A horizontal cylindrical jet of water with a diameter D1 = 2 cm impacts a vertical solid plate that has a hole of diameter D2 = 1 cm, as illustrated in the figure. Part of the jet flows through the hole while the remainder is redirected along the surface of the plate. The density of water is 1000 kg m-3. Given that the velocity of the jet is 20 m s-1, calculate the magnitude of the horizontal force, in N, necessary to keep the plate stationary.

Detailed Solution for GATE Chemical Engineering Mock Test - 1 - Question 19


Applying momentum balance, we get

GATE Chemical Engineering Mock Test - 1 - Question 20

In a heat exchanger, the log mean temperature difference (LMTD) for a counter-flow arrangement is invariably:

Detailed Solution for GATE Chemical Engineering Mock Test - 1 - Question 20

In a counter-flow heat exchanger, the LMTD is generally higher than in a parallel flow heat exchanger for the same inlet and outlet temperatures, making counter-flow more efficient for heat transfer.

GATE Chemical Engineering Mock Test - 1 - Question 21

In a reaction that follows Michaelis-Menten kinetics, what does the reaction rate approach when the substrate concentrations are significantly high?

Detailed Solution for GATE Chemical Engineering Mock Test - 1 - Question 21

In Michaelis-Menten kinetics, at high substrate concentrations, the enzyme active sites become saturated, and the reaction rate reaches a maximum, constant rate (Vmax​).

*Answer can only contain numeric values
GATE Chemical Engineering Mock Test - 1 - Question 22

An evaporator with a heat transfer area of 70 m2 is used to concentrate a salt solution by utilizing steam. The feed rate and temperature of the salt solution are 10000 kg h-1 and 40°C, respectively. The feed rate and temperature of the saturated steam are 7500 kg h-1 and 150°C, respectively. In the evaporator, the boiling temperature of the solution is 80°C. The average specific heat of the solution is 0.8 kcal kg-1 K-1. The latent heat of vaporization is 500 kcal kg-1. If the steam economy is 0.8, what is the overall heat transfer coefficient in kcal h-1 m-1 K-1 (rounded to the nearest integer)?


Detailed Solution for GATE Chemical Engineering Mock Test - 1 - Question 22

Given,
Area = 70 m2
Latent heat of vaporization (λv) = 500 Kcal/kg
Steam economy = 0.8
Feed flow rate = 10000 kg/h at T = 40°C
Steam rate = 7500 kg/h at T = 150°C
Boiling point of solution, T = 80°C,
Applying energy balance,
FCp(T- TF) + VλV= SλS = U0A0 (Ts- T)
V/S = 0.8
0.8 x 7500 = 6000 kg/n
10000 X 0.8 (80 - 40) + 6000 X 500 = X 70 X (150 - 80)
U0= 677.55 Kcal/m2.h.k

*Answer can only contain numeric values
GATE Chemical Engineering Mock Test - 1 - Question 23

A binary mixture with equal molar amounts is to be separated using a simple tray-distillation column. The feed flow rate is 50 kmol min-1. The mole fractions of the more volatile component in the distillate and bottoms are 0.90 and 0.01, respectively. Both the feed and the reflux stream are saturated liquids. Using the McCabe-Thiele method, the operating line for the stripping section is defined as
y = 1.5 x - 0.005
where y and x represent the mole fractions of the more volatile component in the vapor and liquid phases, respectively. The reflux ratio is ______ (rounded to two decimal places).


Detailed Solution for GATE Chemical Engineering Mock Test - 1 - Question 23

Equimolar binary mixture, x 05
Feed flowrate = 50 kmol/min
xD = 0.9, xw= 0.01
Stripping line equation:
1.5x - 0.005
and Saturated feed (q) = 1

FxF = DxD + WxW
50 x 0.5 = D x 0.9 + w x 0.01
25 = D x 0.9 + (50 - D) x 0.01
25 - 0.5 = D(0.9 - 0.01)
D = 27.52, w = 22.47


For saturated feed

For enriching section
V= L + D
44.94 - 27.52 = L = 17.42 kmol/min
So,

*Answer can only contain numeric values
GATE Chemical Engineering Mock Test - 1 - Question 24

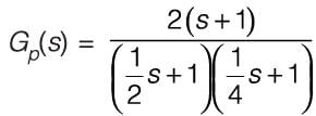
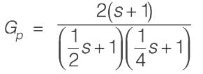
Consider a system with a single input and single output (SISO) defined by the transfer function

where the time constants are measured in minutes. The system receives a unit step input commencing at time t = 0. Calculate the time at which the output response reaches its peak value, rounded to _________ minutes (to two decimal places).


Detailed Solution for GATE Chemical Engineering Mock Test - 1 - Question 24


After step unit, we have


16s + 16 = s2(A + B + C) + s{6A + 4 B + 2 C) + 8 A
Solving,
A = 2
B = 4 
C = -6
y{f) = 2 + 4er-2t - 6e-4t

e-2t + 4t = 3
e2t = 3

Rounding 0.549 to two decimal places gives 0.55 minutes.

Final Answer:
The time at which the output response reaches its peak value is 0.55 minutes.

*Answer can only contain numeric values
GATE Chemical Engineering Mock Test - 1 - Question 25

For a cube with side ‘a’ the sphericity comes out to be 'ϕ1' if the side of cube is changed to ‘2a’ and sphericity becomes 'ϕ2'. what will be the ratio of 


Detailed Solution for GATE Chemical Engineering Mock Test - 1 - Question 25

Sphericity is a measure that describes how closely the shape of an object approaches that of a perfect sphere. It is calculated using the formula:

Sphericity (φ) = (π^(1/3) × (6V)^(2/3)) / A

Where:

  • V is the volume of the object.
  • A is the surface area of the object.

Step-by-Step Calculation

1. Calculate Volume and Surface Area for Both Cubes

  • Original Cube (Side = a)

    • Volume (V1) = a³
    • Surface Area (A1) = 6a²
  • Scaled Cube (Side = 2a)

    • Volume (V2) = (2a)³ = 8a³
    • Surface Area (A2) = 6(2a)² = 24a²

2. Calculate Sphericity for Both Cubes

  • Sphericity of Original Cube (φ1):
    φ1 = (π^(1/3) × (6V1)^(2/3)) / A1
    = (π^(1/3) × (6a³)^(2/3)) / 6a²

    Simplifying (6a³)^(2/3):
    = 6^(2/3) × a²

    Substituting back:
    φ1 = (π^(1/3) × 6^(2/3) × a²) / (6a²)

    Cancelling a²:
    φ1 = (π/6)^(1/3)

  • Sphericity of Scaled Cube (φ2):
    φ2 = (π^(1/3) × (6V2)^(2/3)) / A2
    = (π^(1/3) × (6 × 8a³)^(2/3)) / 24a²

    Simplifying (48a³)^(2/3):
    = 48^(2/3) × a²

    Substituting back:
    φ2 = (π^(1/3) × 48^(2/3) × a²) / (24a²)

    Cancelling a²:
    φ2 = (π/6)^(1/3)

3. Determine the Ratio of Sphericities

From the calculations above:

φ1 = φ2 = (π/6)^(1/3)

Thus, the ratio of φ1 to φ2 is:

φ1 / φ2 = 1

*Answer can only contain numeric values
GATE Chemical Engineering Mock Test - 1 - Question 26

Using the provided particle size analysis, determine the mass mean diameter. Please present your answer rounded to two decimal places in (μm).


Detailed Solution for GATE Chemical Engineering Mock Test - 1 - Question 26

 Mass mean diameter = 
= 308.04 μm

*Answer can only contain numeric values
GATE Chemical Engineering Mock Test - 1 - Question 27

What is the overall yearly expense for option 2?
(in rupees rounded to the nearest whole number) …………………………….


Detailed Solution for GATE Chemical Engineering Mock Test - 1 - Question 27

Annual cost of capital recovery option 2 = 
Total annual cost = 5131.12 + 500 = Rs. 5631.12

*Answer can only contain numeric values
GATE Chemical Engineering Mock Test - 1 - Question 28

In a distillation column operating under conditions of fully mixed vapor and liquid streams, what is the relationship between the point efficiency and the Murphree efficiency in terms of their ratio? (Provide your answer as an integer) ………………


Detailed Solution for GATE Chemical Engineering Mock Test - 1 - Question 28

At the condition of perfectly mixed streams (when the liquid and vapor phases are perfectly mixed and in equilibrium on each tray or stage), the Murphree efficiency and the point efficiency are equal. This happens because when the system is perfectly mixed:
The vapor and liquid are in perfect equilibrium at every stage, and there is no concentration gradient to cause deviations from the ideal behavior.
The mass transfer is happening ideally, so there is no difference between the actual change in composition and the theoretical change.
Thus, the ratio of the point efficiency to the Murphree efficiency will be Ep/EM = 1: 

*Answer can only contain numeric values
GATE Chemical Engineering Mock Test - 1 - Question 29

The differential equation dy/dx = xy2 + 2y x - 4.5, along with the initial condition y(0) = 1, is to be solved using a predictor-corrector method. Employ a predictor based on the implicit Euler's method and a corrector that utilizes the trapezoidal rule of integration, both with a step size of 0.5. Focusing solely on positive values of y, determine the value of y at x = 0.5, rounded to three decimal places.


Detailed Solution for GATE Chemical Engineering Mock Test - 1 - Question 29

dy/dx = xy2 + 2y + x - 4.5

Given:

y(0) = 1

h = 0.5

→ x1 = x0 + h = 0 + 0.5 = 0.5

by Implicit Euler formula

y1 = y0 + h f(x1, y1)

dy = (x y2 + 2y + x - 4.5) dx



By trapezoidal rule,

*Answer can only contain numeric values
GATE Chemical Engineering Mock Test - 1 - Question 30

A venturi meter with a venturi coefficient, Cv = 0.98, is installed in a pipe that has an inner diameter of 50 mm. Water, with a density of 1000 kg m-3, is flowing through this pipe. The pressure drop recorded across the venturi meter is 50 kPa. Given that the diameter of the venturi throat is 20 mm, what is the estimated flow rate of water expressed in ______ x 10-3 m3 s-1 (rounded to two decimal places)?


Detailed Solution for GATE Chemical Engineering Mock Test - 1 - Question 30

Data given: Cd = 0.98

Pipe diameter, D0 = 50 mm, d0 = 20 mm (throat diameter)

ΔP = 50 kPa

ρw = 1000 kg/m3

For venturimeter, the flow rate is given by

View more questions
Information about GATE Chemical Engineering Mock Test - 1 Page
In this test you can find the Exam questions for GATE Chemical Engineering Mock Test - 1 solved & explained in the simplest way possible. Besides giving Questions and answers for GATE Chemical Engineering Mock Test - 1, EduRev gives you an ample number of Online tests for practice
Download as PDF