A sum of money is to be distributed among P, Q, R, and S in the proportion 5 : 2 : 4 : 3, respectively. If R gets ₹ 1000 more than S, what is the share of Q (in ₹)?
Six friends, Arya, Janvi, Pratik, Tirtha, Saloni, and Divya, each with unique heights, compare their heights and make the following statements.
Observation I: Pratik is taller than Tirtha.
Observation II: Janvi is the shortest of all.
Observation III: Divya is taller than only one individual.
Observation IV: Saloni is taller than Pratik, yet she is not the tallest.
The number of persons that are taller than Tirtha is the same as the number of persons shorter than_________
In the provided diagram, there are 15 sections that need to be painted in such a way that no two adjacent sections sharing a boundary (excluding corners) are painted the same color. What is the minimum number of colors needed to achieve this?
In a certain coding system, the word VICTORY is represented as CIVSYRO. In the same coding system, how would the word TRAITOR be encoded?
Given the following statements:
1. Every boy is a genius.
2. Every girl is a boy.
From these statements, evaluate the conclusions:
I. Every girl is a genius.
II. Some boys are girls.
Which of the following options is logically VALID based on the statements and conclusions presented?
In recent years, there has been a notable decrease in the deer population in northern Maine. Three years ago, a major landowner initiated clear-cutting of woodlands in northern Maine, which resulted in the destruction of underbrush that serves as food for the deer. Ceasing the clear-cutting activities will help restore a thriving deer population.
Which of the following statements, if true, undermines the argument?
Generally, eukaryotic cells are characterized as
The graph depicting the relationship between viscosity (μ) of a fluid and variations in temperature (T) is shown. Which of the following statements is accurate?
In the recarbonation process, carbon dioxide plays a crucial role. A solution containing 1 mole/L of supersaturated calcium carbonate requires an estimated quantity of carbon dioxide (in grams) to fully convert the calcium carbonate into calcium ions in a 1 litre solution. What is this amount?
Which of the following is the most frequently utilized raw material in units designed for flue gas desulfurization?
How many types of errors can occur in hypothesis testing?
Which of the following statements accurately describes Global warming?
Which of the following statements accurately describes the principle of ‘Extended Producer’s Responsibility’?
What are the respective values of the recirculation ratio and recirculation factor when there is no circulation?
A rainfall of 5 cm over a duration of 2 hours at a specific station has a return period of 10 years. What is the probability that a rainfall of 5 cm or greater will occur within a 2-hour timeframe in each of three consecutive years? Provide your answer rounded to three decimal places.
The rate of infiltration f in a basin during ponding conditions is described by the equation f = 10 + 20e–t, where f is measured in mm/h and t represents time in hours. What is the total depth of infiltration (in mm, rounded to two decimal places) over the last 10 minutes of a storm that lasts for 50 minutes?
Consider the statements listed below.
(i) The wind profile exponent for a 'very unstable' atmosphere is less than that for a 'neutral' atmosphere.
(ii) The concentration of air pollutants downwind from an elevated point source is inversely related to wind speed.
(iii) The wind profile exponent for a 'neutral' atmosphere is lesser than that for a 'very unstable' atmosphere.
(iv) The downwind concentration of air pollutants from an elevated point source increases with wind speed.
Choose the correct option.
Which of the following statements regarding spent wash from the distillery industry is/are NOT accurate?
Note: This is a MSQ. One or more options may be correct.
A composting toilet has a Carbon/Nitrogen (C/N) ratio of 35:1, and based on various environmental factors, the ideal C/N ratio for effective composting is determined to be 20.
Examine the following statements and select the ones that are technically accurate concerning the conditions described above:
Note: This is a multiple-select question; one or more options may be correct.
Which of the following statements regarding FGD are NOT accurate?
Note: This is a MSQ. One or more than one option can be correct.
According to the National Ambient Air Quality Standards (notification from the Central Pollution Control Board, Government of India, 2009), which of the following statement(s) is/are accurate?
Which of the following statements is/are accurate concerning the National Green Tribunal (NGT) of India?
Refer to the figure displayed below for three distinct scenarios:
Which of the following statement(s) is/are accurate regarding surface level emissions, considering the environmental temperature?
A water sample contains 110 mg/L of carbonate ions and 80 mg/L of bicarbonate ions at a pH of 10. Determine the percentage error in the calculated alkalinity value if the contributions of hydroxide and hydrogen ions are disregarded. (Round your answer to two decimal places)
A generator produces a noise level of 88dB when measured at a distance of 17m. What will be the noise level at a distance that is double this, expressed in dB (rounded to three decimal points)?
A centrifuge is treating 1000 litres of water each hour, which contains 2 g of suspended solids per litre. The resulting thickened slurry from the centrifuge has a solids concentration of 20 g per 100 ml. Given that the centrifuge operates with 99% efficiency in terms of solids separation, what will be the flow rate (in litres per hour, rounded to one decimal place) of the supernatant stream?
Determine the total force (in kN, rounded to two decimal places) exerted by the water flow moving from sections 1-1 to sections 2-2 through the specified pipe bend. The flow rate is 0.5 m3/s, the pressure at section 1-1 is 40 kPa, and section 2-2 is positioned 4 m above section 1-1. Assume that the head loss is negligible.
The flow depth (in m, rounded to two decimal places) in a rectangular channel operating with hydraulic efficiency (n = 1/80) to accommodate a discharge of 64 m3/s at a bed slope of 0.01 is __________.
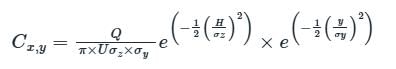
A ground-level source releases 1000 g of SO2 daily. The ambient temperature in the vicinity of the source is recorded at heights of 10 m and 110 m, measuring 25°C and 24.5°C, respectively. The average wind speed is determined to be 2 m per second. The dispersion coefficients at a downwind distance of 1000 m from the source are provided in the table below:
What is the estimated ground-level concentration (in µg/m3, rounded to two decimal places) of SO2 at a distance of 1000 m downwind (at the centerline of the plume) from the source?
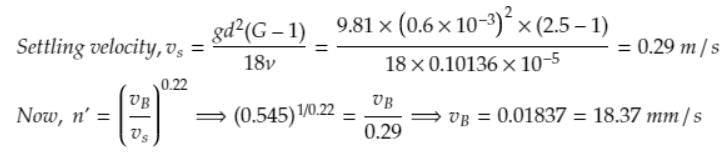
Determine the upflow velocity (in mm/s, rounded to two decimal places) necessary to increase the bed depth of the rapid sand filter from 0.6 m to 0.66 m, given a porosity of 0.5. The kinematic viscosity is 0.10136 X 10-5 m2/s. The specific gravity and size of the medium particles are 2.5 and 0.6 mm, respectively. Assume that the flow is laminar. (Provide the answer in mm/s)