GATE Chemical Engineering Exam  >  GATE Chemical Engineering Tests  >  GATE Chemical Engineering Mock Test - 4 - GATE Chemical Engineering MCQ

GATE Chemical Engineering Mock Test - 4 - GATE Chemical Engineering MCQ


Test Description

30 Questions MCQ Test - GATE Chemical Engineering Mock Test - 4

GATE Chemical Engineering Mock Test - 4 for GATE Chemical Engineering 2025 is part of GATE Chemical Engineering preparation. The GATE Chemical Engineering Mock Test - 4 questions and answers have been prepared according to the GATE Chemical Engineering exam syllabus.The GATE Chemical Engineering Mock Test - 4 MCQs are made for GATE Chemical Engineering 2025 Exam. Find important definitions, questions, notes, meanings, examples, exercises, MCQs and online tests for GATE Chemical Engineering Mock Test - 4 below.
Solutions of GATE Chemical Engineering Mock Test - 4 questions in English are available as part of our course for GATE Chemical Engineering & GATE Chemical Engineering Mock Test - 4 solutions in Hindi for GATE Chemical Engineering course. Download more important topics, notes, lectures and mock test series for GATE Chemical Engineering Exam by signing up for free. Attempt GATE Chemical Engineering Mock Test - 4 | 65 questions in 180 minutes | Mock test for GATE Chemical Engineering preparation | Free important questions MCQ to study for GATE Chemical Engineering Exam | Download free PDF with solutions
GATE Chemical Engineering Mock Test - 4 - Question 1

During the timeframe from 12:05:00 hours to 12:55:00 hours, how many instances will the second-hand and minute-hand of a clock intersect each other?

Detailed Solution for GATE Chemical Engineering Mock Test - 4 - Question 1

There is 50 min duration between 12:05:00 to 12:55:00 hours we know that in every minute, minute hand crosses second hand. So, during these 50 min. they will cross each other 50 times.
Hence, the correct option is (C).

GATE Chemical Engineering Mock Test - 4 - Question 2

What is a synonym for the word TRUCULENT?

GATE Chemical Engineering Mock Test - 4 - Question 3

What does the idiom "to have an axe to grind" signify?

GATE Chemical Engineering Mock Test - 4 - Question 4

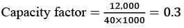
The following chart illustrates the Installed Capacity (MW) of four different power generation technologies, T1, T2, T3, and T4, along with their Electricity Generation (MWh) over a period of 1000 hours (h).


The Capacity Factor for a power generation technology is defined as:

Which of the technologies listed has the greatest Capacity Factor?

Detailed Solution for GATE Chemical Engineering Mock Test - 4 - Question 4


From option (A) : The capacity factor of a power Generation technology (T1) is 


From option (B) : The capacity of a power Generation technology (T2) is

From option (C) : The capacity of a power Generation technology (T3) is

From option (D) : The capacity of a power generation technology (T4) is

The highest capacity factor of a power generation is T1.
Hence the correct option is (A).

GATE Chemical Engineering Mock Test - 4 - Question 5

In the half-moon phase, the Earth, Moon, and Sun create a right triangle. If the angle formed by the Moon-Earth-Sun at this half-moon phase is recorded as 89.850 degrees, what is the closest ratio of the distances between Earth-Sun and Earth-Moon?

Detailed Solution for GATE Chemical Engineering Mock Test - 4 - Question 5


Hence, the correct option is (B).

GATE Chemical Engineering Mock Test - 4 - Question 6

In a contest featuring two candidates, A and B, 30% of the electorate chose not to cast their votes, and there were 1600 invalid votes. The candidate A emerged victorious, obtaining 4800 more votes than candidate B. A received 51% of the total votes listed on the voter roll. What proportion of the votes did the defeated candidate, B, acquire from the overall number of voters on the list?

Detailed Solution for GATE Chemical Engineering Mock Test - 4 - Question 6

Let total voters on voter list = x
A got 0.51x votes and B got 0.51x – 4800 votes.
So, total valid votes = 0.51 x + 0.51 x – 4800 = 0.70x – 1600
On solving, x = 10000
Votes of loser candidate = 5100 – 4800 = 300
Percentage votes of loser candidates 

GATE Chemical Engineering Mock Test - 4 - Question 7

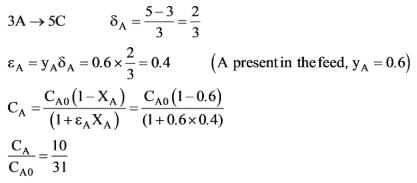
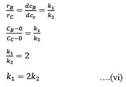
A feed stream containing 60 mole% A and 40 mole% inerts is introduced into a plug flow reactor, where the conversion of A at the reactor's outlet is 60%. What is the ratio CA/CAO at the outlet of the reactor if the reaction kinetics are described by the equation 3A → 5A?

Detailed Solution for GATE Chemical Engineering Mock Test - 4 - Question 7

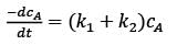
GATE Chemical Engineering Mock Test - 4 - Question 8

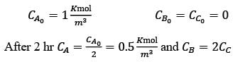
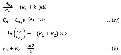
In a well-mixed isothermal batch reactor, there are two parallel first-order liquid phase reactions   . The reactor starts with an initial concentration of A at 1 kmolm-3, while the concentrations of B and C are initially zero. After a duration of 2 hours, the concentration of A decreases to half of its original value, and the concentration of B is observed to be twice that of C. What are the rate constants k1 and k2, expressed in h-1?

Detailed Solution for GATE Chemical Engineering Mock Test - 4 - Question 8


Given:

  • 1st order reaction 
  • Liquid phase reaction So Ea = 0
  • Reaction Carried out in a batch.



Isothermal batch reactor performance equation


Dividing Equation (2) and Equation (3)

From Equation (v)

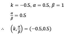
GATE Chemical Engineering Mock Test - 4 - Question 9

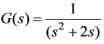
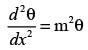
Examine the block diagram depicted in the image, which includes the control input u, disturbance d, and output y. For the feedforward controller, the corresponding ordered pair (K, α/β) is

Detailed Solution for GATE Chemical Engineering Mock Test - 4 - Question 9

Given: control input u, disturbance d and output y in given block diagram.
For Perfect feed Forward, controller should be able to cancel the effect of disturbance change on process output or coefficient of d(s) in the transfer function should be equal to zero

Compare both side

GATE Chemical Engineering Mock Test - 4 - Question 10

Which of the following statements is accurate concerning gas-liquid contactors used for mass transfer purposes?

Detailed Solution for GATE Chemical Engineering Mock Test - 4 - Question 10

Given: for given gas liquid contractors.

Tray tower is preferred over packed tower for system requiring frequent cleaning.

Because for such fouling fluid, if it is passed over packed section than pore at packed section might be clogged that result in poor redistribution of liquid and result in channeling in the tower so interfacial contact got decrease and mass transfer also got decreased.

GATE Chemical Engineering Mock Test - 4 - Question 11

In a facility for ammonia production, hydrogen is produced from methane. The facility comprises the following process units – P: Methanator, Q: CO shift converter, R: CO2 stripper, S: Reformer, T: Ammonia converter. What is the correct sequence of these units, beginning with the methane feed?

Detailed Solution for GATE Chemical Engineering Mock Test - 4 - Question 11

Steam Reformer → CO shift convertor  → CO2 stripper →methanator → ammonia convertor
Steam reformer → 

CO Shift Convertor :
Water gas shift reaction: 
CO Stripper: CO2 is undesirable in Final ammonia product This unit removes CO2 from syn gas stream using solvent (ethylamine)

Methanator : A small amount of unreacted methane may be present after reforming. The methanator convert this remaining methane any CO that might have slipped through CO shift reactor back into CH4 and CO2

Ammonia Convertor :

GATE Chemical Engineering Mock Test - 4 - Question 12

What is the discharge in m3/s for a laminar flow through a pipe with a diameter of 0.04 m, given that the centerline velocity is 1.5 m/s?

Detailed Solution for GATE Chemical Engineering Mock Test - 4 - Question 12

*Answer can only contain numeric values
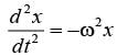
GATE Chemical Engineering Mock Test - 4 - Question 13

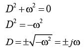
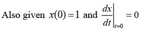
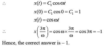
The motion x(t) of a particle, moving at a constant ω, is governed by the equation . The initial 
\nconditions are . Determine the position of the particle at t = (3π / ω) __________ (in integer).


Detailed Solution for GATE Chemical Engineering Mock Test - 4 - Question 13



From equation (i),

The auxiliary equation from (ii) can be written as 

∴ The solution of the differential equation will be
x(t ) = C cos ωt + C sin ωt
where, C1 and C2 are constants.


*Answer can only contain numeric values
GATE Chemical Engineering Mock Test - 4 - Question 14

The total of the Eigenvalues of the matrix is ______. (round to the nearest integer)


Detailed Solution for GATE Chemical Engineering Mock Test - 4 - Question 14

Sum of Eigen value  = Trace of matrix = 2+5 +7 = 14

*Answer can only contain numeric values
GATE Chemical Engineering Mock Test - 4 - Question 15

If the capacity of the plant is adjusted to 80%, while maintaining the same annual fixed costs, identical product selling price, and total annual sales of 6,40,000 Rs, what will be the gross profit for the year? (round to the nearest whole rupee). Assume the direct cost per unit is 35 Rs./unit.


Detailed Solution for GATE Chemical Engineering Mock Test - 4 - Question 15

Gross profit = Annual sales – Cost  = 6,40,000 – [(5333.33 × 35) + 3,00,000]
(5333.33 × 35) at 80% capacity.
= Rs. 1,53,334

GATE Chemical Engineering Mock Test - 4 - Question 16

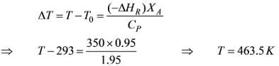
An irreversible isomerization reaction of first order is conducted in the liquid phase within a CSTR at a temperature of 165°C. The rate constant at this temperature is 0.7 hr-1. The activation energy required to transform the reactant into the product is 120000 J/mol, and the heat of reaction is –350 kJ/kg. The feed enters the reactor at a volumetric flow rate of 0.33 m3/h and at a feed temperature of 20°C. The specific heat capacity of both the reactants and products is 1.95 kJ/kg-K. The anticipated conversion for this process is 95%. If the reactor functions adiabatically, what will be the temperature of the reaction mixture (in Kelvin)?

Detailed Solution for GATE Chemical Engineering Mock Test - 4 - Question 16

If heat capacity of reactants and product are equal then

GATE Chemical Engineering Mock Test - 4 - Question 17

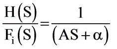
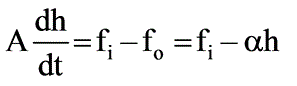
Consider a tank filled with liquid where the liquid is entering at a flow rate of Fi while exiting at a flow rate of Fo. The height of the liquid within the tank is represented as h, and the tank has a cross-sectional area of A. The outflow rate is defined by the equation Fo = αh where α is a positive constant. Which of the following represents the root that ensures system stability?

Detailed Solution for GATE Chemical Engineering Mock Test - 4 - Question 17

Mass balance equation: (constant density)

Take L.T. on both side (with deviation variable)

AS.H(S) = Fi(S) - αH(S)

(AS + α)H(S) = Fi(S)

For stable system, AS + α = 0

GATE Chemical Engineering Mock Test - 4 - Question 18

Which of the statements listed below are correct (T) or incorrect (F)?

(A) Both feedback and feedforward control necessitate a measured variable.

(B) In feedback control, the variable that needs to be controlled is measured.

(C) Feedforward control can theoretically be perfect, allowing the controller to act through the manipulated variable while the controlled variable remains at its desired value.

(D) Feedforward control is capable of achieving perfect control; that is, it can maintain the output at its desired level, despite an imperfect process model.

(E) Feedback control will always respond, irrespective of the precision of any process model utilized in its design and the nature of the disturbance.

Detailed Solution for GATE Chemical Engineering Mock Test - 4 - Question 18

A – both control schem (feedback, feed forward) requires a measured variable, to which they control, (T)
B – measures variable – as a  controller variable in feedback control
C – feed forward control take action w.r. to manipulated variable (True)
D – false ( theoretical concept of feed forward)
E – true (theoretical concept of feed back control)
TTTFT

GATE Chemical Engineering Mock Test - 4 - Question 19

Determine the value of Kc that ensures the stability of the given control system. What will be the corresponding value of x?

Detailed Solution for GATE Chemical Engineering Mock Test - 4 - Question 19

Characteristics equation is, 

*Multiple options can be correct
GATE Chemical Engineering Mock Test - 4 - Question 20

Examine the following assertion about the throttling process of wet steam.

Detailed Solution for GATE Chemical Engineering Mock Test - 4 - Question 20

During the throttling process of wet steam, enthalpy the mains constant while temperature and pressure decreases and entropy and dryness fraction, specific volume incre

*Multiple options can be correct
GATE Chemical Engineering Mock Test - 4 - Question 21

Which of the following statements is/are TRUE?

Detailed Solution for GATE Chemical Engineering Mock Test - 4 - Question 21
  • Bond number includes Surface Tension
  • Jacob number included Latent Heat
*Answer can only contain numeric values
GATE Chemical Engineering Mock Test - 4 - Question 22

A fluid is heated from 40° C to 60° C using a countercurrent double pipe heat exchanger. The hot fluid enters at 100° C and exits at 70° C. The log mean temperature difference, known as LMTD (in °C), is _______ (round off to 2 decimal places).


Detailed Solution for GATE Chemical Engineering Mock Test - 4 - Question 22

*Answer can only contain numeric values
GATE Chemical Engineering Mock Test - 4 - Question 23

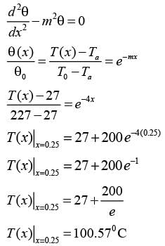
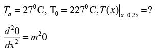
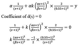
Consider a rectangular fin that extends infinitely and is surrounded by a fluid maintained at a constant temperature of Ta = 27° C.
The steady-state one-dimensional energy balance for a segment of the fin with a thickness of dx, located at a distance x from its base, results in

where θ = Ts - Ta, and Tx denotes the temperature of the fin at a distance x from its base, measured in °C. Given that the value of m is 0.04 cm-1 and the base temperature is T0 = 227°C, what is the temperature (in °C) at x = 25 cm, rounded to one decimal place?


Detailed Solution for GATE Chemical Engineering Mock Test - 4 - Question 23


Given → m = 0.04 cm−1  ⇒ m = 4 m-1

*Answer can only contain numeric values
GATE Chemical Engineering Mock Test - 4 - Question 24

Water in liquid form is being pumped at a volumetric flow rate of 0.02 m3s-1 from Tank I to Tank II, as depicted in the diagram. 

Both tanks are open to atmospheric pressure. The total frictional head loss within the piping system is 1.0 m of water.  

Furthermore, consider the following data and assumptions:

  • Water density is 1000 kg m-3
  • Acceleration due to gravity is 9.81 m s-2
  • The pump operates at 100 % efficiency
  • The liquid levels in the tanks have negligible velocities  

What is the power (in W) delivered by the pump to elevate the water? Please round off your answer to 1 decimal place.


Detailed Solution for GATE Chemical Engineering Mock Test - 4 - Question 24

Appling benefice at point (1) and point (2) 

hw = 1 + 5 = 6
P = Qδghw
P = 0 • 02 X1000 X 9.81X 6 = 1177.2 W
Hence, the correct answer is 1177.2 

*Answer can only contain numeric values
GATE Chemical Engineering Mock Test - 4 - Question 25

A feed that is similar to spheres with a diameter of 5 cm is processed in a 2 Roll Crusher. When the feed is crushed to a sphere size with a diameter of 1.5 cm and the rolls have a diameter of 56 cm, what will the angle of Nip of the Roll crusher be? (Provide the answer up to one decimal place in degrees). ……………..


Detailed Solution for GATE Chemical Engineering Mock Test - 4 - Question 25


*Answer can only contain numeric values
GATE Chemical Engineering Mock Test - 4 - Question 26

Moist air that has 10 mole percent water vapor is subjected to drying by continuously flowing it through a column filled with CaCl2 pellets. These pellets eliminate 50 percent of the water present in the wet air entering the column. What is the mole percent of water vapor in the product stream that exits the column, rounded to two decimal places?


Detailed Solution for GATE Chemical Engineering Mock Test - 4 - Question 26


Let 100 mol of wet air entering the bed
At inlet –
mol of dry air = 90 mol
mol of water = 10 mol
At exit-
mol of dry air = 90
mol mol of water = 5 mol
mol% of water vapor in product = 5/95 x 100
=5.26%

*Answer can only contain numeric values
GATE Chemical Engineering Mock Test - 4 - Question 27

The Orsat analysis, which displays the composition (in mol%, on a dry basis) of a stack gas, is presented in the table below. A measurement of humidity indicates that the mole fraction of H2O in the stack gas is 0.07. What is the mole fraction of N2 calculated on a wet basis, rounded off to two decimal places?


Detailed Solution for GATE Chemical Engineering Mock Test - 4 - Question 27

Let 100 mol of stack Gas
N2 = 65 mol
CO2 = 15 mol
CO = 10 mol
O2 = 10 mol
Let x mols of H2O
Total mols of wet Gas = 100+ x

*Answer can only contain numeric values
GATE Chemical Engineering Mock Test - 4 - Question 28

An investment project necessitates an initial capital of 15,000 Rs. It has no salvage value and generates an annual cash inflow of Rs. 5,000. The project's required rate of return is 10% per annum. What will be the net present value rounded to the nearest rupee?


Detailed Solution for GATE Chemical Engineering Mock Test - 4 - Question 28

 Net present value =  = Rs.3954

*Answer can only contain numeric values
GATE Chemical Engineering Mock Test - 4 - Question 29

Two different methods, process 1 and process 2, are being evaluated for their effectiveness in lowering steam utility expenses in a petrochemical facility.

Determine the ratio of the annual percentage return from process 1 to that from process 2.


Detailed Solution for GATE Chemical Engineering Mock Test - 4 - Question 29

% return |process 1 = 15%
% return |process 2 = 15.33%         
Ratio = 0.978

*Answer can only contain numeric values
GATE Chemical Engineering Mock Test - 4 - Question 30

In the feedback system shown below .
The step response of the closed-loop system should have minimum settling time and have no overshoot

The required value of gain �� to achieve this is ________


View more questions
Information about GATE Chemical Engineering Mock Test - 4 Page
In this test you can find the Exam questions for GATE Chemical Engineering Mock Test - 4 solved & explained in the simplest way possible. Besides giving Questions and answers for GATE Chemical Engineering Mock Test - 4, EduRev gives you an ample number of Online tests for practice
Download as PDF