GATE Chemical Engineering Exam  >  GATE Chemical Engineering Tests  >  GATE Chemical Engineering Mock Test - 7 - GATE Chemical Engineering MCQ

GATE Chemical Engineering Mock Test - 7 - GATE Chemical Engineering MCQ


Test Description

30 Questions MCQ Test - GATE Chemical Engineering Mock Test - 7

GATE Chemical Engineering Mock Test - 7 for GATE Chemical Engineering 2025 is part of GATE Chemical Engineering preparation. The GATE Chemical Engineering Mock Test - 7 questions and answers have been prepared according to the GATE Chemical Engineering exam syllabus.The GATE Chemical Engineering Mock Test - 7 MCQs are made for GATE Chemical Engineering 2025 Exam. Find important definitions, questions, notes, meanings, examples, exercises, MCQs and online tests for GATE Chemical Engineering Mock Test - 7 below.
Solutions of GATE Chemical Engineering Mock Test - 7 questions in English are available as part of our course for GATE Chemical Engineering & GATE Chemical Engineering Mock Test - 7 solutions in Hindi for GATE Chemical Engineering course. Download more important topics, notes, lectures and mock test series for GATE Chemical Engineering Exam by signing up for free. Attempt GATE Chemical Engineering Mock Test - 7 | 65 questions in 180 minutes | Mock test for GATE Chemical Engineering preparation | Free important questions MCQ to study for GATE Chemical Engineering Exam | Download free PDF with solutions
GATE Chemical Engineering Mock Test - 7 - Question 1

Select the sentence that is punctuated correctly:

Detailed Solution for GATE Chemical Engineering Mock Test - 7 - Question 1

Non-restrictive clauses need to be separated by commas.

GATE Chemical Engineering Mock Test - 7 - Question 2

Five individuals (A, B, C, D, and E) are positioned in a row facing north. C is located to the right of B, who is positioned to the left of A. D is seated to the left of C, while E is to the right of A. Who occupies the middle seat?

Detailed Solution for GATE Chemical Engineering Mock Test - 7 - Question 2

Based on the given information:
A is sitting on the leftmost side.
B is to the left of A.
C is to the right of B, so the arrangement so far is: A, B, C.
D is to the left of C, making the arrangement: A, B, D, C.
E is to the right of A, so the final arrangement is: E, A, B, D, C.
Thus, the person sitting in the middle is C.

GATE Chemical Engineering Mock Test - 7 - Question 3

Some individuals propose implementing Anti-Obesity Measures (AOM), such as showing calorie counts on restaurant menus. These measures, however, fail to confront the fundamental issues leading to obesity, including poverty and income inequality. Which of the following statements best encapsulates the essence of the passage?

Detailed Solution for GATE Chemical Engineering Mock Test - 7 - Question 3

For summarizing the passage, the best suitable option is (C).  As superficially means apparently/seemingly.  Hence, the correct option is (C).

GATE Chemical Engineering Mock Test - 7 - Question 4

Below are two statements labeled 1 and 2, along with two conclusions designated as I and II.
Statement 1: All microorganisms are bacteria.  
Statement 2: All microorganisms are pathogens.  
Conclusion I: Some bacteria are pathogens.
Conclusion II: Not all bacteria are pathogens. 

Considering the statements and conclusions provided, which of the following options is logically accurate? 

Detailed Solution for GATE Chemical Engineering Mock Test - 7 - Question 4

Given :  
S1 : All bacteria are microorganisms.  
S2 : All pathogens are microorganisms.
According to the statement given in the question we can form Venn diagram as shown below,  There are two possibilities, 

Conclusion 1 : Some pathogens are bacteria.  
From fig. (a) conclusion 1 does not follow.  
Conclusion 2 : All pathogens are not bacteria.  
From possibility of case present in fig. (b) conclusion 2 does not follow.  
Hence, the correct option is (D).

GATE Chemical Engineering Mock Test - 7 - Question 5

What is the value of the coefficient of x4 in the expression (x - 1)3 (x - 2)3?

Detailed Solution for GATE Chemical Engineering Mock Test - 7 - Question 5

The coefficient of x4 in the polynomial ( x -1)3 (x- 2)3 can be find as, 
(a - b)3 = a3 - b3 - 3a2b + 2ab2 
( x -1)3 = x3 -13 + 3x2 + 3x  . .(i)
( x - 2)3 = x3 - 83 + 6x2 +12x ..(ii)
By multiplying equation (i) and (ii), we get 
x6 - 45x3 + 33x4 + 9x5 + 6x2 - 36x + 8 = 0
x6 + 9x5 + 33x4 - 45x3 + 6x2 - 36x + 8 = 0
From the above equation,
Coefficient of x4 is 33.
Hence, the correct option is (A).

GATE Chemical Engineering Mock Test - 7 - Question 6

Which of the following shapes can be utilized to completely tile (cover entirely through repetition) a flat surface that extends infinitely in every direction, without leaving any gaps between them? The instances of the shape used in the tiling must be identical and cannot overlap.

Detailed Solution for GATE Chemical Engineering Mock Test - 7 - Question 6

A flat plane, which has to be completely cover by repeating a particular shape tile extending to infinity in all directions, without leaving any empty spaces in between them. Also the copies of the shape used to tile are identical and are not allowed to overlap. 
For fulfilling this condition, let’s start with the option (A) circle, and tile it on a plane, as shown in below figure,

We can clearly see from the figure, if taking a circular tile for convening a flat plane there will be some remaining space, which will not be covered. Now let’s take option (B) regular octagon, and tile it on the flat plane as shown in figure.
We can clearly see from the figure, if taking a regular octagon tile there will be some remaining space, which will not be covered. 

Now let’s take option (C) regular pentagon, and tittle on the flat plane as shown in figure.

We can clearly see from the figure if taking a regular pentagon there will be some remaining space, which will not be covered. Now lets take option (D) rhombus, and tile it on the flat plane as shown in the figure. 

We can clearly see from the figure that there is no free space remaining on the flat plane.
Hence, the correct option is (D).

GATE Chemical Engineering Mock Test - 7 - Question 7

Pair the items in the following list:

GATE Chemical Engineering Mock Test - 7 - Question 8

Spray dryers offer numerous benefits. Which of the following is NOT considered an advantage of a standard spray dryer?

Detailed Solution for GATE Chemical Engineering Mock Test - 7 - Question 8

Spray drying is an unit operation in which high energy consumption take place with relatively low energy utilization.

GATE Chemical Engineering Mock Test - 7 - Question 9

In a ball mill, the primary method of size reduction occurs through

Detailed Solution for GATE Chemical Engineering Mock Test - 7 - Question 9

As in ball mill, the size reduction is mainly done by impact, Attrition is involved but impact is major responsible.

GATE Chemical Engineering Mock Test - 7 - Question 10

A heat pump extracts heat from a reservoir at 15º C and transfers it to a reservoir at 75º C. This heat pump is powered by a reversible heat engine that absorbs heat from a reservoir at 900º C and expels heat to a reservoir at 75º C. Additionally, the heat engine operates a machine that consumes 30 kW. If the heat pump draws 20 kJ/s from the 15º C reservoir, what is the rate of heat supply from the 900º C source?

Detailed Solution for GATE Chemical Engineering Mock Test - 7 - Question 10


Q1 = Wnet/0.7
 Wnet = W + 30
For heat pump
COP = 348/348 - 288 = W + 20/ W
W = 4.167

GATE Chemical Engineering Mock Test - 7 - Question 11

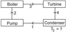
The configuration of a power plant is illustrated below.

Provided, 
h2 = 700 kJ
h3 = 2700 kJ
h4 = 2000 kJ
h1 = 400 kJ

Determine the value of T2(ºC) for which the process is reversible.

Detailed Solution for GATE Chemical Engineering Mock Test - 7 - Question 11

Heat given to bowler
Q1 = h3 - h2

= 2700 – 700 = 2000 kJ
Heat loss by condenser
Q1 = h4 - h1

= 2000 – 400 = 1600 kJ
For reversible process,


2000/473 + (-1600)/T2
⇒ T2 = 378.4 K = 105.4 ºC

GATE Chemical Engineering Mock Test - 7 - Question 12

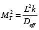
The Thiele modulus squared, MT , is expressed as  where L denotes the characteristic length of the catalyst pellet, k represents the rate constant for a first-order reaction, and Deff  signifies the effective diffusivity of the species within the pores. The term  is an indicator of

Detailed Solution for GATE Chemical Engineering Mock Test - 7 - Question 12



Thiele modulus = reaction rate / diffusion rate
rate α 1/time
So,  

GATE Chemical Engineering Mock Test - 7 - Question 13

What is the divergence of the vector field ?

Detailed Solution for GATE Chemical Engineering Mock Test - 7 - Question 13

Given,

GATE Chemical Engineering Mock Test - 7 - Question 14

Which of the following represents an instance of cationic detergents?

Detailed Solution for GATE Chemical Engineering Mock Test - 7 - Question 14

Pyridinium derivatives are a type of cationic detergents. These detergents have a positively charged head, making them effective in interacting with negatively charged surfaces such as fabric and certain bacteria.

*Answer can only contain numeric values
GATE Chemical Engineering Mock Test - 7 - Question 15

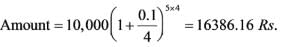
If an amount of Rs. 10,000 is invested at an annual interest rate of 10% compounded quarterly, what will be the value of the investment at the conclusion of 5 years (rounded to 2 decimal places)?


Detailed Solution for GATE Chemical Engineering Mock Test - 7 - Question 15

*Answer can only contain numeric values
GATE Chemical Engineering Mock Test - 7 - Question 16

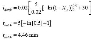
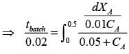
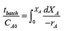
In an isothermal batch reactor, 70% of a liquid reactant is converted within 13 minutes. What is the required space time to achieve this conversion in a plug flow reactor, expressed in minutes?


Detailed Solution for GATE Chemical Engineering Mock Test - 7 - Question 16

For CVRS, time for reaction in ideal batch reactor space time in PFR.

*Answer can only contain numeric values
GATE Chemical Engineering Mock Test - 7 - Question 17

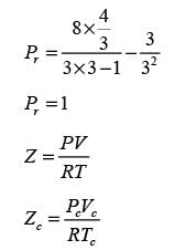
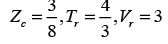
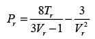
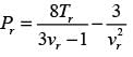
The van der Waals equation of state can be expressed as follows:

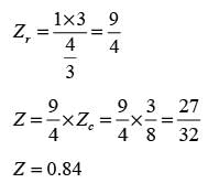
In this equation, Pr, Tr, and vr denote the reduced pressure, reduced temperature, and reduced molar volume, respectively. At the critical point, the compressibility factor (zc) is 3/8. If vr = 3 and Tr = 4/3, what is the value of the compressibility factor derived from the van der Waals equation of state? (Round your answer to two decimal places.)


Detailed Solution for GATE Chemical Engineering Mock Test - 7 - Question 17


Given,



*Answer can only contain numeric values
GATE Chemical Engineering Mock Test - 7 - Question 18

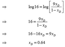
A distillation column processing a binary mixture of components A and B is functioning at total reflux with two ideal stages, including the reboiler. The mole fraction of the more volatile component in the residue (xW) is 0.1. The average relative volatility αAB is 4. What is the mole fraction of A in the distillate (xD)? (round off to 2 decimal places)


Detailed Solution for GATE Chemical Engineering Mock Test - 7 - Question 18

At total Reflux Þ Minimum number of plates
Given,  xw = 0.1 αAB= 4
We know by Fenske Equation 


Where Nm = Plates inside column 


*Answer can only contain numeric values
GATE Chemical Engineering Mock Test - 7 - Question 19

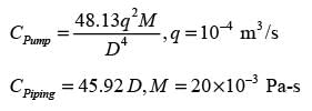
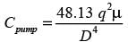
A thick liquid is transported through a network of pipes in a chemical facility. The yearly pumping expense per unit length of the pipe is represented by 

The yearly cost of the installed piping system per unit length is expressed as

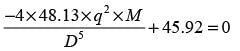
In this context, D signifies the inner diameter of the pipe in meters, q indicates the volumetric flow rate of the liquid in m3s−1, and μ represents the viscosity of the liquid in Pa.s. If the liquid's viscosity is 20 x10−3 Pa.s and the volumetric flow rate is 10−4 m3s−1, what is the optimal inner diameter of the pipe in _______ meters? (round to 3 decimal places)


Detailed Solution for GATE Chemical Engineering Mock Test - 7 - Question 19

Given


Total annual cost = CPump+CPiping
d/dD [Total annual cost ] =0,  for economic inner diameter calculation. 

Differentiating and equating to zero 

Solving by substituting q and M
D = 0.0153 m  
Answer range is 0.014-0.016

*Answer can only contain numeric values
GATE Chemical Engineering Mock Test - 7 - Question 20

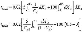
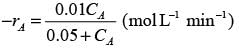
In a well-stirred batch reactor, reactant A breaks down into products B and C with the aid of an enzyme. The kinetic rate expression is represented as follows:

Given that the initial concentration of A is 0.02 mol L−1, calculate the time required to reach a 50% conversion of A, rounding your answer to 2 decimal places.


Detailed Solution for GATE Chemical Engineering Mock Test - 7 - Question 20

Given






GATE Chemical Engineering Mock Test - 7 - Question 21

The system with a closed loop will be categorized as:

Detailed Solution for GATE Chemical Engineering Mock Test - 7 - Question 21

Ammonia is produced by reacting nitrogen gas with hydrogen gas in the presence of an iron catalyst.

GATE Chemical Engineering Mock Test - 7 - Question 22

What is the definition of the turnover ratio?

GATE Chemical Engineering Mock Test - 7 - Question 23

A perfect gas weighing one kilogram, initially at 15ºC and 100 kPa, is subjected to heating until it reaches 45ºC through two different processes: (i) one that maintains constant pressure and (ii) one that keeps the volume constant. The specific heat at constant pressure (cp) for the gas is 1.042 kJ/kg.K and the gas constant (R) is 0.2968 kJ/kg.K. Calculate the heat added in both the constant pressure (QP) and constant volume (Qv) processes.

GATE Chemical Engineering Mock Test - 7 - Question 24

If the input Y to a PI controller experiences a stepwise change (Ym (s) = 2/s) and the output from the controller alters initially as depicted in the figure, what are the values for the controller gain and the integral time (in min)?

*Multiple options can be correct
GATE Chemical Engineering Mock Test - 7 - Question 25

Identify the statements that are correct.

Detailed Solution for GATE Chemical Engineering Mock Test - 7 - Question 25

When pumps are connected in series,  Q1 = Q2 and H = H1 + H2
When pumps are connected in parallel, H1 = H2 and Q = Q1 + Q2

*Answer can only contain numeric values
GATE Chemical Engineering Mock Test - 7 - Question 26

Two ideal counter-current stages are utilized to extract P from a feed that contains both P and Q, as illustrated below.

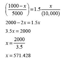
The mass flow rates of P and Q entering stage 1 are 1,000 kg h-1 and 10,000 kg h-1, respectively. Pure solvent (S) is introduced at mass flow rates of 5,000 kg h-1 and 15,000 kg h-1 to stages 1 and 2, respectively. The components Q and S do not mix. The equilibrium relationship is defined by Y* = 1.5X, where X represents the mass of P per unit mass of Q in the raffinate, and Y* denotes the mass of P per unit mass of S in the extract that is in equilibrium with the raffinate. The mass flow rate of P (in kg h-1) in the raffinate from state 2 is ____(round off to nearest integer).


Detailed Solution for GATE Chemical Engineering Mock Test - 7 - Question 26


y = 1.5 x   [On Solute free] 
Let x amount  left in the Raffinate remaining  from stage – 1 then in the extract, it  will be (1000 − x)


Amount of solute x = 175.024
In Raffinate  = 176  
Hence, the correct answer is 176.

*Answer can only contain numeric values
GATE Chemical Engineering Mock Test - 7 - Question 27

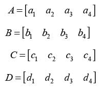
The vectors A, B, C, and D each have a length of 4.

It is given that B is not a scalar multiple of A. Additionally, C is linearly independent of both A and B. Furthermore, D can be expressed as D = 3A 2B C.
Determine the rank of the following matrix:  


Detailed Solution for GATE Chemical Engineering Mock Test - 7 - Question 27

Given,

According to question,  
(i) B is not a scalar multiples of A
Hence, A and B are linearly independent
(ii) C is linearly independent of A and B
⇒ C ≠k1 A+ k2 B where, k1 and k2 are arbitrary constant  
(iii) D = 3A+2 B + C  
So, D is linearly dependent on A, B, C  
We know that, the rank of matrix is equal to no. of linearly independent row/column.
So, given matrix 

have 3 linearly independent row
Hence, the rank of matrix is 3.

*Answer can only contain numeric values
GATE Chemical Engineering Mock Test - 7 - Question 28

Oil is flowing through a pipe that has a diameter of 0.05 m, with the oil's density being 850 kg/m3. A differential manometer is connected to this pipe, and an orifice plate with a diameter of 0.025 m is inserted as illustrated in the figure.


Density of Mercury = 13600 kg/m3
Value of g = 9.81 m/s2

What is the value of P- PB in kPa? (Provide the answer to three decimal places)


Detailed Solution for GATE Chemical Engineering Mock Test - 7 - Question 28

P- P= (9.812) (0.05) (13600 – 850) = 6255.15 Pa

*Answer can only contain numeric values
GATE Chemical Engineering Mock Test - 7 - Question 29

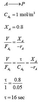
An irreversible unimolecular reaction in the liquid phase, represented as
A → products, was conducted in an ideal batch reactor at a temperature T. The reaction rate (-rA) at various conversions XA is provided in the table below. This reaction was also performed in an ideal continuous stirred tank reactor (CSTR) at the same temperature T with a feed concentration of 1 mol.m-3, maintaining steady-state conditions. For a conversion of 0.8, what is the space time (in seconds) of the CSTR, expressed as an integer?


Detailed Solution for GATE Chemical Engineering Mock Test - 7 - Question 29

*Answer can only contain numeric values
GATE Chemical Engineering Mock Test - 7 - Question 30

Methanol is introduced into an adiabatic reactor at 675oC and 1 bar, at a flow rate of 100 mol/h, where 25% of it undergoes dehydrogenation to produce formaldehyde according to the reaction shown below.

Determine the temperature of the gases exiting the reactor, assuming the average heat capacities remain constant at 17, 12, and 7 J/mol ºC for methanol, formaldehyde, and hydrogen, respectively. (Neglect any changes in kinetic and potential energy).
The standard heats of formation at 25ºC in kJ/mol are provided as follows:


Detailed Solution for GATE Chemical Engineering Mock Test - 7 - Question 30

View more questions
Information about GATE Chemical Engineering Mock Test - 7 Page
In this test you can find the Exam questions for GATE Chemical Engineering Mock Test - 7 solved & explained in the simplest way possible. Besides giving Questions and answers for GATE Chemical Engineering Mock Test - 7, EduRev gives you an ample number of Online tests for practice
Download as PDF