References : ______ : : Guidelines : Execute (By definition)
From the four given sentences, identify the one that is most appropriate in terms of grammar and usage.
If three dice are thrown, what is the probability that the total of the numbers shown on the three dice equals 10?
Human beings are one of numerous beings that exist in an imagined realm. Within this realm, certain beings exhibit cruelty. If it is assumed in this imagined realm that the assertion "Some human beings are not cruel creatures" is FALSE, which of the following statements can be deduced with certainty?
(i) All human beings are cruel creatures.
(ii) Some human beings are cruel creatures.
(iii) Some creatures that are cruel are human beings.
(iv) No human beings are cruel creatures.
In order to build a wall, sand and cement are combined in the ratio of 3:1. The expenses for sand and cement are in the ratio of 1:2.
If the combined cost of sand and cement for constructing the wall is 1000 rupees, what is the cost (in rupees) of the cement utilized?
Determine the quantity of roots situated to the left of the line s = –3 in the characteristic equation: s3 10s2 32s 32 = 0
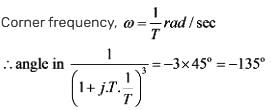
The phase angle at the corner frequency for will be:
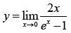
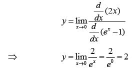
Which of the following represents the CORRECT value of y, as defined by the expression illustrated below?
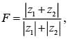
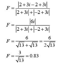
Considering that where z1 = 2 3i and z2 = -2 3i with i = √-1, which of the following options is CORRECT?
The initial expense for a piece of equipment amounts to 10,000 rupees, and after a useful life of 6 years, the equipment has a salvage value of 2,000 rupees. Utilizing the declining balance method, what will be the book value after 3 years?
A solution of 96% NaCl and 93% is utilized to generate 500 kg of HCl. Given that the conversion rate is 92%, the reaction can be expressed as follows:
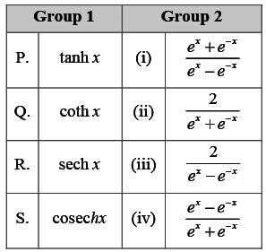
Examine the hyperbolic functions listed in Group 1 along with their corresponding definitions in Group 2.
Identify the accurate pairings.
What is the probability of obtaining two heads when two coins are tossed simultaneously?
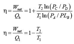
In a scenario where a Carnot engine functions between a heat source and a heat sink, which of the following statements regarding this system is/are INCORRECT?
In the case of a fully developed turbulent flow of an incompressible Newtonian fluid within a pipe that maintains a constant diameter, which of the following statements is/are CORRECT?
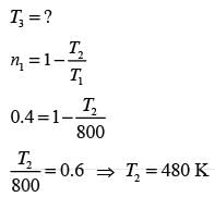
Consider two Carnot engines, C1 and C2, as depicted in the figure.
The efficiencies of engines C1 and C2 are 0.40 and 0.35, respectively. Given that the temperature of Reservoir R1 is 800 K, what is the temperature (in K) of Reservoir R3? Please round off to the nearest integer.
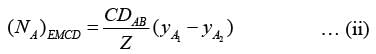
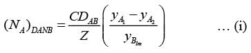
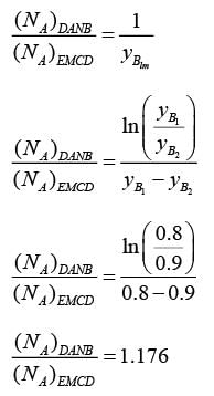
In a binary gas-liquid system, NA,EMD refers to the molar flux of gas A during equimolar counter diffusion with liquid B. Conversely, NA indicates the molar flux of A for steady-state one-component diffusion through stagnant B. Given that the mole fraction of A in the bulk of the gas phase is 0.2 and at the gas-liquid interface is 0.1 for both diffusion modes, what is the ratio of NA,umd to NA,EMD, rounded to two decimal places?
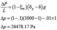
A column filled with resin beads is subjected to seawater flow.
The density of seawater is 1025 kgm-3
The density of the resin beads is 1330 kgm-3
The diameter of the resin beads is 50 μm
The void fraction of the bed at the beginning of fluidization is 0.4
The acceleration due to gravity is 9.81 ms−2
What is the pressure drop per unit length of the bed at the beginning of fluidization, expressed in _______ Pa m−1? (round off to the nearest integer)
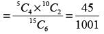
In a container, there are 5 green balls and 10 blue balls. A person randomly selects 6 balls. What is the probability that the selected balls include 4 green balls and 2 blue balls?
The two-film theory is applicable for the absorption of a solute from a gaseous mixture into a liquid solvent. The interfacial mass transfer coefficient (in mol m-2s-1) on the gas side is 0.1, while on the liquid side it is 3. The equilibrium relationship is represented by , where x and
denote the mole fractions of the solute in the liquid and gas phases, respectively. What is the ratio of the mass transfer resistance in the liquid film to the overall resistance?
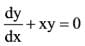
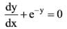
Which of the following represents a linear non-homogeneous differential equation, considering that x and y are the independent and dependent variables, respectively?
Which statements regarding heat transfer and heat exchangers are accurate?
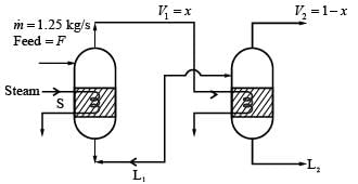
A suspension in water at 60°C is introduced into the first effect of a double effect forward feed evaporator with a mass flow rate of 1.25 kg/s. The combined rates of water evaporated from both the first and second effects amount to 1.0 kg/s. The exit temperatures from the first and second effects are 100°C and 60°C, respectively. The specific heat of the aqueous suspension and the latent heat of phase change for water are given as 4 kJ/kg·K and 2200 kJ/kg, respectively, within this temperature range. Calculate the steam economy (in kg per kg) and round off to 2 decimal places.
A packed bed held vertically has a height of 1m and a void fraction of 0.1 when there is no flow passing through it. The onset of incipient (minimum) fluidization is achieved by injecting a fluid with a density of 1kg m-3. The particle density (ρp) of the solids is 3000 kg m-3. The acceleration due to gravity is 9.81 m s-2. What is the pressure drop (in Pa) across the height of the bed? Please round off your answer to the nearest integer.
In a stirred vessel that is in a state of agitation, the Reynolds number is kept above 10,000. Initially, a solution with viscosity μ was used, and the agitator was recorded to be operating at 50 rpm. For the subsequent measurements, a solution with viscosity '2μ' was utilized, and the agitator's rpm was observed to be 200 rpm. What will be the ratio of the power requirement for the solution with viscosity μ compared to that of the solution with viscosity '2μ'?
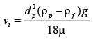
A sizable tank is filled with water (density = 1 g.cm-3) to a height of 5 m. A solid spherical particle with a diameter of 100 μm (density = 0.8 g.cm-3) is dropped from the bottom of the tank. The particle reaches its terminal velocity (vt) after ascending to a certain height within the tank. Assume the acceleration due to gravity is 10 m.s-2 and the viscosity of water is 10-3 Pa.s. Ignore the effects of the tank walls on the particle. If Stokes' law is applicable, what is the absolute value of vt (in mm.s-1) ____________ (rounded to two decimal places)?
A mixture of gases is composed of the following components with their mass percentages: O2 = 40%, CO2 = 40%, and N2 = 20%. Calculate the density at 25º C and 100 kPa [in g/m3].
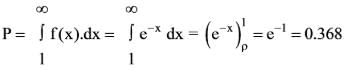
A continuous random variable x is defined with a probability density function f(x) = e-x, where 0 < x < ∞.
What is the value of P(x > 1)?
A mixture of air and water vapour that is to undergo a drying process has a dry bulb temperature of 57.2ºC and an absolute humidity of 0.030 kg H2O / kg dry air. What is the humid volume of this mixture expressed in lit/kg of dry air? (Round to two decimal places)
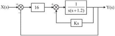
In a given control system where the resultant transfer function behaves like an underdamped second order system,
What will be the gain K for this second order system if the damping factor is 0.56?
(up to two decimal places)