GATE Environmental Science Exam  >  GATE Environmental Science Tests  >  GATE Environmental Science Mock Test - 1 - GATE Environmental Science MCQ

GATE Environmental Science Mock Test - 1 - GATE Environmental Science MCQ


Test Description

30 Questions MCQ Test - GATE Environmental Science Mock Test - 1

GATE Environmental Science Mock Test - 1 for GATE Environmental Science 2025 is part of GATE Environmental Science preparation. The GATE Environmental Science Mock Test - 1 questions and answers have been prepared according to the GATE Environmental Science exam syllabus.The GATE Environmental Science Mock Test - 1 MCQs are made for GATE Environmental Science 2025 Exam. Find important definitions, questions, notes, meanings, examples, exercises, MCQs and online tests for GATE Environmental Science Mock Test - 1 below.
Solutions of GATE Environmental Science Mock Test - 1 questions in English are available as part of our course for GATE Environmental Science & GATE Environmental Science Mock Test - 1 solutions in Hindi for GATE Environmental Science course. Download more important topics, notes, lectures and mock test series for GATE Environmental Science Exam by signing up for free. Attempt GATE Environmental Science Mock Test - 1 | 65 questions in 180 minutes | Mock test for GATE Environmental Science preparation | Free important questions MCQ to study for GATE Environmental Science Exam | Download free PDF with solutions
GATE Environmental Science Mock Test - 1 - Question 1

Select the term from the options provided below that is closest in meaning to the opposite of the given word.

fascinating

Detailed Solution for GATE Environmental Science Mock Test - 1 - Question 1

Extremely interesting is synonymous of fascinating.

Boring is the opposite word.

GATE Environmental Science Mock Test - 1 - Question 2

Five friends, namely Arya, Krunal, JD, Pratik, and Ayush, are positioned in a line (not necessarily in the same order). Arya stands to the West of Krunal. Ayush is located to the East of JD and to the West of Arya. Additionally, Krunal is situated to the West of Pratik. Who among them is positioned in the center?

Detailed Solution for GATE Environmental Science Mock Test - 1 - Question 2

From the information given above:

JD - Ayush - Arya - Krunal - Pratik

GATE Environmental Science Mock Test - 1 - Question 3

Mr. X is fluent in ________ Japanese and ________ Chinese.

GATE Environmental Science Mock Test - 1 - Question 4

For the six-digit number 3x8z9y to be divisible by both 7 and 11, what is the average value of x, y, and z?

Detailed Solution for GATE Environmental Science Mock Test - 1 - Question 4

If a number is divisible by 11, sum of digits in odd places = sum of digits in even places. Also, average of digits in odd places = average of digits in even places.

GATE Environmental Science Mock Test - 1 - Question 5

What is the mirror reflection of the text shown above when flipped about the x-axis?

Detailed Solution for GATE Environmental Science Mock Test - 1 - Question 5

None of the options shows correct mirror image thus option D is correct

GATE Environmental Science Mock Test - 1 - Question 6

Consider a square sheet with a side length of 4 units. The sheet is initially folded along the primary diagonal. This is followed by another fold along its axis of symmetry. Subsequently, the resulting folded shape is folded twice (one after another) along its axis of symmetry.
The area of each face of the final folded shape, in square units, equals _________

Detailed Solution for GATE Environmental Science Mock Test - 1 - Question 6

Operation 1:

∆ABC , side AB = BC = 4 unit, Hypotenuse AC = 4√2

Operation 2:

∆ABC, side AB = BC = 2√2 unit, Hypotenuse AC = 4

Operation 3:

∆ABC, side AB = BC = 2 unit, Hypotenuse AC = 2√2

Operation 4:

∆ABC, side AB = BC = √2 unit, Hypotenuse AC = 2

A = ½ x AB x BC = ½ x √2 x √2 = 1 unit

GATE Environmental Science Mock Test - 1 - Question 7

It is often not understood how gradually and with difficulty we arrive at the articulation of truth. We tend to be quite variable, eager to maintain politeness, and are frequently influenced by either caution or anger. Our thoughts swing back and forth like a pendulum: it requires time for them to settle. After that, appropriate adjustments and corrections need to be made for our personal fluctuations that hinder precision. Just as a compass needle does not point to true north, but rather to magnetic north, our minds can at best only suggest magnetic truth, affected by various factors that distort it similarly to how iron filings affect a compass. The pressure of maintaining one’s employment: what an iron filing that is on the compass of an individual's mind!

Which of the following statements supports the conclusion regarding "truth"? 

Detailed Solution for GATE Environmental Science Mock Test - 1 - Question 7

The correct answer is "C". This comment indicates that truth does not exist on a 100% basis. Truth varies according to experiences and needs. What is considered "true" may have tinges of dishonesty in it, changing the "color" from white to grey.

Incorrect responses:

"A" This passage refers to people's behavior most of the time. Just as a compass doesn't point true north, neither are people entirely honest. The sentence just describes the unusual times.

"B" Again, the passage just speaks of usual behavior of people and of compasses. This sentence describes an unusual situation. 

"D" While past experience do affect a person, that is only a small portion of what this article addresses. Therefore this is not the best answer.

GATE Environmental Science Mock Test - 1 - Question 8

A student has documented the following concentrations of arsenic in water samples: 

Which of the following statements accurately describes the distribution of arsenic concentrations?

GATE Environmental Science Mock Test - 1 - Question 9

Let P be an m × n matrix, Q an n × l matrix, and R and S be n × n matrices, with the superscript T indicating transpose.
Consider the following relationships:
Relationship 1: (PQ)T = QTPT 
Relationship 2: (RS)-1 = S-1R-1 
Which of the following statements is true? 

GATE Environmental Science Mock Test - 1 - Question 10

The measurement of specific conductance in water analysis is utilized to indirectly determine the concentration of dissolved solids. The approach used in this method considers

GATE Environmental Science Mock Test - 1 - Question 11

Identify the reaction order and calculate the corresponding rate constant.

Detailed Solution for GATE Environmental Science Mock Test - 1 - Question 11

For 1st order reaction 

Nt = N0e–kt

61 = 100e–kx0.5

K = 1 h–1

For 2nd order reaction

Nt = N0 + 1/kt

61 = 100 + 1/0.5k

k = –0.51 (not possible)

So we can say that it's not 2nd order reaction it's actually a 1st order reaction and K = 1 thus option D is correct.

GATE Environmental Science Mock Test - 1 - Question 12

Which type of plastic should be avoided for use in food containers due to the presence of BPA?

Detailed Solution for GATE Environmental Science Mock Test - 1 - Question 12

Other type of plastic with recycling code 7 are best to avoid for food container because it contains BPA.

GATE Environmental Science Mock Test - 1 - Question 13

Which of the following cycles is the least rapid?

Detailed Solution for GATE Environmental Science Mock Test - 1 - Question 13

Phosphorus cycle is slowest cycle.

GATE Environmental Science Mock Test - 1 - Question 14

A sample of ten litres was passed through a membrane filter, and the filter was then placed onto solid agar media that promotes the growth of coliform organisms. Following an incubation period of 48 hours at 37oC, the agar plates exhibited an average of 64 colonies per plate. What is the average concentration of coliform organisms (measured in Colony Forming Units per unit volume) in the original water sample?

GATE Environmental Science Mock Test - 1 - Question 15

The Reverse Transcriptase Polymerase Chain Reaction is a technique utilized for the identification of pathogenic microorganisms. Which of the following statements is NOT accurate in this regard? 

GATE Environmental Science Mock Test - 1 - Question 16

Which of the following is NOT a goal of the UN's Millennium Development Goals (MDGs)?

Detailed Solution for GATE Environmental Science Mock Test - 1 - Question 16

GATE Environmental Science Mock Test - 1 - Question 17

The obligation to perform an Environmental Impact Assessment (EIA) for developmental projects was established in India.

Detailed Solution for GATE Environmental Science Mock Test - 1 - Question 17

The formal requirement to conduct Environmental Impact Assessments (EIA) for developmental projects in India was established with the issuance of the EIA Notification under the Environment (Protection) Act, 1986, which came into effect in 1994. This notification provided a structured framework for the mandatory assessment process, marking 1994 as the pivotal year for EIAs in India.

GATE Environmental Science Mock Test - 1 - Question 18

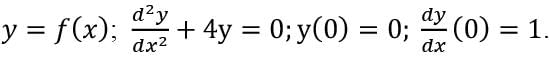
A solution to the ordinary differential equation d2y/dt2 5dy/dt 6y = 0 satisfies the conditions y(0) = 2 and y(1) = -(1-3e)/e3. What is the value of dy/dt(0)?

Detailed Solution for GATE Environmental Science Mock Test - 1 - Question 18

(D2+ 5D + 6)y = 0

m+ 5m + 6 = 0

m = -2, -3

y = c1e-2x + c2e-3x

2 = c1 + c2

-(1-3e)/e3 = c1e-2+ c2e-3

c2 = -1 c1 = 3

dy/dt = (3)(-2)e-2x + (-1)(-3)e-3x

dy/dt(0) = -3

GATE Environmental Science Mock Test - 1 - Question 19

Given, The scenario is a/an

*Multiple options can be correct
GATE Environmental Science Mock Test - 1 - Question 20

Which of the following generates contaminants in the soil that lead to soil pollution?

Note: This is a MSQ. One or more than one option can be correct.

Detailed Solution for GATE Environmental Science Mock Test - 1 - Question 20

The industry products pollute soil mass significantly. The list of industries which produce soil contaminants are:

  • Gasworks, coal carbonisation plants and ancillary by-product works
  • Metal mines, smelters, foundries, steelworks and metal-finishing installations
  • Scrap Yards
  • Paint and dye works, textile industries
  • Industries making or using wood preservatives or pesticides
  • Chemical works, pharmaceutical plants
  • Oil refineries, petroleum storage and distribution sites
  • Asbestos works
  • Tanneries and plating works
  • Landfill and other waste disposal sites
  • Sewage-treatment works
  • Coal-burning electricity-generating power stations
  • Railway land (especially large sidings and depots)
  • Munitions production and testing sites, military establishments
  • Dockyards and ship-breaking facilities
  • Paper and printing works
*Multiple options can be correct
GATE Environmental Science Mock Test - 1 - Question 21

Which of the following statements about lakes and their various zones is/are accurate?

Note: This is a Multiple Select Question (MSQ). One or more options may be correct.

Detailed Solution for GATE Environmental Science Mock Test - 1 - Question 21

Littoral zone of lake is the zone in which minimum sunlights penetrates.

*Answer can only contain numeric values
GATE Environmental Science Mock Test - 1 - Question 22

The area of the region (rounded to one decimal place) that is enclosed by the curves y = x and y = 3√x, as well as between the lines x = 0 and x = 1, is ________ units.


*Answer can only contain numeric values
GATE Environmental Science Mock Test - 1 - Question 23

A solitary storm lasting 3 hours took place over a catchment area as depicted below 

The total rainfall excess (in cm, rounded to one decimal place) across the catchment for this storm is ____________.


*Answer can only contain numeric values
GATE Environmental Science Mock Test - 1 - Question 24

A sewage treatment facility with a daily capacity of 10 million litres (MLD) is processing sewage using an aerobic biological method. The BOD levels at the inlet and outlet are recorded as 100 mg/l and 30 mg/l, respectively. Given that the observed biomass yield of the mixed microbial culture is 0.5 g Volatile Suspended Solids (VSS) per g BOD, what will be the rate of sludge production (in kg per day, rounded to one decimal place) when the plant operates at 80% of its capacity?


*Answer can only contain numeric values
GATE Environmental Science Mock Test - 1 - Question 25

The Henry’s law constant of CO2 is 3.4×10-2 M per atm in neutral water at 250C. The dissolved CO2 (i.e., CO2.H2O) at equilibrium undergoes the following reactions.
CO2 . H2O ⇌ H+ + HCO-(Equilibrium constant = 4.3 × 10-7 M) 
HCO-3 ⇌ H+ + CO2-(Equilibrium constant = 4.7 × 10-11 M) 
If ambient CO2 concentration is 300 ppm, the total dissolved CO2 (in µM, rounded off to one decimal place) is ________.


*Answer can only contain numeric values
GATE Environmental Science Mock Test - 1 - Question 26

A coarse screen utilized in the treatment of raw water has a screen constant of k = 1.43. Determine the velocity through the screen (in m/s, rounded to two decimal places) given that the velocity of approach is 3 m/s and the head loss across the screen is 1.5 m.


Detailed Solution for GATE Environmental Science Mock Test - 1 - Question 26

*Answer can only contain numeric values
GATE Environmental Science Mock Test - 1 - Question 27

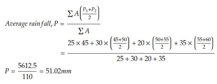
In assessing rainfall in a specific region using the isohyetal technique, the following data has been collected. Determine the average rainfall recorded (in mm, rounded to two decimal places) in the area.


Detailed Solution for GATE Environmental Science Mock Test - 1 - Question 27

*Answer can only contain numeric values
GATE Environmental Science Mock Test - 1 - Question 28

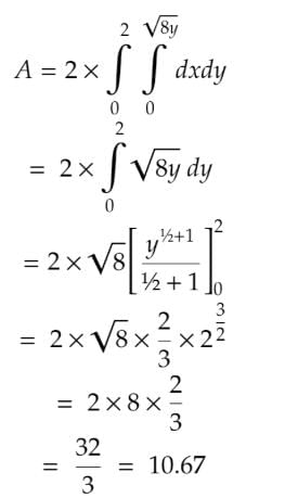
What is the area enclosed between the parabola defined by x2 = 12y and the line given by y = 2? (Round your answer to two decimal places)


Detailed Solution for GATE Environmental Science Mock Test - 1 - Question 28

*Answer can only contain numeric values
GATE Environmental Science Mock Test - 1 - Question 29

The lengths of a significant collection of titanium rods are distributed normally, with a mean (μ) of 350 mm and a standard deviation (σ) of 1 mm. What is the percentage of rods (rounded to the nearest integer) that have lengths between 349 mm and 352 mm?


Detailed Solution for GATE Environmental Science Mock Test - 1 - Question 29

Z1 = x-(μ)/σ = 349 – 350/1 = –1

Z2 = 352 – 350/1 = 2

We know that from –1 to 1 → 68% and 

–2 to 2 → 95% 

so from –1 to 2 → 68 + (95 – 68)/2 = 81.5 = 82 %

*Answer can only contain numeric values
GATE Environmental Science Mock Test - 1 - Question 30

A fair coin has two sides marked as 0 and 1. The coin is tossed twice independently. Let P and Q represent the labels for the results of these tosses. For the random variable X defined as X = max(P, Q), the expected value E(X) (rounded to two decimal places) is


Detailed Solution for GATE Environmental Science Mock Test - 1 - Question 30

P  Q  X = max(P,Q)

0  0  0

0  1  1

1  0  1

1  1  1

E(x) = 0x1/4 + 1x1/4 + 1x1/4 + 1x1/4 = 3/4 = 0.75

View more questions
Information about GATE Environmental Science Mock Test - 1 Page
In this test you can find the Exam questions for GATE Environmental Science Mock Test - 1 solved & explained in the simplest way possible. Besides giving Questions and answers for GATE Environmental Science Mock Test - 1, EduRev gives you an ample number of Online tests for practice
Download as PDF