GATE Chemical Engineering Exam  >  GATE Chemical Engineering Tests  >  GATE Chemical Engineering Mock Test - 2 - GATE Chemical Engineering MCQ

GATE Chemical Engineering Mock Test - 2 - GATE Chemical Engineering MCQ


Test Description

30 Questions MCQ Test - GATE Chemical Engineering Mock Test - 2

GATE Chemical Engineering Mock Test - 2 for GATE Chemical Engineering 2025 is part of GATE Chemical Engineering preparation. The GATE Chemical Engineering Mock Test - 2 questions and answers have been prepared according to the GATE Chemical Engineering exam syllabus.The GATE Chemical Engineering Mock Test - 2 MCQs are made for GATE Chemical Engineering 2025 Exam. Find important definitions, questions, notes, meanings, examples, exercises, MCQs and online tests for GATE Chemical Engineering Mock Test - 2 below.
Solutions of GATE Chemical Engineering Mock Test - 2 questions in English are available as part of our course for GATE Chemical Engineering & GATE Chemical Engineering Mock Test - 2 solutions in Hindi for GATE Chemical Engineering course. Download more important topics, notes, lectures and mock test series for GATE Chemical Engineering Exam by signing up for free. Attempt GATE Chemical Engineering Mock Test - 2 | 65 questions in 180 minutes | Mock test for GATE Chemical Engineering preparation | Free important questions MCQ to study for GATE Chemical Engineering Exam | Download free PDF with solutions
GATE Chemical Engineering Mock Test - 2 - Question 1

What is a significant issue that Donald Trump has emphasized in his 2024 presidential campaign?

Detailed Solution for GATE Chemical Engineering Mock Test - 2 - Question 1

Immigration reform

GATE Chemical Engineering Mock Test - 2 - Question 2

In an adiabatic plug flow reactor, the energy balance equation is utilized to determine the conversion X. Two conclusions are drawn as follows:
Statement 1: Conversion can be expressed as the heat required to elevate the feed stream to temperature T’ compared to the heat released from the reaction at the initial temperature Ti.
Statement 2: Conversion can be described as the ratio of the heat necessary to increase the feed stream temperature to T’ against the heat released by the reaction at T’.     
Select the correct option:

Detailed Solution for GATE Chemical Engineering Mock Test - 2 - Question 2

After solving energy balance
x = Cp ΔT/-ΔH|T  which is statement 2.

GATE Chemical Engineering Mock Test - 2 - Question 3

What is the name of the chemical reaction shown in the image?

GATE Chemical Engineering Mock Test - 2 - Question 4

In the petroleum sector, catalytic reforming is frequently utilized to enhance the quality of fuels. The reaction that is considered undesirable during the catalytic reforming of naphtha is 

GATE Chemical Engineering Mock Test - 2 - Question 5

Identify the incorrect statement:

Detailed Solution for GATE Chemical Engineering Mock Test - 2 - Question 5

For Pseudoplastic fluid, the profile is flatter.

GATE Chemical Engineering Mock Test - 2 - Question 6

A cube made of metal has a side length of 10 cm at a temperature of 20°C. Given that the coefficient of volume expansion for the metal is β = 5 x 10-5 per°C, what will be the change in the cube's volume when the temperature rises to 30°C?

Detailed Solution for GATE Chemical Engineering Mock Test - 2 - Question 6

The formula for the change in volume ΔV\Delta VΔV due to thermal expansion is given by:
ΔV = V0βΔT
Where:
V0​ is the initial volume,
β is the coefficient of volume expansion,
ΔT is the change in temperature.
First, calculate the initial volume V0​ of the cube: V0​ = edge3 =  (10 cm)3 = 1000 cm3
Now, substitute the values into the expansion formula:
ΔV = 1000 cm3 x 5 x 10-5 per°C x (30°C - 20°C)
ΔV = 1000 x 5 x 10-5 x 10 = 0.15 cm3

GATE Chemical Engineering Mock Test - 2 - Question 7

A distillation column is designed to separate an ideal binary mixture to achieve specific purities for the distillate and bottoms at a designated column pressure. Given that RRmin represents the minimum reflux ratio necessary for this separation, identify the statement that is NOT CORRECT regarding how the total annualized cost (TAC) of the column varies with the reflux ratio (RR).

*Answer can only contain numeric values
GATE Chemical Engineering Mock Test - 2 - Question 8

A body receives a total incident radiant energy of 2200 W/m2, which it partially reflects, absorbs, and transmits. Among this energy, 300 W/m2 is reflected and 800 W/m2 is absorbed by the body. What will be the transmissivity of the body?


Detailed Solution for GATE Chemical Engineering Mock Test - 2 - Question 8

*Answer can only contain numeric values
GATE Chemical Engineering Mock Test - 2 - Question 9

The large container depicted in the image holds oil and water. An object is immersed at the boundary between the oil and water, with 45 percent of its volume in oil and the remaining portion in water. What is the density of the object in _________ kg/m3? The specific gravity of oil is 0.7, and the density of water is 1000 kg/m3. The acceleration due to gravity is g = 10 m/s2.


Detailed Solution for GATE Chemical Engineering Mock Test - 2 - Question 9

Let volume of the body is V and density of the body is ρb

Weight of body = Buoyancy force due to oil + Buoyancy force due to water

*Answer can only contain numeric values
GATE Chemical Engineering Mock Test - 2 - Question 10

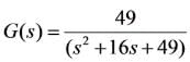
A second-order system characterized by the transfer function, starts from rest and is subjected to a step input. What will be the peak percentage overshoot observed in the system's response?


Detailed Solution for GATE Chemical Engineering Mock Test - 2 - Question 10


ξ > 1 system will be exhibit zero (No) overshoot.

*Multiple options can be correct
GATE Chemical Engineering Mock Test - 2 - Question 11

The unit associated with the following property is m2/s-1.

Detailed Solution for GATE Chemical Engineering Mock Test - 2 - Question 11

Units of mass diffusivity and kinematic viscosity is [m2/s] and is known to everyone.

Thermal diffusivity : 

Dynamic viscosity = [Pa,s]

GATE Chemical Engineering Mock Test - 2 - Question 12

Two extensive parallel flat walls are kept at temperatures of 1000 K and 500 K, respectively. Radiation shields are to be placed between these two walls. It is assumed that the emissivities of both the walls and the shields are the same. Given that the melting temperature of the shields is 900 K, what is the maximum number of shield(s) that can be positioned between the walls?

Detailed Solution for GATE Chemical Engineering Mock Test - 2 - Question 12

Data given:
Emissivities of walls and the shield are equal.
Now, melting point of shield is given as 900 K.
....(i)

Now,

n +1 = 2.72
n = 1.72
Now, the maximum number of shield will be 1.72 so, its integer value will be one.
n = 1

GATE Chemical Engineering Mock Test - 2 - Question 13

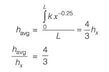
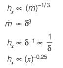
Saturated steam condenses on a vertical plate that is kept at a constant temperature. Let x represent the vertical distance from the top edge of the plate. The local heat transfer coefficient h(x) is proportional to Γ(x)-1/3, where Γ(x) denotes the local mass flow rate of the condensate per unit width of the plate. What is the ratio of the average heat transfer coefficient across the entire plate to the heat transfer coefficient at the bottom of the plate?

Detailed Solution for GATE Chemical Engineering Mock Test - 2 - Question 13

From Nusselt theory, we have

GATE Chemical Engineering Mock Test - 2 - Question 14

Associate the items listed in Group-1 with their corresponding manufacturing processes in Group-2. Identify the correct pairings from the combinations provided in the image below.

GATE Chemical Engineering Mock Test - 2 - Question 15

In a shell and tube heat exchanger, how can the heat transfer area be enhanced?

Detailed Solution for GATE Chemical Engineering Mock Test - 2 - Question 15

a-Increasing the flow rate of the shell-side fluid does not necessarily increase the heat transfer area. It may improve the heat transfer coefficient, but not the area.
b-Increasing the length of the tubes increases the heat transfer surface area, thus increasing the area available for heat exchange.
c-Increasing the heat transfer coefficient can enhance heat transfer, but it does not increase the actual heat transfer area.
d-Decreasing the number of tube passes will reduce the heat transfer surface area, which decreases the heat transfer rate.

GATE Chemical Engineering Mock Test - 2 - Question 16

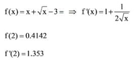
A numerical solution for the equation f(x) = x √(x - 3) = 0 can be found using the Newton-Raphson method. If the initial value for the iteration is x = 2, what is the value of x to be used in the subsequent step?

Detailed Solution for GATE Chemical Engineering Mock Test - 2 - Question 16


By Newton-Raphson method,

*Multiple options can be correct
GATE Chemical Engineering Mock Test - 2 - Question 17

Which of the following statements are CORRECT according to the Surface Renewal Theory of mass transfer?

Detailed Solution for GATE Chemical Engineering Mock Test - 2 - Question 17

The Surface Renewal Theory suggests that eddies are randomly renewed, which implies that the contact time is variable (not steady) and eddies are continuously renewed at the surface. Thus, options a & c are correct. Options b & d are incorrect because the theory does not assume steady-state conditions or constant exposure time for all eddies.

*Multiple options can be correct
GATE Chemical Engineering Mock Test - 2 - Question 18

In a catalytic process happening within a packed bed reactor, which of the following statements are accurate?

Detailed Solution for GATE Chemical Engineering Mock Test - 2 - Question 18

a- The reaction rate depends on the concentration of the reactants in the gas phase.
c- The temperature of the reactor increases if the reaction is exothermic.

*Answer can only contain numeric values
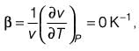
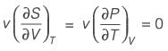
GATE Chemical Engineering Mock Test - 2 - Question 19

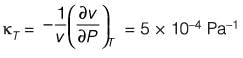
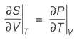
A material at a temperature of 4°C possesses a thermal expansion coefficient and an isothermal compressibility along with a molar volume of v = 18 × 10-6 m3 mol-1. If s denotes the molar entropy, then at 4°C, the calculated value of for the substance is ______ J mol-1 K-1 (rounded to the nearest integer).


Detailed Solution for GATE Chemical Engineering Mock Test - 2 - Question 19

Given at 4°C,

β = 0 K-1

α = 5 × 10-4 Pa-1

κT = 18 × 10-6 m3/mol

Form Maxwell equation

Given:


So value of 

*Answer can only contain numeric values
GATE Chemical Engineering Mock Test - 2 - Question 20

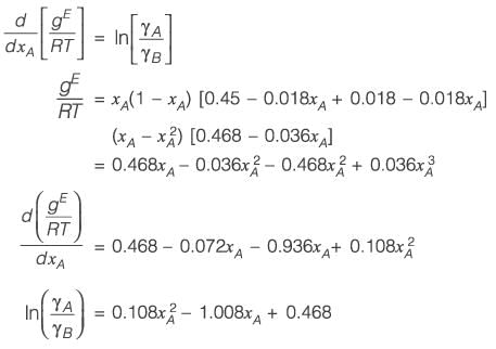
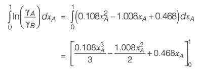
The molar excess Gibbs free energy (gE) of a liquid mixture comprising components A and B is expressed as

where xA and xB represent the mole fractions of A and B, respectively, R is the universal gas constant (8.314 J K-1 mol-1), T denotes the temperature in Kelvin, and C1 and C2 are parameters that vary with temperature. At a temperature of 300 K, the values are C1 = 0.45 and C2 = -0.018. If γA and γB indicate the activity coefficients for A and B, respectively, calculate the value of

at 300 K and 1 bar, rounding off to the nearest integer.


Detailed Solution for GATE Chemical Engineering Mock Test - 2 - Question 20

Given

where, C1 = 0.45 and C2 = -0.018



= [0.036 - 0.504 + 0.468] = 0

*Answer can only contain numeric values
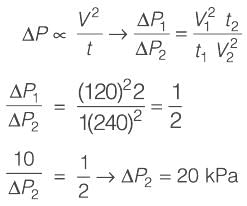
GATE Chemical Engineering Mock Test - 2 - Question 21

In a cake filtration process operating at a constant rate, the volumes of filtrate collected are 120 m3 at 1 minute and 240 m3 at 2 minutes. Considering the cake resistance remains constant and the resistance of the filter medium is negligible, if the pressure drop across the cake is 10 kPa at 1 minute, what is its value at 2 minutes________kPa (rounded to the nearest integer)?


Detailed Solution for GATE Chemical Engineering Mock Test - 2 - Question 21

Data given: t= 1 min, K, = 120 m3, AP1 = 10 kPa
t = 2 min, V2 = 240 m3, AP2 = ?
∝ = Constant, Rm = 0 For constant rate filtration, we have

Thus,

*Answer can only contain numeric values
GATE Chemical Engineering Mock Test - 2 - Question 22

A cylindrical fin with a diameter of 24 mm is mounted horizontally on a vertical flat wall. The heat transfer rate from the fin to the ambient air is 60% of what it would be if the entire fin were at the wall temperature. Given that the fin effectiveness is 10, determine the length of the fin in mm, rounding to the nearest integer.


Detailed Solution for GATE Chemical Engineering Mock Test - 2 - Question 22

Data given: D = 24 mm
nefficiency = 60% = 0.60
10 [effectiveness]
Now, we have relation between and g, that is given by
As = Surface area
Ac = Cross sectional area


*Answer can only contain numeric values
GATE Chemical Engineering Mock Test - 2 - Question 23

An elementary irreversible reaction in the gas phase, represented as A → B C, is performed at constant temperature and pressure in two different types of ideal reactors:
(i) a 10 m3 plug flow reactor (PFR),
(ii) a 10 m3 continuous-stirred tank reactor (CSTR).

When pure A is introduced at a rate of 5 m3 h-1 into the PFR operating at 400 K, the conversion achieved is 80%. Conversely, if a mixture containing 50 mol% of A and 50 mol% of an inert substance is supplied at 5 m3 h-1 to the CSTR functioning at 425 K, the conversion remains 80%. The universal gas constant R is 8.314 J mol-1 K-1. Assuming an Arrhenius rate law, the estimated activation energy is _________ kJ mol-1 (rounded to one decimal place).


Detailed Solution for GATE Chemical Engineering Mock Test - 2 - Question 23

PFR:
A → B + C




Now for CSTR,

Using Arrhenius equation,

which implies E = 47.4 KJ/mol (rounded off to one decimal place).

*Answer can only contain numeric values
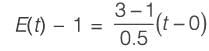
GATE Chemical Engineering Mock Test - 2 - Question 24

An irreversible liquid-phase reaction of elementary nature, occurs in a non-ideal reactor at constant temperature. The rate constant is given as k = 2 L mol-1 min-1. The E-curve from a tracer study is illustrated in the figure. A concentration of pure P (2 mol L-1) is introduced into the reactor. By applying the segregated model, the percentage conversion of P at the reactor's outlet is _________ % (rounded to the nearest integer).


Detailed Solution for GATE Chemical Engineering Mock Test - 2 - Question 24

Using segregation model, the mean conversion is given by

Now for II order, we know 

⇒ 
From E-curve,
[Area will be one]


⇒ E(t) = 4t + 1
Now for,

x = 0.5 = 50%

*Answer can only contain numeric values
GATE Chemical Engineering Mock Test - 2 - Question 25

Consider the process illustrated in the figure. The elementary reactions in the liquid phase occur within a continuous stirred tank reactor (CSTR), where Xj represents the mole fraction of the / h component (j = A, B, P, S) in the CSTR. It is noted that k2 = k3. All streams related to the process feed, exit, and recycle are pure. At steady state, the net generation rate of the undesired product, S, within the CSTR is zero. As q = xA/xB is modified at a constant reactor temperature, the reactor volume is adjusted to keep a consistent single-pass conversion of B. For a specified product rate and a 90% conversion of B in the reactor, what is the value of q that minimizes the total molar flow rates of the A and S recycle streams? Please round off your answer to one decimal place.


*Answer can only contain numeric values
GATE Chemical Engineering Mock Test - 2 - Question 26

An irreversible liquid-phase reaction of the type 2A → B is conducted at constant temperature in a 1 m3 ideal plug flow reactor (PFR) as illustrated in the figure. The volumetric flow rate of the incoming fresh A is v1 = 10 m3 h-1, with a concentration of CA1 = 2 kmol m-3. With a recycle ratio R = 0, the conversion of A at position 2, relative to the fresh feed at position 1, is 50%. For R → ∞, what is the corresponding conversion of A, expressed as ________ % (rounded to one decimal place)?


Detailed Solution for GATE Chemical Engineering Mock Test - 2 - Question 26

Now for PFR 

Now, 
x2 - 3x + 1 = 0
Solving, x = 0.382, 38.2%

*Answer can only contain numeric values
GATE Chemical Engineering Mock Test - 2 - Question 27

The vapor pressures of components A and B are specified as 4 atm and 1.5 atm, respectively.
A liquid feed containing 0.32 moles of component A undergoes vaporization. Determine the mole fraction of component A in the vapor phase.
Given: The products of components A and B are in equilibrium.


Detailed Solution for GATE Chemical Engineering Mock Test - 2 - Question 27

P = (4 × 0.32) + (1.5 × 0.68) = 2.3 atm

*Answer can only contain numeric values
GATE Chemical Engineering Mock Test - 2 - Question 28

Determine the duration required to drain a cone filled with syrup that will be used to coat the cake.
Data :
Height of syrup = 25 cm at t = 0

Bottom diameter = 0.5 cm
The flow is considered to be viscous, streamlined, and incompressible.
(Provide your answer in seconds)


Detailed Solution for GATE Chemical Engineering Mock Test - 2 - Question 28

After driving rate of change of height ; ; 32.44 seconds

*Answer can only contain numeric values
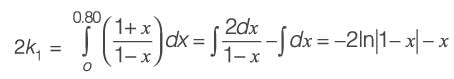
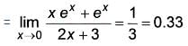
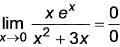
GATE Chemical Engineering Mock Test - 2 - Question 29

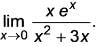
What is the value of
(Upto three decimal places)


Detailed Solution for GATE Chemical Engineering Mock Test - 2 - Question 29

  (Apply L’ Hospital Rule)

*Answer can only contain numeric values
GATE Chemical Engineering Mock Test - 2 - Question 30

An irreversible first-order reaction A → B takes place in a batch reactor. The starting concentration of A is 2 mol/L, and the rate constant k is 0.1 min−1.
What will be the concentration of A after 15 minutes, _______ in mol/L, rounded to two decimal places?


Detailed Solution for GATE Chemical Engineering Mock Test - 2 - Question 30

For a first-order reaction, the concentration of A at time t is given by the equation:
CA = CA0.e-kt
Where:
CA is the concentration of A at time t, CA0​ - is the initial concentration of A, K - is the rate constant  &  t - is the time.
Given: 
CA0 = 2 mol / L, K = 0.1 min-1, t = 15 min.
Now, substituting the values:
CA = 2.e-0.1x15 = 0.45 mol / L

View more questions
Information about GATE Chemical Engineering Mock Test - 2 Page
In this test you can find the Exam questions for GATE Chemical Engineering Mock Test - 2 solved & explained in the simplest way possible. Besides giving Questions and answers for GATE Chemical Engineering Mock Test - 2, EduRev gives you an ample number of Online tests for practice
Download as PDF