GATE Chemical Engineering Exam  >  GATE Chemical Engineering Tests  >  GATE Chemical Engineering Mock Test - 8 - GATE Chemical Engineering MCQ

GATE Chemical Engineering Mock Test - 8 - GATE Chemical Engineering MCQ


Test Description

30 Questions MCQ Test - GATE Chemical Engineering Mock Test - 8

GATE Chemical Engineering Mock Test - 8 for GATE Chemical Engineering 2025 is part of GATE Chemical Engineering preparation. The GATE Chemical Engineering Mock Test - 8 questions and answers have been prepared according to the GATE Chemical Engineering exam syllabus.The GATE Chemical Engineering Mock Test - 8 MCQs are made for GATE Chemical Engineering 2025 Exam. Find important definitions, questions, notes, meanings, examples, exercises, MCQs and online tests for GATE Chemical Engineering Mock Test - 8 below.
Solutions of GATE Chemical Engineering Mock Test - 8 questions in English are available as part of our course for GATE Chemical Engineering & GATE Chemical Engineering Mock Test - 8 solutions in Hindi for GATE Chemical Engineering course. Download more important topics, notes, lectures and mock test series for GATE Chemical Engineering Exam by signing up for free. Attempt GATE Chemical Engineering Mock Test - 8 | 64 questions in 180 minutes | Mock test for GATE Chemical Engineering preparation | Free important questions MCQ to study for GATE Chemical Engineering Exam | Download free PDF with solutions
GATE Chemical Engineering Mock Test - 8 - Question 1

Which of the following statements is accurate regarding grammar and usage?
It is extremely generous of you to handle the washing-up, but you ________ it.

Detailed Solution for GATE Chemical Engineering Mock Test - 8 - Question 1

Correct grammatical use is ‘mustn’t have done’

GATE Chemical Engineering Mock Test - 8 - Question 2

In spite of a series of disappointing performances, the likelihood of K.L. Rahul being chosen for the team is ___.

Detailed Solution for GATE Chemical Engineering Mock Test - 8 - Question 2

Despite is used as a preposition when a something happens even though it might have been prevented (i.e. in contrast).
∴ Opposite of poor performance is bright.  
Hence, the correct option is (B).  

GATE Chemical Engineering Mock Test - 8 - Question 3

Choose the term that corresponds with the analogy: 
Cover : Uncover : : Associate :  ____  

Detailed Solution for GATE Chemical Engineering Mock Test - 8 - Question 3

Uncover is the antonym of cover. So, antonym of associate is dissociate.  Hence, the correct option is (B). 

GATE Chemical Engineering Mock Test - 8 - Question 4

Ravi leaves his home and walks 10 km to the North. He then makes a right turn and walks 5 km. After that, he turns right once more and walks 10 km. Finally, he turns left and walks 10 km. What direction is Ravi in now relative to his starting point?

Detailed Solution for GATE Chemical Engineering Mock Test - 8 - Question 4

Ravi first walks 10 km north.
Then, he turns right (east) and walks 5 km.
He turns right again (south) and walks 10 km, returning to the same latitude as his starting point.
Finally, he turns left (east) and walks 10 km.
Ravi is now to the east of his starting point.

GATE Chemical Engineering Mock Test - 8 - Question 5

At what moment between 4:00 and 5:00 will the hands of a clock form a right angle?

Detailed Solution for GATE Chemical Engineering Mock Test - 8 - Question 5

The minute hand moves 6 degrees per minute and the hour hand moves 0.5 degrees per minute.
The angle between them at 4:00 is 120 degrees
For right angles, the hands need to form an angle of 90 degrees
Using the formula for the angle between clock hands and solving for time, the answer comes out to be 4:36.

GATE Chemical Engineering Mock Test - 8 - Question 6

Which of the following statements is accurate?

Detailed Solution for GATE Chemical Engineering Mock Test - 8 - Question 6

Tubes in square pitch arrangement is better suited for access for cleaning as compared to triangular pitch.

Correct. Square pitch provides more space between the tubes, making it easier to access and clean the tubes, which is important for maintenance.

GATE Chemical Engineering Mock Test - 8 - Question 7

A total of 116 J of work needs to be applied isobarically to a rod within a piston cylinder that operates at a pressure of 101.325 kPa. What diameter of the cylinder is required to limit the rod's movement to a maximum of 0.5 m? Assume the rod has a mass of 3 kg.

Detailed Solution for GATE Chemical Engineering Mock Test - 8 - Question 7

 We have, P = 101.325 kPa
= 101325 Pa
Weight of rod = 3 × 9.8 = 29.4 N
dX = 0.5 m
Work = P . dV

116 = [101325 A + 29.4] × 0.5
202.6 = 101325 A

A = 0.002 m2 
A = 20 cm2

D = 5.04 cm

thus option B is correct

GATE Chemical Engineering Mock Test - 8 - Question 8

The temperature range for the Haber process operates between 350 and 500°C. This process is utilized for producing ammonia at  

Detailed Solution for GATE Chemical Engineering Mock Test - 8 - Question 8

The iron catalyst is used with added promoters for ammonia synthesis e.g. aluminum oxides, zirconium or silicone. These prevent sintering, and the catalyst becomes more porous. Iron catalysts quickly lose their activity, when heated above 520°C. Depending on the conversion required the pressure is around 100-1000 atm. Hence, the correct option is (A). 

GATE Chemical Engineering Mock Test - 8 - Question 9

For which conditions is the ideal gas law applicable?

GATE Chemical Engineering Mock Test - 8 - Question 10

The function f(z) = (z - 1) / (z² 1) exhibits singularities at which points?

Detailed Solution for GATE Chemical Engineering Mock Test - 8 - Question 10

Here is the content in simple text form:

f(z) = (z - 1) / (z² + 1)

∴ The singular points of f(z) are given by:

z² + 1 = 0 i.e. z = ±i

GATE Chemical Engineering Mock Test - 8 - Question 11

In the oxidation-reduction process of H2S for the production of elemental sulfur, which catalyst is utilized?

Detailed Solution for GATE Chemical Engineering Mock Test - 8 - Question 11

The process of oxidation-reduction of H₂S for producing elemental sulfur typically uses bauxite (Al₂O₃) as a catalyst due to its high stability and activity in promoting the reaction.

GATE Chemical Engineering Mock Test - 8 - Question 12

Which of the following is NOT an essential requirement for maintaining stability in a closed-loop control process?

GATE Chemical Engineering Mock Test - 8 - Question 13

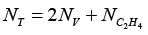
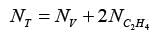
Ethylene attaches to the available active sites V of a transition metal catalyst through the following mechanism.  

If NT, NV, and NC2H4 represent the total number of active sites, the number of unoccupied active sites, and the number of C2H4 molecules that are adsorbed, respectively, the equation governing the total number of active sites can be expressed as  

GATE Chemical Engineering Mock Test - 8 - Question 14

In a double pipe heat exchanger, water is moving at a rate of 0.80 kg/sec with a specific heat capacity of 4197 J/kg·K. A gas enters the system at a flow rate of 1.50 kg/sec and a temperature of 320°C. The water is heated from 50°C to 150°C by the gas.

Details: Specific heat capacity of the gas = 1000 J/kg·K,
Gas inlet temperature = 320°C,
Gas outlet temperature = 170°C,
This is a parallel flow heat exchanger with an area of 15 m2. Determine the overall heat transfer coefficient.

Detailed Solution for GATE Chemical Engineering Mock Test - 8 - Question 14

*Answer can only contain numeric values
GATE Chemical Engineering Mock Test - 8 - Question 15

A black body radiates energy at a peak wavelength of 1.45 μm when its temperature is 2000K. If this peak wavelength shifts to 2.90 μm, what will be the new temperature (in K) of the black body?


Detailed Solution for GATE Chemical Engineering Mock Test - 8 - Question 15

Using Wein’s displacement law, we have
λMAX T = constant
λMAX 1 T1 = λMAX 2 T2 constant
1.45 x 2000 = 2.9 x T2

GATE Chemical Engineering Mock Test - 8 - Question 16

Which of the following statements is incorrect?

Detailed Solution for GATE Chemical Engineering Mock Test - 8 - Question 16

Flooding results into sharp increase in column differential pressure.

GATE Chemical Engineering Mock Test - 8 - Question 17

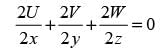
A velocity field in three dimensions is expressed as V = 5x2 yi Cyj - 10 xyz k, where i, j, k denote the unit vectors in the x, y, and z directions, respectively, in a Cartesian coordinate system. The constant C is a fixed value. If the velocity field V characterizes an incompressible fluid flow, what is the value of C?

Detailed Solution for GATE Chemical Engineering Mock Test - 8 - Question 17

Given, 
V = 5x2 yi+ Cyj −10 xyzk   
For an incompressible flow 

U = 5x2 y,V= cy,W = −10 xyz
10xy + C−10 xy = 0  
Hence value of C = 0

GATE Chemical Engineering Mock Test - 8 - Question 18

An inventor asserts that he has created a device that operates cyclically, absorbing 500 kJ and 300 kJ of heat from heat reservoirs at temperatures of 800 K and 400 K, respectively. It also rejects 100 kJ and 50 kJ of heat to reservoirs at 600 K and 300 K, respectively, while producing 650 kJ of work. Do you find his assertion to be valid?

Detailed Solution for GATE Chemical Engineering Mock Test - 8 - Question 18


From 1st low of thermodynamics
⇒ Q1 + Q2 - Q3 - Q4 = W
⇒ 500 + 300 - 100 - 50 = 650
650 = 650 (satisfies the 1st law)
From 2nd law of thermodynamics clausius inequality 


  

(violation of 2nd law of thermodynamics)
∴ Claim is not valid.

GATE Chemical Engineering Mock Test - 8 - Question 19

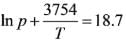
The vapor pressure of liquid ammonia (in atmospheres) around the triple point can be represented as:

where the temperature T is given in Kelvin.
Similarly, the vapor pressure of solid ammonia can be described by

Assume the molecular mass of ammonia is 17 kg / kmol.
What are the temperature and pressure at the triple point?

*Multiple options can be correct
GATE Chemical Engineering Mock Test - 8 - Question 20

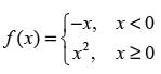
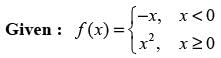
For the function
which of the following statement(s) is/are CORRECT?

Detailed Solution for GATE Chemical Engineering Mock Test - 8 - Question 20



f(x) is continuous at x = 0 and x = 1 as there is no discontinuity present at x = 0 and x = 1.
f(x) is differentiable at x = 1 .
But not differentiable at x = 0 due to formation of cusp at x = 0.  
Hence, the correct statements are A, C and D.

*Answer can only contain numeric values
GATE Chemical Engineering Mock Test - 8 - Question 21

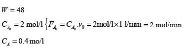
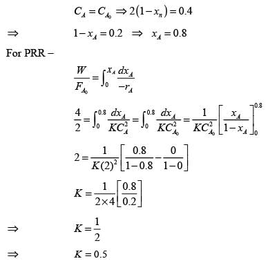
A catalytic gas phase reaction P → Q takes place in an isothermal packed bed reactor that is maintained at a steady state. The reaction is irreversible and follows second-order kinetics with respect to the reactant P. The feed consists solely of P, with a volumetric flow rate of 1.0 liter minute-1 and a concentration of 2.0 mol liter-1. Additionally, consider the following assumptions:

  • The reactant and the product behave as ideal gases.
  • No volume change occurs as a result of the reaction.
  • Ideal plug flow conditions are present in the packed bed.

When the mass of catalyst within the reactor is 4 g, the concentration of P observed at the exit is 0.4 mol liter-1. Calculate the second-order rate constant (in liter2 g-1catalyst mol-1 minute-1) to one decimal place.


Detailed Solution for GATE Chemical Engineering Mock Test - 8 - Question 21

*Answer can only contain numeric values
GATE Chemical Engineering Mock Test - 8 - Question 22

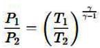
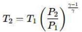
Air is moving through a converging nozzle with an inlet pressure of 300 kPa and an inlet temperature of 300 K. The air can be considered as an ideal gas with a specific heat ratio (γ) of 1.4. If the pressure at the nozzle exit is 100 kPa, determine the exit velocity in m/s of the air at the exit of the nozzle.
Given:
Inlet pressure, P1 = 300 kPa
Inlet temperature, T1 = 300 K
Exit pressure, P2 = 100 kPa
Specific heat ratio, γ = 1.4


Detailed Solution for GATE Chemical Engineering Mock Test - 8 - Question 22

To find the exit velocity (V2) of the air at the nozzle exit, we can use the isentropic flow equations for compressible flow. The relationship between pressures and temperatures can be expressed as:

And the exit velocity can be calculated using:

Where Cp is the specific heat at constant pressure.

Calculate the temperature at the exit T2 using the isentropic relations:

Rearranging gives us:

Substitute the values:

Calculate T2:
Find the exit velocity using:

*Answer can only contain numeric values
GATE Chemical Engineering Mock Test - 8 - Question 23

In the case of a lower triangular matrix, the product of the eigenvalues is represented as 'P', where 'P' can be any number, including zero. The total of the eigenvalues is denoted as 'D'. What will be the total of the cubes of the eigenvalues, given that one of the eigenvalues is '0' (Zero)?


Detailed Solution for GATE Chemical Engineering Mock Test - 8 - Question 23

As one of the eigen value is 0.
Hence product P = 0. If a, b, c are diagonal elements same ‘a’, ‘b’, ‘c’ will be eigen value.
a3+b3 + c3 = 3 abc {As a + b + c = 0 given}
As  abc = 0
Hence, a3+b3 + c3 = 0

*Answer can only contain numeric values
GATE Chemical Engineering Mock Test - 8 - Question 24

A design engineer is required to acquire a membrane module (M) for a facility. The specifications for the two available alternatives, M1 and M2, are presented in the table below. The anticipated lifespan of the overall plant is 7 years. Given an interest rate of 8% per annum, compounded annually, what is the difference in the net present value (NPV) between these two alternatives, expressed in lakhs of rupees, rounded to one decimal place?


Detailed Solution for GATE Chemical Engineering Mock Test - 8 - Question 24

On considering purchasing over the plant life of 7 years.
Overall plant life = 7 years, i = 8%= 0.08 per anum

  • M1 then you have to replace the module at the end of every 5 years till the end of the plant life (7 year).
  • M2 then you have to replace the module at the end of every 3 years till the end of the plant life (7 years).


Cash flow diagrams for the overall plant life





*Answer can only contain numeric values
GATE Chemical Engineering Mock Test - 8 - Question 25

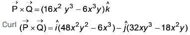
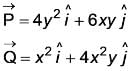
If  

 The curl of the vector  is represented as  where  are the vectors pointing in the x and y directions, respectively. What is the value of a/b.  (To two decimal places).


Detailed Solution for GATE Chemical Engineering Mock Test - 8 - Question 25

On comparing; a = 48, b = 32
a/b = 1.50

*Answer can only contain numeric values
GATE Chemical Engineering Mock Test - 8 - Question 26

A matrix A of dimensions n × n is provided as follows:

Determine the value of | Adj. A |.


Detailed Solution for GATE Chemical Engineering Mock Test - 8 - Question 26

| A | = 20 ⇒ | Adj. A| = | A |2 = (20)2 = 400

*Answer can only contain numeric values
GATE Chemical Engineering Mock Test - 8 - Question 27

Given the values of p(x) for the interval [2, 6].
Applying the Simpson's rule , what is the result of  ? (Round off to two decimal places) _______


Detailed Solution for GATE Chemical Engineering Mock Test - 8 - Question 27


= 116.33

*Answer can only contain numeric values
GATE Chemical Engineering Mock Test - 8 - Question 28

The function q(x) = 2x2 - 2.5x 12 fulfills the conditions of the Lagrange mean value theorem for the interval (2, 6) at the value of x equal to _______


Detailed Solution for GATE Chemical Engineering Mock Test - 8 - Question 28

By Lagrange mean value Theorem;
f'(x) = (f(b) - f(a)) / (b - a)
q'(x) = (q(b) - q(a)) / (b - a)
4x - 2.5 = (q(6) - q(2)) / 4
q(6) = 2.62 - 2.5 × 6 + 12 = 69.0
q(2) = 2.22 - 2.5 × 2 + 12 = 15
4x - 2.5 = (69 - 15) / 4 ⇒ x = 4.0

*Answer can only contain numeric values
GATE Chemical Engineering Mock Test - 8 - Question 29

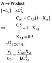
A liquid reactant stream with CAo = 1 mol/litre flows through two mixed flow reactors arranged in series. The concentration of 'A' in the exit stream from the first reactor is 0.5 mol/lit. What will the concentration of 'A' be in the exit stream of the second reactor? The reaction A → R follows second order kinetics and V2/V1 = 2.


Detailed Solution for GATE Chemical Engineering Mock Test - 8 - Question 29

*Answer can only contain numeric values
GATE Chemical Engineering Mock Test - 8 - Question 30

In a solution of water, the reaction P → Q takes place under isothermal conditions and follows first order kinetics. The feed rate is set at 500 cm3/min, with the concentration of P in the feed being 1.5 x 10-4 mol/cm3. The existing 5 litre CSTR is substituted with five CSTRs arranged in series, each having a capacity of 1 litre. Given that the rate constant K is 0.15 min-1, what will be the overall percentage conversion?


Detailed Solution for GATE Chemical Engineering Mock Test - 8 - Question 30

View more questions
Information about GATE Chemical Engineering Mock Test - 8 Page
In this test you can find the Exam questions for GATE Chemical Engineering Mock Test - 8 solved & explained in the simplest way possible. Besides giving Questions and answers for GATE Chemical Engineering Mock Test - 8, EduRev gives you an ample number of Online tests for practice
Download as PDF