GATE Chemical Engineering Exam  >  GATE Chemical Engineering Tests  >  GATE Chemical Engineering Mock Test - 6 - GATE Chemical Engineering MCQ

GATE Chemical Engineering Mock Test - 6 - GATE Chemical Engineering MCQ


Test Description

30 Questions MCQ Test - GATE Chemical Engineering Mock Test - 6

GATE Chemical Engineering Mock Test - 6 for GATE Chemical Engineering 2025 is part of GATE Chemical Engineering preparation. The GATE Chemical Engineering Mock Test - 6 questions and answers have been prepared according to the GATE Chemical Engineering exam syllabus.The GATE Chemical Engineering Mock Test - 6 MCQs are made for GATE Chemical Engineering 2025 Exam. Find important definitions, questions, notes, meanings, examples, exercises, MCQs and online tests for GATE Chemical Engineering Mock Test - 6 below.
Solutions of GATE Chemical Engineering Mock Test - 6 questions in English are available as part of our course for GATE Chemical Engineering & GATE Chemical Engineering Mock Test - 6 solutions in Hindi for GATE Chemical Engineering course. Download more important topics, notes, lectures and mock test series for GATE Chemical Engineering Exam by signing up for free. Attempt GATE Chemical Engineering Mock Test - 6 | 65 questions in 180 minutes | Mock test for GATE Chemical Engineering preparation | Free important questions MCQ to study for GATE Chemical Engineering Exam | Download free PDF with solutions
GATE Chemical Engineering Mock Test - 6 - Question 1

The disorderly assembly insisted that the defendant be _____________ without undergoing a trial.

Detailed Solution for GATE Chemical Engineering Mock Test - 6 - Question 1

- The correct answer is A: hanged.
- In legal contexts, "hanged" is the correct past tense and past participle of "hang" when referring to execution by hanging.
- "Hung" is used in all other contexts where something is suspended.
- The demand was for the accused to be executed without trial, hence "hanged" is appropriate.
- Options B and C, "hanging" and "hankering," are incorrect due to grammatical and contextual inaccuracy.

GATE Chemical Engineering Mock Test - 6 - Question 2

Which of the following conclusions can be drawn from the provided passage?

Detailed Solution for GATE Chemical Engineering Mock Test - 6 - Question 2

Officials are hopeful that good rains in July-August will help to recover loss in longer period. Therefore, it can be inferred from the passage that the officials hope that the food grain production target will be met due to great rabi produce. 
Hence, the correct options is (D). 

GATE Chemical Engineering Mock Test - 6 - Question 3

Certain students did not participate in the strike. If this statement is accurate, which of the following conclusions must logically follow?

  • i. Some individuals who participated in the strike were students
  • ii. No students participated in the strike
  • iii. At least one student participated in the strike
  • iv. Some individuals who did not participate in the strike were students

Detailed Solution for GATE Chemical Engineering Mock Test - 6 - Question 3

Let's analyze the statement and the conclusions:

The statement is: "Some students were not involved in the strike."

From this statement, we can infer:

i- "Some who were involved in the strike were students."

This is not necessarily true because the statement does not provide information about those who were involved in the strike. Thus, this conclusion cannot be drawn.

ii- "No student was involved in the strike."

This contradicts the original statement, so it is not valid.

iii- "At least one student was involved in the strike."

This cannot be logically inferred from the original statement, which only says that some students were not involved. Therefore, this conclusion is not necessarily true.

iv- "Some who were not involved in the strike were students."

This conclusion is valid because if some students were not involved, it implies that there are students among those who were not involved.

GATE Chemical Engineering Mock Test - 6 - Question 4

A merchant has sold six computer hardware items, the details of which are as follows:

What is the overall profit or loss incurred from the sale of these six items?

Detailed Solution for GATE Chemical Engineering Mock Test - 6 - Question 4

Calculate profit/loss for each product:

Laptop: 950 − 800 = $ 150   (Profit)

Desktop: 580 − 600 = −$ 20   (Loss)

Monitor: 250 − 200 = $ 50 (Profit)

Keyboard: 70 − 50 = $ 20   (Profit)

Mouse: 15 − 20 = − $ 5 (Loss)

Printer: 180 − 150 = $ 30 (Profit)

Total Profit:

Total = 150 − 20 + 50 + 20 − 5 + 30 = $ 225

GATE Chemical Engineering Mock Test - 6 - Question 5


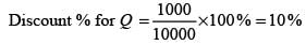
The table above shows the prices of two items, P and Q. The ratio of the price of item P to that of item Q is 3 : 4. The discount is defined as the difference between the marked price and the selling price. The profit percentage is determined by taking the ratio of the difference between the selling price and the cost price to the cost price.


What is the discount on item Q expressed as a percentage of its marked price? ______.

Detailed Solution for GATE Chemical Engineering Mock Test - 6 - Question 5

Ratio of  the cost price of P to Q = 3: 4
Cost of P = 3x =5400x = 1800  
Cost of Q = 4 x = 7200 Profit % of Q = 25%
Selling price of  Q = 7200 (C.P.)+ 7200 x 25% (Profit)
= 9000


Hence, the correct option is (C). 

GATE Chemical Engineering Mock Test - 6 - Question 6

In a class, the proportion of boys to girls is 7 to 3. From the choices listed below, which one represents a valid total number of students in the class?

Detailed Solution for GATE Chemical Engineering Mock Test - 6 - Question 6

Given :   Ratio of Boys to Girls = 7 : 3  
Total number of student in the class  
= 7 x+3x
= 10 x (here, x must be an integer)
= 50   (As only option (D) satisfies above condition)  
Hence, the correct option is (D).

GATE Chemical Engineering Mock Test - 6 - Question 7

John and Jane each conducted a thermodynamic experiment independently, where X and Y denote the initial and final thermodynamic states of the system, respectively. John carried out the experiment under reversible conditions, resulting in a change in entropy of the system of . Conversely, Jane executed her experiment under irreversible conditions, leading to a change in entropy of the system of . Which of the following statements is CORRECT?

Detailed Solution for GATE Chemical Engineering Mock Test - 6 - Question 7

As entropy is a state function

For a cyclic operation, entropy change is zero.

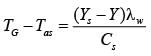
GATE Chemical Engineering Mock Test - 6 - Question 8

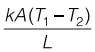
A slab with a thickness of L, depicted in the figure below, possesses a cross-sectional area A and a uniform thermal conductivity k. The temperatures at positions x=0 and x=L are represented as T1 and T2, respectively. Which of the following options provides the CORRECT formula for thermal resistance in the context of steady-state one-dimensional heat conduction?

Detailed Solution for GATE Chemical Engineering Mock Test - 6 - Question 8



GATE Chemical Engineering Mock Test - 6 - Question 9

If M₁ gm of a substance with specific gravity S₁ is mixed with M₂ gm of a substance with specific gravity S₂ and then the substances are used to make an alloy. What will be the specific gravity of the alloy?

Detailed Solution for GATE Chemical Engineering Mock Test - 6 - Question 9

A fundamental property of any substance is the conservation of mass.

Therefore, if I mix two substances with mass M₁ and M₂ then their combined mass will always be, M₁ + M₂.

An additional property in case of fluids is the conservation of volume.

If 2 fluids with volumes V₁ and V₂ are mixed, the combined volume will be, V₁ + V₂.

Here,
V₁ = M₁ / S₁ and V₂ = M₂ / S₂.

Therefore, total volume on mixing = (M₁ / S₁) + (M₂ / S₂).

Hence, the specific gravity of the new alloy will be total mass / total volume.

S' = (M₁ + M₂) / ((M₁ / S₁) + (M₂ / S₂)).

thus answer is option D

GATE Chemical Engineering Mock Test - 6 - Question 10

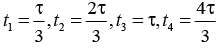
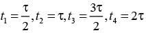
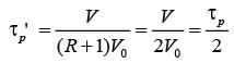
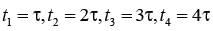
In a laboratory setting, a unit pulse input of tracer is introduced to an ideal plug flow reactor functioning at steady state with a recycle ratio, R = 1. The age distribution E(t) of the tracer at the reactor's outlet is recorded. The first four pulses detected at times t1, t2, t3, and t4 are illustrated below.

Additionally, please consider the following data and assumptions:

  • R is defined as the ratio of the volume of fluid that is returned to the entrance of the reactor to the volume that leaves the system.
  • No reactions take place within the reactor.
  • Neglect any dead volume present in the recycle loop.

If the space time of the plug flow reactor is τ seconds, which of the following statements is accurate?

Detailed Solution for GATE Chemical Engineering Mock Test - 6 - Question 10

We know that, an ideal PFR delays the traces profile by the time τp , where τp is the space time defined as 

So, here in case of PFR with recycle stream, 


Third pulse will leave at, 

GATE Chemical Engineering Mock Test - 6 - Question 11

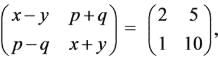
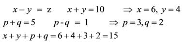
Given that , what is the sum of x, y, p, and q?

Detailed Solution for GATE Chemical Engineering Mock Test - 6 - Question 11

*Answer can only contain numeric values
GATE Chemical Engineering Mock Test - 6 - Question 12

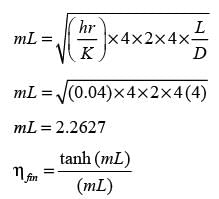
A straight fin with a uniform circular cross-section and an adiabatic tip has an aspect ratio (length/diameter) of 4. Given that the Biot number (calculated using the radius of the fin as the characteristic length) is 0.04, what is the fin efficiency in percentage terms? (round off to the nearest integer)


Detailed Solution for GATE Chemical Engineering Mock Test - 6 - Question 12


*Answer can only contain numeric values
GATE Chemical Engineering Mock Test - 6 - Question 13

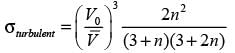
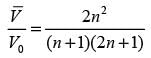
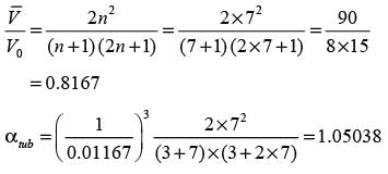
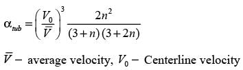
Consider a continuous flow of an incompressible, Newtonian fluid moving through a smooth circular pipe. Let αlaminar and αturbulent represent the kinetic energy correction factors for laminar and turbulent flow in the pipe, respectively. For the turbulent flow within the pipe,

In this case, denotes the average velocity, V0 signifies the centerline velocity, and n is a parameter. The ratio of the average velocity to the centerline velocity for turbulent flow in the pipe is expressed as

For n = 7, the value of is _______. (round off to 2 decimal places)


Detailed Solution for GATE Chemical Engineering Mock Test - 6 - Question 13

Kinetic energy correction factor for turbulent 

and given  


*Answer can only contain numeric values
GATE Chemical Engineering Mock Test - 6 - Question 14

Formaldehyde is generated through the oxidation of methane within a reactor, where two parallel reactions take place.  

Methane and oxygen are introduced into the reactor, and the exit gases consist of methane, oxygen, formaldehyde, carbon dioxide, and water vapor.  60 mol s-1 of methane is supplied to the reactor. The molar flow rates (in mol s-1) for CH4, O2, and CO2 exiting the reactor are recorded as 26, 2, and 4 respectively. What is the molar flow rate of oxygen entering the reactor in _______ mol s-1


GATE Chemical Engineering Mock Test - 6 - Question 15

Which of the following assertions regarding the thermodynamic characteristics of pure substances is accurate?

Detailed Solution for GATE Chemical Engineering Mock Test - 6 - Question 15

The phase change of a pure substance occurs at a constant temperature and pressure.

GATE Chemical Engineering Mock Test - 6 - Question 16

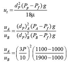
A settling experiment is conducted in an elongated column utilizing a dilute mixture that contains an equal quantity of particles of type A and type B dispersed in water (density 1000 kg m−3) at ambient temperature. The particles of type A are spherical with a diameter of 30 μm and a density of 1100 kg m−3, while type B particles are spherical with a diameter of 10 μm and a density of 1900 kg m−3. Assuming that Stoke's law is applicable throughout the experiment, what would be the characteristics of the settled bed?

Detailed Solution for GATE Chemical Engineering Mock Test - 6 - Question 16

Batch settling exp.  Water ( pf) 1000 kg/m3
 Equal No Type A and Type B particle  
Stoke’s law valid  
Type A  -ρA = 1100 kg/m3 , ( dP)A 30 mm
Type B -ρB = 1900 kg/m3, (dP)B = 10 mm
Terminal velocity
Type A -ρB = 1900 kg/m3, (dP )B = 10 mm
Terminal velocity



Option (3) consist of a homogeneous mixture of type β particles. 

GATE Chemical Engineering Mock Test - 6 - Question 17

Associate the reactions in Group-1 with their corresponding types in Group-2.

The appropriate pairs are:

GATE Chemical Engineering Mock Test - 6 - Question 18

A liquid-level control system can be set up as depicted in the illustration, where a control valve regulates the flow of liquid into the storage tank. Considering that the liquid level transmitter is consistently direct acting, what type of control action should a proportional pneumatic controller exhibit if the control valve operates as air-to-open and air-to-close respectively?

*Multiple options can be correct
GATE Chemical Engineering Mock Test - 6 - Question 19

In an extraction procedure, feed solution F is combined with solvent B. The carrier liquid present in the feed is A, while the solute is C. Below is the ternary diagram illustrating a single ideal stage extraction, where the dashed lines symbolize the tie-lines.

The CORRECT option(s) is/are

*Multiple options can be correct
GATE Chemical Engineering Mock Test - 6 - Question 20

Which of the following statements is accurate concerning entropy and the Second Law of Thermodynamics?

Detailed Solution for GATE Chemical Engineering Mock Test - 6 - Question 20

1: Correct. The Second Law of Thermodynamics states that the entropy of an isolated system either increases or remains constant (it cannot decrease).

2: Correct. For a reversible process, the entropy change of the system and its surroundings equals zero, as there is no net entropy generation.

3: Correct. In irreversible processes, the total entropy (system + surroundings) always increases.

*Answer can only contain numeric values
GATE Chemical Engineering Mock Test - 6 - Question 21

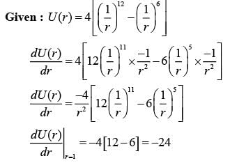
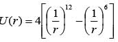
What is the integer value of the first derivative of the function when evaluated at r = 1?


Detailed Solution for GATE Chemical Engineering Mock Test - 6 - Question 21


Hence, the correct answer is – 24.

*Answer can only contain numeric values
GATE Chemical Engineering Mock Test - 6 - Question 22

A gyratory crusher operates to reduce the feed size from 6 mm to 1 mm, consuming 43 kW.hr/tons of energy. If the target product size is modified from 1 mm to 0.50 mm using the same gyratory crusher, which involves further crushing the product already reduced to 1 mm diameter.
What will be the energy consumption, according to Bond's law?
(answer in kW.hr/tons up to two decimal places).


Detailed Solution for GATE Chemical Engineering Mock Test - 6 - Question 22


By (i) and (ii)
X = 30.10 kW.hr/tons

*Answer can only contain numeric values
GATE Chemical Engineering Mock Test - 6 - Question 23

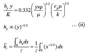
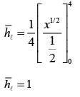
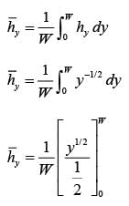
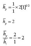
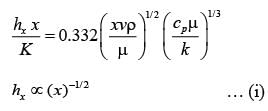
A fluid is flowing steadily under laminar conditions over a thin rectangular plate at temperature TS as shown in the figure below. The velocity and temperature of the free stream are u∞ and t∞, respectively. When the fluid flow is only in the x-direction, hx is the local heat transfer coefficient. Similarly, when the fluid flow is only in the y-direction, hy is the corresponding local heat transfer coefficient. Use the correlation Nu = 0.332 (Re)1/ 2 (Pr)1/3 for the local heat transfer coefficient, where, Nu, Re, and Pr, respectively are the appropriate Nusselt, Reynolds and Prandtl numbers. The average heat transfer coefficients are defined as If w = 1 m and l = 4 m, the value of the ratio of  is _______ (in integer).


Detailed Solution for GATE Chemical Engineering Mock Test - 6 - Question 23

Nu = 0.332 (Re)1/ 2 (Pr)1/3
In x-direction –

Similarly for y-direction


Similarly –

*Answer can only contain numeric values
GATE Chemical Engineering Mock Test - 6 - Question 24

Air that is partially saturated at a pressure of 1 bar and a temperature of 50°C is brought into contact with water in an adiabatic saturator. The air undergoes cooling and humidification until it reaches saturation, exiting at a temperature of 25°C with an absolute humidity of 0.02 kg of water per kg of dry air. Consider the latent heat of vaporization of water to be 2450 kJ.kg-1, and the average specific heat capacities for dry air and water as 1.01 kJ.kg-1K-1 and 4.18 kJ.kg-1K-1, respectively. If the absolute humidity of the air entering the adiabatic saturator is H x 10-3 kg of water per kg of dry air, what is the value of H __________ (rounded off to two decimal places)?


Detailed Solution for GATE Chemical Engineering Mock Test - 6 - Question 24




*Answer can only contain numeric values
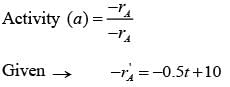
GATE Chemical Engineering Mock Test - 6 - Question 25

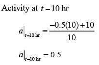
Fresh catalyst is loaded into a reactor before the start of the following catalytic reaction.
A → products
The catalyst gets deactivated over time. The instantaneous activity a(t ), at time ��, is defined as the ratio of the rate of reaction  to the rate of reaction with fresh catalyst. Controlled experimental measurements led to an empirical correlation 
where t is in hours. The activity of the catalyst at t = 10 hr is _______ (rounded off to one decimal place).


Detailed Solution for GATE Chemical Engineering Mock Test - 6 - Question 25


Rate of reaction with fresh catalyst i.e. 
at t = 0
-rA = -(0.5) x 0 +10
-rA= 10

*Answer can only contain numeric values
GATE Chemical Engineering Mock Test - 6 - Question 26

E1 and E2 represent the extracts; R1 and R2 signify the raffinates. An equal quantity of solvent is utilized in both stages 1 and 2.

Determine the percentage recovery of A in the entire liquid-liquid extraction process. (To two decimal places in %)


Detailed Solution for GATE Chemical Engineering Mock Test - 6 - Question 26

Let flow rate of solvent C is ‘S’ moles/hr.

⇒ S = 40.53 moles/hour
Total moles = 81.067 moles/hour

A in E1 = 24 × 0.4 = 9.6 moles
A in R1 = 24 × (1 - 0.4) = 14.4
and A in E2 = 14.4 × 0.4 = 5.76
A in R2 = 14.4 × (1 - 0.4) = 8.7
% recovery of A = ((9.6 + 5.76) / 24) × 100 = 64%

*Answer can only contain numeric values
GATE Chemical Engineering Mock Test - 6 - Question 27

A mixture comprising 40 mole% P and 60 mole% Q is subjected to distillation in a column with a feed rate of 160 kmol/hour, resulting in a liquid product that contains 30 mole% of P. What is the vapor product, in K mol/hour, given that the relative volatility is 4?________


Detailed Solution for GATE Chemical Engineering Mock Test - 6 - Question 27

FXF = DXD + WXW = DXD + (F - D)XW
(160 × 0.4) = 0.631 D + (160 – D) × 0.30
16 = 0.631D – 0.30 D          D = 48.34 K mol/hour

*Answer can only contain numeric values
GATE Chemical Engineering Mock Test - 6 - Question 28

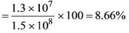
In the chemical industry, a common guideline suggests that Rs.1 of annual sales necessitates an investment of Rs.2 in fixed capital. In a chemical processing facility where this guideline is applicable, the overall capital investment totals Rs. 1.5 x 108, while the working capital constitutes 20 percent of the total capital investment. The total annual product cost is Rs. 9.0 x 107. Given that the income tax rate on gross earnings is 35 percent, calculate the percentage of total capital investment that is returned annually as net profit _____________


Detailed Solution for GATE Chemical Engineering Mock Test - 6 - Question 28

TCI = 1.5 × 10⁸ Rs.
WCI = 0.2 × 1.5 x 10⁸ Rs. = 3 x 10⁷ Rs.
Annual cost = 1 x 10⁷
Tax % = 35%

FCI = 0.8 × 1.5 x 10⁸ Rs. = 1.2 x 10⁸ Rs.

For Rs. 2 FCI → Rs. 1 annual sales
For Rs. 1 FCI → Rs. 1/2 annual sales

For Rs. 1.2 x 10⁸ FCI → Rs. 1/2 × 1.2 × 10⁸ annual sales
= Rs. 0.6 x 10⁸ annual sales = 6 × 10⁷ annual sales

Profit = 6 x 10⁷ − 1 × 10⁷ − 3 x 10⁷ Rs. = 2 x 10⁷ Rs.

Profit after Tax = 2 x 10⁷(1 − 0.35) = 1.3 x 10⁷
Net profit as percentage of TCI

*Answer can only contain numeric values
GATE Chemical Engineering Mock Test - 6 - Question 29

The parallel reaction occurring in the liquid phase:

is carried out in an isothermal plug flow reactor. The initial concentration of A is 2.0 Kmol/m3. There are no products present in the feed. If the conversion of A reaches 80%, calculate the exit concentration of R (kmol/m3) __________
(up to two decimal places)


*Answer can only contain numeric values
GATE Chemical Engineering Mock Test - 6 - Question 30

Carbon monoxide (CO) is combusted in the presence of a 200% excess of pure oxygen. The incoming streams are at 25ºC. The standard heat of formation (at 25ºC) for CO and CO2 are -110 kJ mol-1 and -390 kJ mol-1, respectively. The heat capacities (in J mol-1K-1) of the components are

where T denotes the temperature in K. If the heat loss (in kJ) for each mole of CO combusted is 34.62, what is the flame temperature in K?


View more questions
Information about GATE Chemical Engineering Mock Test - 6 Page
In this test you can find the Exam questions for GATE Chemical Engineering Mock Test - 6 solved & explained in the simplest way possible. Besides giving Questions and answers for GATE Chemical Engineering Mock Test - 6, EduRev gives you an ample number of Online tests for practice
Download as PDF