GATE Chemical Engineering Exam  >  GATE Chemical Engineering Tests  >  GATE Chemical Engineering Mock Test - 9 - GATE Chemical Engineering MCQ

GATE Chemical Engineering Mock Test - 9 - GATE Chemical Engineering MCQ


Test Description

30 Questions MCQ Test - GATE Chemical Engineering Mock Test - 9

GATE Chemical Engineering Mock Test - 9 for GATE Chemical Engineering 2025 is part of GATE Chemical Engineering preparation. The GATE Chemical Engineering Mock Test - 9 questions and answers have been prepared according to the GATE Chemical Engineering exam syllabus.The GATE Chemical Engineering Mock Test - 9 MCQs are made for GATE Chemical Engineering 2025 Exam. Find important definitions, questions, notes, meanings, examples, exercises, MCQs and online tests for GATE Chemical Engineering Mock Test - 9 below.
Solutions of GATE Chemical Engineering Mock Test - 9 questions in English are available as part of our course for GATE Chemical Engineering & GATE Chemical Engineering Mock Test - 9 solutions in Hindi for GATE Chemical Engineering course. Download more important topics, notes, lectures and mock test series for GATE Chemical Engineering Exam by signing up for free. Attempt GATE Chemical Engineering Mock Test - 9 | 65 questions in 180 minutes | Mock test for GATE Chemical Engineering preparation | Free important questions MCQ to study for GATE Chemical Engineering Exam | Download free PDF with solutions
GATE Chemical Engineering Mock Test - 9 - Question 1

Determine a single discount that is equivalent to applying three consecutive discounts of 30%, 40%, and 50%.

Detailed Solution for GATE Chemical Engineering Mock Test - 9 - Question 1

Single discount equivalent to 30% and 40%

Now single discount for 58% and 40%

GATE Chemical Engineering Mock Test - 9 - Question 2

_____ relates to surgery in the same way that a writer relates to _____. Which of the following options preserves a similar logical connection in the statement above?

Detailed Solution for GATE Chemical Engineering Mock Test - 9 - Question 2

As Doctor preforms surgery  
Writer writes a Book.  
Hence, the correct option is (A). 

GATE Chemical Engineering Mock Test - 9 - Question 3

There are five bags, each containing identical sets of ten different chocolates. If one chocolate is selected from each bag, what is the probability that at least two of the chocolates selected are the same?

Detailed Solution for GATE Chemical Engineering Mock Test - 9 - Question 3

P(No two chocolates are identical)

P(At least two chocolates are identical)
=1   
–P(No two chocolates are identical)
= 1− 0.3024 = 0.6976 
​​​​​​​Hence, the correct option is (B).

GATE Chemical Engineering Mock Test - 9 - Question 4

Consider a matrix M = [mij]; where i, j = 1, 2, 3, 4, with all diagonal elements being zero and the property that mij = -mji. What is the minimum number of elements needed to completely define the matrix?

Detailed Solution for GATE Chemical Engineering Mock Test - 9 - Question 4

Given matrix M = [muij]; i, j= 1, 2, 3, 4 and the diagonal elements are all zero and mij =−mji . So we can represent the matrix as follows : 

The numbers which are connected by arrows will be the same in magnitude and opposite in sign.   So the minimum number of elements required to fully specify the matrix is just 6 and other will be known accordingly.  Hence, the correct option is (C). 

GATE Chemical Engineering Mock Test - 9 - Question 5

A certain group of individuals is capable of finishing a specific task in 100 days if they work alone. On the first day, one individual works; on the second day, two additional individuals join; on the third day, four more individuals join; and this pattern continues until the task is completed. How many days will it take to finish the task?

Detailed Solution for GATE Chemical Engineering Mock Test - 9 - Question 5


Let n is no. of days required to complete the work

GATE Chemical Engineering Mock Test - 9 - Question 6

You are given two complex numbers as follows:

What is the value of 'Cr'?

Detailed Solution for GATE Chemical Engineering Mock Test - 9 - Question 6

GATE Chemical Engineering Mock Test - 9 - Question 7

Both ends of the manometer are open to the atmosphere.
ρ oil₁ – density of oil 1
ρ oil₂ – density of oil 2
h₁ and h₂ – respective heights in cm.
Choose the set which satisfies the data of the diagram:

GATE Chemical Engineering Mock Test - 9 - Question 8

In an experiment, the position of a fluid particle is tracked by a device over a duration of 10 seconds. The path of the particle illustrated in the figure represents a

Detailed Solution for GATE Chemical Engineering Mock Test - 9 - Question 8

Path traced by a single fluid particle at different instant of time is known pathline.

GATE Chemical Engineering Mock Test - 9 - Question 9

A heat engine is defined as a device that -

Detailed Solution for GATE Chemical Engineering Mock Test - 9 - Question 9

GATE Chemical Engineering Mock Test - 9 - Question 10

Which of the following options correctly explains the term “Continuum”?

Detailed Solution for GATE Chemical Engineering Mock Test - 9 - Question 10

Continuous, homogenous matter with no holes.

GATE Chemical Engineering Mock Test - 9 - Question 11

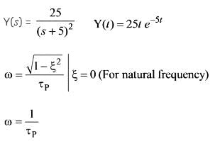
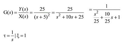
A system of second order is characterized by the given equation. What are the respective values of the frequency and damping ratio?

GATE Chemical Engineering Mock Test - 9 - Question 12

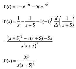
The unit step response of a second-order system is expressed as 1 - e-5t - 5te-5t. Examine the following assertions:

1. The undamped natural frequency is 5 rad/s.

2. The damping ratio equals 1.

3. The impulse response is defined.

Which of the above assertions are accurate?

Detailed Solution for GATE Chemical Engineering Mock Test - 9 - Question 12


For unit step input X(s) = 1/s


For unit impulse,  X(s) = 1

GATE Chemical Engineering Mock Test - 9 - Question 13

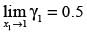
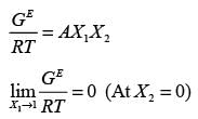
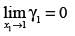
In a binary liquid mixture, the mole fraction of component 1 is denoted as x1, and its activity coefficient is represented by γ1. The excess molar Gibbs energy of the mixture is indicated as GE, while R stands for the universal gas constant and T represents the absolute temperature of the mixture. Which of the following statements is always correct?

Detailed Solution for GATE Chemical Engineering Mock Test - 9 - Question 13


Hence, the correct option is (B). 

GATE Chemical Engineering Mock Test - 9 - Question 14

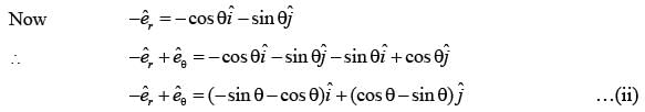
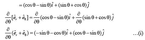
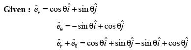
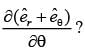
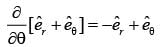
In a two-dimensional plane, the unit vectors, of the polar coordinate system and of the Cartesian coordinate system, are connected through the following two equations.

Which of the following represents the CORRECT value of ?

Detailed Solution for GATE Chemical Engineering Mock Test - 9 - Question 14




From equation (i) and (ii),

Hence, the correct option is (D).

GATE Chemical Engineering Mock Test - 9 - Question 15

Which of the following statements concerning the octane number is NOT accurate?

Detailed Solution for GATE Chemical Engineering Mock Test - 9 - Question 15

About octane no. we know that :

  • Branching in linear alkanes increase their octane number.
  • Catalytic reforming of hydrocarbons increases their octane number.
  • Gasoline (petrol) quality is measured in terms of octane number.

Thus, option (A) is incorrect.

GATE Chemical Engineering Mock Test - 9 - Question 16

Examine the refining processes presented in Group-I alongside the catalysts outlined in Group-II.

What is the appropriate pairing?

Detailed Solution for GATE Chemical Engineering Mock Test - 9 - Question 16

Hydrodesulfurization (HDS) or Hydrotreating is a catalytic chemical process that is widely used to remove sulfur compounds from refined petroleum products such as petrol or gasoline. In fact, most HDS systems in petroleum refineries use cobalt-modified molybdenum disulfide (MoS2)-based catalysts along with smaller quantities of other metals. Nickel and tungsten are also used aside from the MoS2 catalysts, depending on the nature of the feed.
Fluid catalytic cracking is now major secondary conversion process in Petroleum refinery using Zeolite catalyst.
Platinum suppor ted on porous alumina is used as a catalyst in Catalytic reforming unit.  
Hence, the correct option is (C).

GATE Chemical Engineering Mock Test - 9 - Question 17

Analyze the procedures in Group - 1 alongside the reactions occurring in Group - 2 

What is the accurate combination?

Detailed Solution for GATE Chemical Engineering Mock Test - 9 - Question 17

Sodium carbonate (Soda Ash) is manufactured by following process.
1. Leblanc process.
2. Solvay‘s ammonia soda process.
3. Dual process (modified Solvay‘s process)
4. Electrolytic process.
In Solvay process Common Salt (NaCl) and limestone (CaCO3) are used as a raw material. 

Hydroformylation, commonly referred to as the "oxo" process, is a Co or Rh catalyzed reaction of olefins with CO and H2 to produce value-added aldehydes. 

Saponification is simply the process of making soaps. Soaps are just potassium or sodium salts of longchain fatty acids. During saponification, ester reacts with an inorganic base to produce alcohol and soap. it occurs when triglycerides are reacted with potassium or sodium hydroxide (lye) to produce glycerol and fatty acid salt, called ‘soap’. 

*Answer can only contain numeric values
GATE Chemical Engineering Mock Test - 9 - Question 18

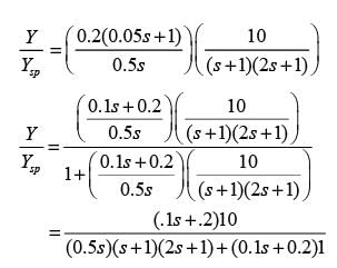
Examine the following closed-loop system where Gp and Gc represent the transfer functions of the process and the controller, respectively. 

For a unit step alteration in the set point ( ysp), what is the change in the steady-state value of the response ( y )? Please provide your answer rounded to one decimal place. 


Detailed Solution for GATE Chemical Engineering Mock Test - 9 - Question 18



Hence, the correct answer is 1. 

*Answer can only contain numeric values
GATE Chemical Engineering Mock Test - 9 - Question 19

A mixture of gases at a pressure of 1 bar and a temperature of 300 K contains 20 mol % CO2 and 80 mol % an inert gas. Assume the gases behave ideally. Given R = 8.314 J mol-1K-1, what is the minimum amount of work, in kJ, required to separate 100 mol of this mixture at 1 bar and 300 K into pure CO2 and the inert gas, maintaining the same temperature and pressure? (round off to the nearest integer)


Detailed Solution for GATE Chemical Engineering Mock Test - 9 - Question 19

Given,  
y1 = 0.2, y2= 0.8
n = 100 mol
P = 1 bar,T= 300 K  
Work done = Energy change in Gibbs free charge of mixing
W =ΔGmix = nRT     ∑yi lnyi
W = (100) 8.314 x 300[0.2 ln 0.2 + 0.8 ln 0]
W =-124.8 kJ  
Work done on system must be positive  =125 kJ

*Answer can only contain numeric values
GATE Chemical Engineering Mock Test - 9 - Question 20

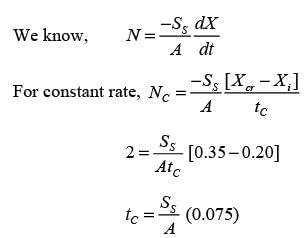
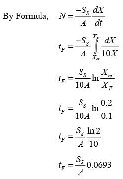
In an experiment involving batch drying, a solid with a critical moisture content of 0.2 kg H2O/kg dry solid is reduced from an initial moisture content of 0.35 kg H2O/kg dry solid to a final moisture content of 0.1 kg H2O/kg dry solid over a period of 5 hours. During the constant rate phase, the drying rate is 2 kg H2O/(m2h). The entire falling rate phase is assumed to follow a uniformly linear pattern. The equilibrium moisture content is considered to be zero. What is the mass of the dry solid per unit area in kg/m2? (round off to the nearest integer)


Detailed Solution for GATE Chemical Engineering Mock Test - 9 - Question 20


Given, 
Xi = 0.35
Xcr = 0.20
XF = 0.10

Total drying time = tC+tF = h  
Where,  tC = Constant rate drying time
tF = Falling rate drying time 

Slope of falling rate period line  = 2/0.20 = 10 
Equation of falling rate period line,  N = 10X


GATE Chemical Engineering Mock Test - 9 - Question 21

It is necessary to manage the volume of the substances in the jacketed reactor depicted in the figure. 


Which of the following schemes is suitable for implementing feedback control?

GATE Chemical Engineering Mock Test - 9 - Question 22

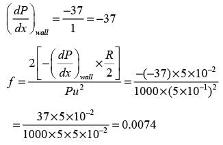
Water with a density of 1000 kg m−3 flows through a horizontal pipe that has a diameter of 10 cm, moving at an average speed of 0.5 ms−1. The following graph illustrates the pressure readings taken at various points along the pipe from its entrance. 


Based on the information presented in the figure, determine the Fanning friction factor in the pipe under conditions of FULLY DEVELOPED flow.

Detailed Solution for GATE Chemical Engineering Mock Test - 9 - Question 22

Water  ( P) = 1000 kg/m3
(d ) diameter = 10 cm, r = 5 x 10−2 cm
Vavg = 0.5 m/sec= 5 x 10−1

Find out panning friction factor in the pipe when the flow is fully developed is 


From 1074 to 1037 to 1000 constant 

GATE Chemical Engineering Mock Test - 9 - Question 23

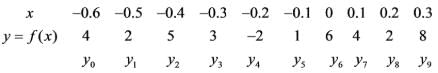
Employing Simpson's 3/8 rule, calculate the value of the integral given the following data.

Detailed Solution for GATE Chemical Engineering Mock Test - 9 - Question 23

GATE Chemical Engineering Mock Test - 9 - Question 24

The operating conditions of steam at the entrance and exit of a perfectly insulated steam turbine functioning under steady-state conditions are detailed below:
At the inlet: specific enthalpy = 3230 kJ/kg; velocity = 160 m/s
At the outlet: specific enthalpy = 2660 kJ/kg; velocity = 100 m/s

Ignoring any variations in potential energy, what is the approximate work output of the steam turbine?

GATE Chemical Engineering Mock Test - 9 - Question 25

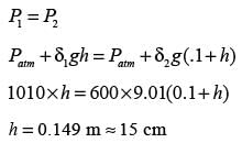
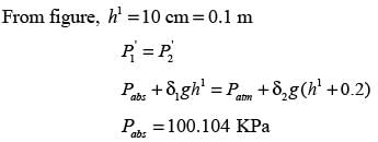
A U-tube manometer is filled with two different manometric fluids, having densities of 1000 kg m−3 and 600 kg m−3. When both arms of the manometer are open to the atmosphere, the height difference between the two fluid levels is 10 cm at equilibrium, as illustrated in the figure.


The remaining section of the manometer is occupied by air with negligible density. With an acceleration due to gravity of 9.81 m s−2 and atmospheric pressure at 100 kPa, what absolute pressure (in kPa) must be exerted on limb ‘P’ to elevate the fluid in limb ‘Q’ by an additional 20 cm?

Detailed Solution for GATE Chemical Engineering Mock Test - 9 - Question 25

First find h



Hence, the correct option is (A). 

*Answer can only contain numeric values
GATE Chemical Engineering Mock Test - 9 - Question 26

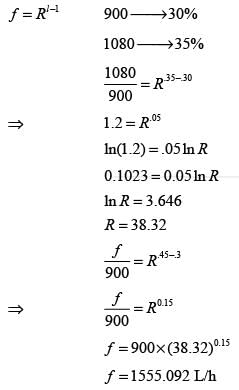
The flow rate of water through an equal percentage valve is 900 liters h-1 when the valve is opened to 30%, and 1080 liters h-1 at a 35% opening. Assuming that the pressure drop across the valve remains unchanged, what is the flow rate (in liters h-1) through the valve at a 45% opening? Please round your answer to the nearest integer. 


Detailed Solution for GATE Chemical Engineering Mock Test - 9 - Question 26

*Answer can only contain numeric values
GATE Chemical Engineering Mock Test - 9 - Question 27

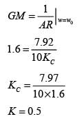
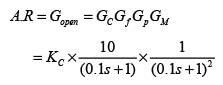
Examine the following closed loop system. 

Gc, Gf, and Gp represent the transfer functions of the controller, the final control element, and the process, respectively. y and ysp denote the response and its set point, respectively. Given a gain margin of 1.6, what is the design value of KC _____ (rounded to one decimal place)?


Detailed Solution for GATE Chemical Engineering Mock Test - 9 - Question 27

T.F

T.F

*Answer can only contain numeric values
GATE Chemical Engineering Mock Test - 9 - Question 28

The compressibility factor for a gas is defined as
Z = 1 B.P
Calculate the volume Z = 1 [in m3] of 1 mole of a real gas, given that the volume of 1 mole of the gas is 0.04 m3 when it behaves ideally. The temperature is provided as 50º C.
B = 2.234 x 10-5 Pa-1


Detailed Solution for GATE Chemical Engineering Mock Test - 9 - Question 28

*Answer can only contain numeric values
GATE Chemical Engineering Mock Test - 9 - Question 29

In a Continuous Stirred Tank Reactor (CSTR), the concentration of a tracer is recorded over time, as illustrated in the plot below:

Determine the mean residence time in minutes. (To two decimal places) ……………………….


Detailed Solution for GATE Chemical Engineering Mock Test - 9 - Question 29

 Here; t = 0 to 2 minute → C(t) = 7.5 t
t = 2 to 3 minute → C(t) = –5t + 25
t = 3 to 5 minute → C(t) = 10

*Answer can only contain numeric values
GATE Chemical Engineering Mock Test - 9 - Question 30

The residence time distribution for a reactor is illustrated in the figure below:

A second-order reaction is occurring in the reactor system, represented as P → Q, where the feed concentration of P is 2.8 mol/litre and the rate constant is 0.4 L/mol.min. What is the conversion percentage of P (rounded to two decimal places)?


Detailed Solution for GATE Chemical Engineering Mock Test - 9 - Question 30

View more questions
Information about GATE Chemical Engineering Mock Test - 9 Page
In this test you can find the Exam questions for GATE Chemical Engineering Mock Test - 9 solved & explained in the simplest way possible. Besides giving Questions and answers for GATE Chemical Engineering Mock Test - 9, EduRev gives you an ample number of Online tests for practice
Download as PDF