GATE Chemical Engineering Exam  >  GATE Chemical Engineering Tests  >  GATE Chemical Engineering Mock Test - 3 - GATE Chemical Engineering MCQ

GATE Chemical Engineering Mock Test - 3 - GATE Chemical Engineering MCQ


Test Description

30 Questions MCQ Test - GATE Chemical Engineering Mock Test - 3

GATE Chemical Engineering Mock Test - 3 for GATE Chemical Engineering 2025 is part of GATE Chemical Engineering preparation. The GATE Chemical Engineering Mock Test - 3 questions and answers have been prepared according to the GATE Chemical Engineering exam syllabus.The GATE Chemical Engineering Mock Test - 3 MCQs are made for GATE Chemical Engineering 2025 Exam. Find important definitions, questions, notes, meanings, examples, exercises, MCQs and online tests for GATE Chemical Engineering Mock Test - 3 below.
Solutions of GATE Chemical Engineering Mock Test - 3 questions in English are available as part of our course for GATE Chemical Engineering & GATE Chemical Engineering Mock Test - 3 solutions in Hindi for GATE Chemical Engineering course. Download more important topics, notes, lectures and mock test series for GATE Chemical Engineering Exam by signing up for free. Attempt GATE Chemical Engineering Mock Test - 3 | 65 questions in 180 minutes | Mock test for GATE Chemical Engineering preparation | Free important questions MCQ to study for GATE Chemical Engineering Exam | Download free PDF with solutions
GATE Chemical Engineering Mock Test - 3 - Question 1

Identify the segment containing the mistake in the following sentence:

(i) No sooner had the hockey match begun (ii) than it started (iii) to rain (iv) no error.

Detailed Solution for GATE Chemical Engineering Mock Test - 3 - Question 1

‘No sooner ……..than’ is the right combination

GATE Chemical Engineering Mock Test - 3 - Question 2

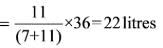
Somnath purchased two types of oil: soya oil and olive oil. He prepared two mixtures using these oils. The first mixture contains soya and olive oil in a ratio of 3:4, while the second mixture has a ratio of 5:6. When he combines these two mixtures to create a third mixture of 36 liters, the ratio of soya oil to olive oil in this new mixture is 4:5. What is the amount of the second mixture that is needed?

Detailed Solution for GATE Chemical Engineering Mock Test - 3 - Question 2

Taking amount of soya oil in both mixtures,


Ratio = 7: 11

Required quantity of second mixture to make the 36 litre of 3rd type of mixture

GATE Chemical Engineering Mock Test - 3 - Question 3

During a fixed period, a boy swims twice the distance downstream compared to the distance he swims upstream. Given that the speed of the current is 3 km/hr, what is the speed of the boy in still water?

Detailed Solution for GATE Chemical Engineering Mock Test - 3 - Question 3

Let speed of boy in still water be x km/hr.
Speed of current is 3km/hr
Downstream speed = (x + 3) km/hr
Upstream speed = (x –3) km/hr
We know distance varies with speed and time relation, let t be time in hours
(x+3) x T  = 2 (x-3) x t
x = 9 km/hr

GATE Chemical Engineering Mock Test - 3 - Question 4

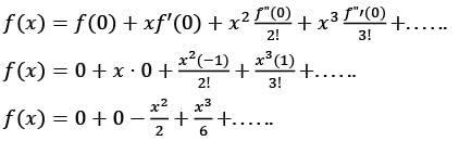
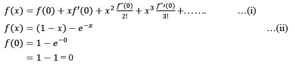
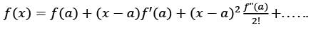
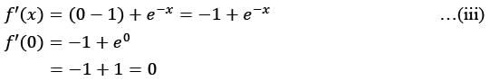
The first non-zero term in the Taylor series expansion of (1 - x) - e-x around x = 0 is

Detailed Solution for GATE Chemical Engineering Mock Test - 3 - Question 4

Given :
f(x) =(1 − x) − e−x
The Taylor series of function f(x) is given by,

Taylor series expansion around x = 0 implies a = 0
So,

Differentiating equation (ii) with respect to x


Differentiating equation (iii) with respect to x

Differentiating equation (iv) with respect to x

Substituting all the values of f(0), f'(0), f"(0) and f"'(0) in equation (i)

First non zero term in the Taylor series expansion of (1 − x) − e−x about  x = 0 is -x2/2
Hence, the correct option is (D).

GATE Chemical Engineering Mock Test - 3 - Question 5

Let [A] represent a square matrix that is neither symmetric nor skew-symmetric, with [A]T denoting its transpose. The matrices' sum is defined as [S] = [A] [A]T, and their difference is defined as [D] = [A] - [A]T. Which of the following statements is correct?

GATE Chemical Engineering Mock Test - 3 - Question 6

In a homogeneous azeotropic distillation setup, an azeotropic binary feed of components A and B is separated using a heavy entrainer, E, as illustrated in the figure. The amount of E lost in the two product streams is minimal, allowing E to circulate in a closed loop throughout the process. For a distillation column with fully specified feed(s) and defined operating pressure, where there is one distillate stream and one bottoms stream, the steady-state degrees of freedom is determined to be 2. In the process depicted in the figure, with a fully specified AB feed stream and given column operating pressures, the steady-state degrees of freedom is equal to

Detailed Solution for GATE Chemical Engineering Mock Test - 3 - Question 6


Given : For a distillation column with fully specified feed(s), given operating pressure, a single distillate stream and a single bottoms stream, the steady - state degrees of freedom equals to 2.
Degree of freedom basically tells number of variable which needs to define to define our system.

GATE Chemical Engineering Mock Test - 3 - Question 7

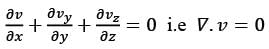
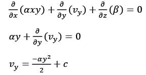
The velocity field in a flow that is incompressible is represented as where are unit vectors within the Cartesian coordinate system (x, y, z). Given that α and β are constants, determine the appropriate expression for vy when y = 0.

Detailed Solution for GATE Chemical Engineering Mock Test - 3 - Question 7

Given

For incompressible Flow;


B.C at y = 0 vy = 0 ⇒ c = 0

GATE Chemical Engineering Mock Test - 3 - Question 8

Ethyl Alcohol is generated through the fermentation of:

GATE Chemical Engineering Mock Test - 3 - Question 9

Consider the steady, one-dimensional diffusion of a binary mixture consisting of A and B across a vertical slab measuring 0.2 m x 0.1 m x 0.02 m as illustrated in the figure. The total molar concentration of A and B remains constant at 100 molm−3. The mole fractions of A at the left and right surfaces of the slab are held at 0.8 and 0.2, respectively. Given that the binary diffusion coefficient DAB is 1 x 10−5 m2s-1, determine the molar flow rate of A in mol s−1 along the horizontal x direction.

Detailed Solution for GATE Chemical Engineering Mock Test - 3 - Question 9

The general fick’s law equation can be written for binary mixture of A and B as follow

Since In question it is asked molar flow rate not Molar flux So have to multiply by area also 

GATE Chemical Engineering Mock Test - 3 - Question 10

What is the most efficient technique for washing the filter cake?

*Multiple options can be correct
GATE Chemical Engineering Mock Test - 3 - Question 11

Consider a linear homogeneous equation system given by Ax = 0, where A is an n x n matrix, x is an n x 1 vector, and 0 represents an n x 1 null vector. Let r denote the rank of A. Which of the following conditions must be satisfied for a non-trivial solution to exist?

Detailed Solution for GATE Chemical Engineering Mock Test - 3 - Question 11

Sol. Given : System of homogeneous equation Ax = 0
Where, A is an nxn matrix,
x is an nx 1 vector
0 is an n x 1 null vector
For non trival solution to exist
p(A) < n
i.e. |4| = 0
Hence rank of A, r < n
and determinant of A, |^| = 0
Hence, the correct options are (A) and (C).

*Multiple options can be correct
GATE Chemical Engineering Mock Test - 3 - Question 12

In the context of the electrolytic cell utilized in a chlor-alkali manufacturing facility, which of the following statements is/are accurate?

Detailed Solution for GATE Chemical Engineering Mock Test - 3 - Question 12

In a membrane cell the electrolysis of brine (NaCl) solution occur according to following equation


a higher concentration of brine may be used in a membrane cell, because the membrane prevents mixing of the product allowing for better control for production of H2,Cl2 and NaOH.
Option (B) : Incorrect Cl2 gas is produced at anode.
Option (C) : Correct Hgas is produced at cathode.
Option (D) : Correct
In both membrane and diaphragm cells, the caustic (NaOH) product stream exit the cathode compartment.

*Answer can only contain numeric values
GATE Chemical Engineering Mock Test - 3 - Question 13

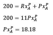
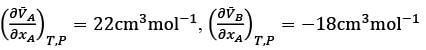
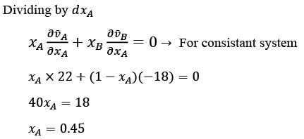
Consider a binary mixture consisting of components A and B at a given temperature T and pressure P. Let represent the partial molar volumes of A and B, respectively. At a specific mole fraction of A, denoted as xA, what is the value of xA, rounded to two decimal places? Where


Detailed Solution for GATE Chemical Engineering Mock Test - 3 - Question 13

Given:
binary mixture A and B and 
From gibb’s duhem equation at const T, P

*Answer can only contain numeric values
GATE Chemical Engineering Mock Test - 3 - Question 14

A metal slab with a thickness of 5 cm and a thermal conductivity of 400 Wm−1 °C−1 has its opposite faces kept at temperatures of 500°C and 200°C. Each face has an area of 0.02 m2. Assuming that heat transfer is steady and occurs solely in the direction perpendicular to the surfaces, what is the heat transfer rate, in kW, rounded to the nearest integer?


Detailed Solution for GATE Chemical Engineering Mock Test - 3 - Question 14


From Fourier law of heat conduction

GATE Chemical Engineering Mock Test - 3 - Question 15

The inverse Laplace transform of the function  is represented by ________ 

Detailed Solution for GATE Chemical Engineering Mock Test - 3 - Question 15


By taking inverse Laplace  = (1-e-t)

GATE Chemical Engineering Mock Test - 3 - Question 16

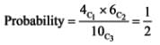
A container holds 4 red balls and 6 black balls. Three balls are drawn randomly from the container one at a time, without replacement. What is the probability that the chosen group includes one red ball and two black balls? _____     

Detailed Solution for GATE Chemical Engineering Mock Test - 3 - Question 16

Tree diagram

GATE Chemical Engineering Mock Test - 3 - Question 17

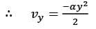
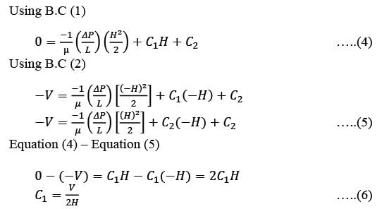
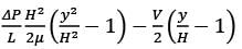
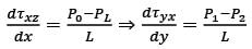
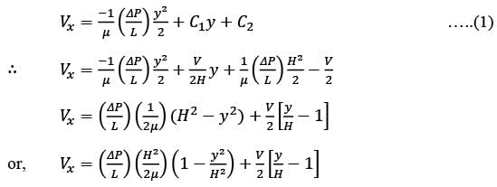
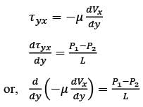
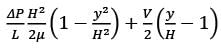
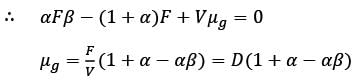
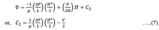
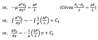
Consider a steady, fully-developed, uni-directional laminar flow of an incompressible Newtonian fluid (viscosity μ) occurring between two infinitely long horizontal plates that are separated by a distance of 2H as depicted in the figure. The flow is induced by the combined effects of a pressure gradient and the movement of the lower plate at y = −H in the negative x direction. Given that , where P1 and P2 denote the pressures at two x positions separated by a distance L. The lower plate has a velocity of magnitude V relative to the stationary upper plate at y = H. Which of the following expressions represents the x-component of the fluid velocity vector?

Detailed Solution for GATE Chemical Engineering Mock Test - 3 - Question 17


Given : 
Steady, fully developed, incompressible, unidirectional, laminar flow of Newtonian fluid.
Step 1 :
A differential momentum balance leads to following differential equation for momentum flux.

For Newtonian Fluid,


Integrating again,

Boundary condition,
B.C (1) at Y = H Vx = 0 (No slip condition)        (2)
B.C (2) at Y = —H Vx = —V (Plate moving with velocity V in negative x direction)      (3)

Step 2 :


From equation (4) and equation (6)

Equation (1), equation (6) and equation (7)

GATE Chemical Engineering Mock Test - 3 - Question 18

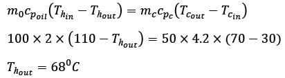
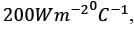
Hot oil at a temperature of 110°C is used to raise the temperature of water from 30°C to 70°C in a counter-current double-pipe heat exchanger. The flow rates for the water and oil are 50 kg min-1 and 100 kg min-1, respectively, with their specific heat capacities being and respectively. Assume that the heat exchanger operates under steady-state conditions. What is the heat transfer area in m2?

Detailed Solution for GATE Chemical Engineering Mock Test - 3 - Question 18

Given

Cpwater = 4.2 kJ/kg°C
Cpoil = 2 kJ/kg°C 0
U = 200 w/m2 C
Calculate A =?

At steady state, apply heat balance
heat transfer by hot fluid = heat gained by cold fluid


GATE Chemical Engineering Mock Test - 3 - Question 19

A scientist has identified a novel type of force that arises when a specific kind of particle settles in any fluid. The formula representing this new force is

In this equation, m, ρP, and ρ denote the mass of the particle, the density of the particle, and the density of the fluid, respectively. This force acts in the upward direction.

Determine the terminal velocity given that CD represents the drag coefficient and AP is the projected area of the particle.

Detailed Solution for GATE Chemical Engineering Mock Test - 3 - Question 19

  Using force balance on the particle,

 

For terminal velocity,     a = 0
Therefore,

*Answer can only contain numeric values
GATE Chemical Engineering Mock Test - 3 - Question 20

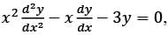
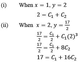
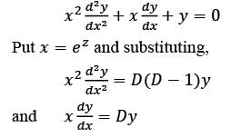
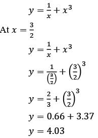
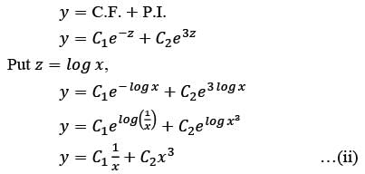
Consider the ordinary differential equation with the boundary conditions y(1) = 2 and y(2) = 17/2. Determine the value of the solution y(x) at x = 3/2, rounded to two decimal places, which is ______.


Detailed Solution for GATE Chemical Engineering Mock Test - 3 - Question 20

Given : 

Boundary Conditions is 
y(x-1) = 2 and y(x-2) = 17/2
This is in the form of Cauchy linear differential equation 

Equation (i) can be written as
D(D -1)y-Dy-3y = 0
[D2 - D - D - 3]y = 0
[D2 -2D-3]y = 0
This is in form of homogenous linear differential equation [f(D)]y = 0
The auxiliary equation is given by,
f(m) = 0
m2 — 2m -3 = 0
m2 - 3m + m - 3 = 0
m(m — 3) + (m — 3) = 0
(m + 1)(m - 3) = 0
m1 = -1,m2 = 3
The roots are real and distinct
The complementary function is given by, 

Particular integral (P.I) is 0, since it is a homogenous equation,
The complete solution is given by, 

Using Boundary Conditions : 

Solving for C1 and C2
C1 = 1 and C2 = 1
Put the value of C1 and C2 in equation (ii)

Hence, the value of y(x) at x= 3/2 is 4.03

*Answer can only contain numeric values
GATE Chemical Engineering Mock Test - 3 - Question 21

A solution with 10% solids is to be concentrated to 50% solids. Steam is available at a pressure of 0.20 MPa and a saturation temperature of 120oC. The feed rate to the evaporator is 30,000 kg/h at a temperature of 20oC. The evaporator operates at a reduced pressure where the boiling point is 50oC. The overall heat transfer coefficient is 2.9 kW / (M2 - K). What is the steam economy for this evaporation process?

Latent heat of condensation of steam at 0.20 MPa = 2202 kJ/kg

Latent heat of vaporization of water at 323 K = 2383 kJ/kg


Detailed Solution for GATE Chemical Engineering Mock Test - 3 - Question 21

Material balance of solids:

Solids in the feed = solids in the thick liquor

Overall M.B:–

Kg /h  feed = kg/h  water evaporated + kg/h thick liquor

Now enthalpy balance over evaporate:

*Answer can only contain numeric values
GATE Chemical Engineering Mock Test - 3 - Question 22

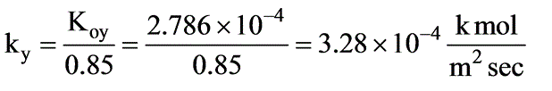
In a laboratory investigation regarding the absorption of ammonia by water in a wetted-wall column, the overall mass transfer coefficient, KG, was determined to be . At a specific location within the column, the gas and liquid phase compositions were recorded at 8.0 and 0.115 mole % NH3, respectively. The system was maintained at a temperature of 300 K and a total pressure of 1 atm. It was observed that 85% of the overall resistance to mass transfer occurred in the gas phase. At 300 K, ammonia-water solutions adhere to Henry’s law up to a concentration of 5 mole % ammonia in the liquid, with m = 1.64 at 1 atm pressure.
What is the molar flux of ammonia expressed in kmol/m2 sec? (rounded to two decimal places)


Detailed Solution for GATE Chemical Engineering Mock Test - 3 - Question 22

Convert the given overall coefficient from

For a gas-phase resistance that accounts for 85 % of the total resistance

*Answer can only contain numeric values
GATE Chemical Engineering Mock Test - 3 - Question 23

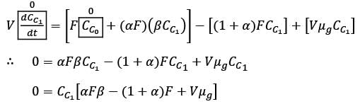
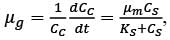
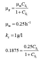
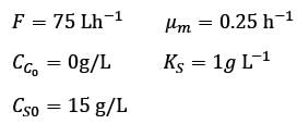
A chemostat with cell recycle is shown in the figure. The feed flow rate and culture volume are F = 75Lh-1 and V = 200L, respectively. The glucose concentration in the feed CS0 = 15gL-1. Assume Monod kinetics with specific cell growth rate  where μm= 0.25h−1 and Ks = 1gL-1 .  Assume maintenance and death rates to be zero, input feed to sterile (CC0 = 0) and steady-state operation.  The glucose concentration in the recycle stream, CS1, in gL−1, rounded off to 1 decimal place, is _________.


F: Volumetric flow rate
CC : Cell concentration
CS : Substrate (glucose) concentration
α ∶ Recycle ratio (α = 0.5)
β ∶ Concentration factor (β = 2.0)


Detailed Solution for GATE Chemical Engineering Mock Test - 3 - Question 23


Given :


where, μ=  0.25 h-1
Ks = 1 g/L
Material balance on cell biomass (around dotted line boundary)
Cc → cell concentration
Step I :
Rate of accumulation = Input - Output + Generation
Step II :

Given 
(Input feed is sterile i.e., no active cell presents in feed)

where,  is steady state cell concentration in chemostate and recycle stream

where,  D = F/V =dilution ratio
Given α = 0.5 β = 0.5
F = 75L/H and V = 200L

Step III :
Given monod equation

*Answer can only contain numeric values
GATE Chemical Engineering Mock Test - 3 - Question 24

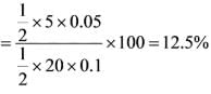
Based on the provided diagram, what is the percentage of the fraction of material that spends time between 20 and 25 seconds in the reactor?


Detailed Solution for GATE Chemical Engineering Mock Test - 3 - Question 24

% fraction of material spending time between 20 & 25 

*Answer can only contain numeric values
GATE Chemical Engineering Mock Test - 3 - Question 25

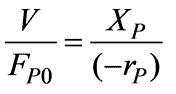
A reversible isothermal reaction in an aqueous phase, represented as P R, is to be conducted in a mixed flow reactor. The reaction rate, expressed in (kmol/m3 -h), is defined by -rP = 0.5CP - 0.125CR. A feed stream containing solely P is introduced into the reactor. What will be the residence time (in minutes) required for a 40% conversion of P?


Detailed Solution for GATE Chemical Engineering Mock Test - 3 - Question 25

*Answer can only contain numeric values
GATE Chemical Engineering Mock Test - 3 - Question 26

A binary mixture of components A and B creates an azeotrope with a boiling point of 71.8°C at a pressure of 1 bar, where the azeotropic composition consists of 55 mol percent of A. The saturated vapor pressures at 71.8°C are PA,sat = 0.710 bar and PB,sat = 0.743 bar. Assuming the vapor behaves ideally, what will be the ratio of the activity coefficients of A to B in the liquid phase?


Detailed Solution for GATE Chemical Engineering Mock Test - 3 - Question 26

For ideal vapour phase →  = 1

Azeotrope 

*Answer can only contain numeric values
GATE Chemical Engineering Mock Test - 3 - Question 27

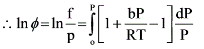
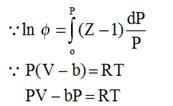
Under conditions of high temperature and pressure, nitrogen (N2) follows the equation P(V - B) = RT. Determine the fugacity (in atm) of N2 at 1000°C and 1000 atm, given that b = 39.1 ml/mol.


Detailed Solution for GATE Chemical Engineering Mock Test - 3 - Question 27

Fugacity coefficient 

     

*Answer can only contain numeric values
GATE Chemical Engineering Mock Test - 3 - Question 28

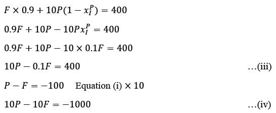
Analyze the process depicted in the figure for the production of B. The input to this process consists of 90 mol% A along with a closely boiling inert component I. Under steady-state conditions, the following information is provided:

  • The rate of production of B is 100 kmol h−1
  • The single-pass conversion of A within the reactor is 50%
  • The flow ratio of recycle to purge stream is 10

The flow rate of A in the purge stream, expressed in kmol h−1, rounded to one decimal place, is _______.


Detailed Solution for GATE Chemical Engineering Mock Test - 3 - Question 28

Given:

Applying overall material balance
F = P + 100    ..(i)
Applying inert balance 

Given R/P = 10
Single pass Conversion = 0.5
∵ 100 Kmol/hr B react with 200 Kmol/hr A
But SPC (Single pass Conversion) = 0.5 

At point m, applying A balance 

Equation (iii) – Equation (iv)
9.9 F = 1400
F = 1400 / 9.9 = 141.414
From Equation (i) F = P +10
∴ P = 41.44Kmol/hr
Applying balance on point E(on A Species)

*Answer can only contain numeric values
GATE Chemical Engineering Mock Test - 3 - Question 29

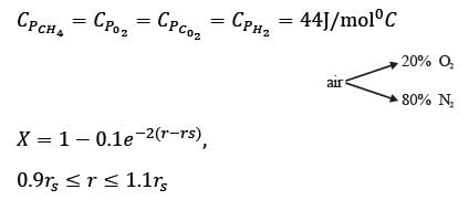
Methane reacts with air in a furnace according to the equation CH4 2O2 → CO2 2H2O, with a heat of reaction ΔHrxn = -880 kJ per mole of CH4, which is considered constant. The furnace is perfectly insulated, and there are no additional side reactions. All substances are treated as ideal gases, exhibiting a constant molar heat capacity of . The composition of air is approximated as 20 mol% O2 and 80 mol% N2. The air-fuel mixture enters the furnace at a temperature of 50°C. The conversion of methane, X, is influenced by the air-to-methane mole ratio, r, as described by
\n
\nwhere rs represents the stoichiometric air-to-methane mole ratio. For r = 1.05rs, determine the exit flue gas temperature in °C, rounded to one decimal place, as ___________.


Detailed Solution for GATE Chemical Engineering Mock Test - 3 - Question 29


Given:
ΔHrxn = -880kJpermolCH4


Where rs = air to methane mole ratio
For r = 1.05rs , Exit flue gas temp = ?

Applying Energy balance on Furnace

∴ 44(50 - T0) x 11.5 = -880 x 103 x 0.9632
∴ 50 - T0 = -1675.15
T0 = 1725.15°C

*Answer can only contain numeric values
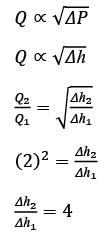
GATE Chemical Engineering Mock Test - 3 - Question 30

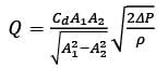
A Venturi meter, featuring a throat diameter of d = 2cm, is utilized to measure the flow rate in a pipe with a diameter of D = 6cm, as illustrated in the accompanying figure. A U-tube manometer is attached to gauge the pressure drop. Assume the discharge coefficient remains constant regardless of the Reynolds number and geometric ratios. If the volumetric flow rate in the pipe is increased to Q2 = 2Q1, what is the corresponding ratio of the manometer readings Δh2/Δh1, rounded to the nearest integer?


Detailed Solution for GATE Chemical Engineering Mock Test - 3 - Question 30

Given
Diameter of pipe = 6cm
Diameter of throat = 2cm


Discharge through venturi meter :-

Where, A1 = Area of pipe
A2 = Area of throat
As,

View more questions
Information about GATE Chemical Engineering Mock Test - 3 Page
In this test you can find the Exam questions for GATE Chemical Engineering Mock Test - 3 solved & explained in the simplest way possible. Besides giving Questions and answers for GATE Chemical Engineering Mock Test - 3, EduRev gives you an ample number of Online tests for practice
Download as PDF