GATE Environmental Science Exam  >  GATE Environmental Science Tests  >  GATE Environmental Science Mock Test - 4 - GATE Environmental Science MCQ

GATE Environmental Science Mock Test - 4 - GATE Environmental Science MCQ


Test Description

30 Questions MCQ Test - GATE Environmental Science Mock Test - 4

GATE Environmental Science Mock Test - 4 for GATE Environmental Science 2025 is part of GATE Environmental Science preparation. The GATE Environmental Science Mock Test - 4 questions and answers have been prepared according to the GATE Environmental Science exam syllabus.The GATE Environmental Science Mock Test - 4 MCQs are made for GATE Environmental Science 2025 Exam. Find important definitions, questions, notes, meanings, examples, exercises, MCQs and online tests for GATE Environmental Science Mock Test - 4 below.
Solutions of GATE Environmental Science Mock Test - 4 questions in English are available as part of our course for GATE Environmental Science & GATE Environmental Science Mock Test - 4 solutions in Hindi for GATE Environmental Science course. Download more important topics, notes, lectures and mock test series for GATE Environmental Science Exam by signing up for free. Attempt GATE Environmental Science Mock Test - 4 | 65 questions in 180 minutes | Mock test for GATE Environmental Science preparation | Free important questions MCQ to study for GATE Environmental Science Exam | Download free PDF with solutions
GATE Environmental Science Mock Test - 4 - Question 1

What is the sum of the following infinite series?

GATE Environmental Science Mock Test - 4 - Question 2

If 6 men can accomplish half of a task in 12 days by working for 8 hours each day, how many men will be required to complete the entire task in 8 days while working 9 hours a day?

Detailed Solution for GATE Environmental Science Mock Test - 4 - Question 2

GATE Environmental Science Mock Test - 4 - Question 3

Which of the following options depicts the reflection of the figure shown below when the mirror is placed on the left side?

Detailed Solution for GATE Environmental Science Mock Test - 4 - Question 3

GATE Environmental Science Mock Test - 4 - Question 4

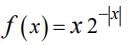
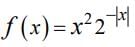
Which of the following options correctly represents the given graph?

GATE Environmental Science Mock Test - 4 - Question 5

Consider two identical right circular cones arranged such that one is inverted and placed atop the other, both sharing a common circular base. If a cutting plane intersects the apexes of the stacked cones, what form will the outer edge of the resultant cross-section take? 

GATE Environmental Science Mock Test - 4 - Question 6

Which of the following accurately depicts the order of atomic size?

Detailed Solution for GATE Environmental Science Mock Test - 4 - Question 6

Atomic size gradually decreases from left to right across a period of elements and increases down a group.

GATE Environmental Science Mock Test - 4 - Question 7

The following table presents the techniques utilized for the removal of particles in a rapid sand filter, along with their corresponding descriptions.

Determine the correct association.

GATE Environmental Science Mock Test - 4 - Question 8

In a specific area, the temperature of the environment increases by 6°C for every kilometer in altitude. What is the state of atmospheric stability at this location?

GATE Environmental Science Mock Test - 4 - Question 9

What feature of Municipal Solid Waste (MSW) plays a crucial role in determining its Fixed carbon content?

Detailed Solution for GATE Environmental Science Mock Test - 4 - Question 9

Proximate analysis determines the Moisture content, VOC, Ash content and Fixed carbon conent.
Ultimate analysis determines the C,H,O,N,S and Ash content

GATE Environmental Science Mock Test - 4 - Question 10

Which ISO standard is associated with Life Cycle Assessment (LCA)?

Detailed Solution for GATE Environmental Science Mock Test - 4 - Question 10
  • ISO 14001 Environmental management systems - Requirements with guidance for use
  • ISO 14040 to 14049 Environmental management - Life cycle assessment; discusses pre-production planning and environment goal setting
  • ISO/TR 14062 Environmental management - Integrating environmental aspects into product design and development
  • ISO 14064 Greenhouse gases; measuring, quantifying, and reducing greenhouse gas emissions
GATE Environmental Science Mock Test - 4 - Question 11

During a Most Probable Number (MPN) analysis, after the initial phase (Presumptive test) is completed, the outcome indicates a positive result, suggesting that the water sample is not safe for use. To confirm this finding, the sample is forwarded to the subsequent phase (Confirmatory test) instead of moving straight to the final phase (Completed test). In the second phase of this testing process, the medium employed for the confirmatory test is 

Detailed Solution for GATE Environmental Science Mock Test - 4 - Question 11

For carrying out the test in the second stage, the medium used in the confirmatory test is Green Bile broth. The MeConky broth and Eosin Methyl Blue Agar are used in the Presumptive test and Completed test respectively.

Note: Most probable number (MPN) is a number that represents the bacterial density that is most likely to be present. The MPN test is carried in the following three stages - 1. Presumptive test (Medium - Meconky broth),  2. Confirmatory Test (Medium - Brilliant Green BIle broth) and 3. Completed Test (Medium - Eosin Methyl Blue Agar).

GATE Environmental Science Mock Test - 4 - Question 12

The relationship between 'Applied chlorine' and 'Residual chlorine' is depicted in the diagram above.


Which of the points A, B, C, D, and E represents the chlorination "Breakpoint"?

Detailed Solution for GATE Environmental Science Mock Test - 4 - Question 12

'Point D' represents the breakpoint. As seen, up to B - Chlorine is required to destroy both bacteria and organic impurities. So, when chlorine is applied, it first kills the bacteria up to 'B'. Further addition of Cl2 (Chlorine) appears as residual chlorine. Up to point 'C' the chlorine is used for oxidizing the impurities. At point 'D' the residual chlorine increases as all the demands of impurities and bacteria are satisfied. So, this point 'D' is called the "Breakpoint". Now, as there is no component left in the water that will react with added chlorine, so after a breakpoint, any further dose of chlorine gets accumulated and this process of adding chlorine beyond the breakpoint is called "Breakpoint chlorination".

*Multiple options can be correct
GATE Environmental Science Mock Test - 4 - Question 13

In an open rectangular channel, when the flow reaches a critical condition and the depth of the flow is measured at 2 meters, which of the following statements is accurate?

*Multiple options can be correct
GATE Environmental Science Mock Test - 4 - Question 14

Which kind of apparatus can be employed to control particulate matter pollution within an industrial setting?

*Answer can only contain numeric values
GATE Environmental Science Mock Test - 4 - Question 15

Determine the area (rounded to two decimal places) of the space bounded by the circle,
x2 y2 = 4, the line y = x, and the vertical axis.


Detailed Solution for GATE Environmental Science Mock Test - 4 - Question 15

Radius of circle = √4 = 2
Area of the bounded region = (1/8)th of the area of the circle (45° sector)
⇒ Area = (1/8) × π × (2)2 = 1.570796 ≈ 1.57
There is no need for integration here.

*Answer can only contain numeric values
GATE Environmental Science Mock Test - 4 - Question 16

The boundary between soap bubbles and air exhibits a surface tension of 0.054 N/m. Determine the internal pressure (in N/m2, rounded to two decimal places) within a soap bubble that has a diameter of 6 cm.


Detailed Solution for GATE Environmental Science Mock Test - 4 - Question 16

Since, a soap bubble has two soap-air interfaces,

This is over and above the atmospheric pressure.

GATE Environmental Science Mock Test - 4 - Question 17

Given the two regression lines defined by the equations 3x - 2y 1 = 0 and 2x - y - 2 = 0, find the means of the x and y variables, respectively.

Detailed Solution for GATE Environmental Science Mock Test - 4 - Question 17

Given, 3x - 2y + 1 = 0 and 2x - y - 2 = 0

Let the mean of x be   x̄ and mean of y be ȳ.

Here, (x̄, ȳ) is the point of intersection of the 2 lines.

3x - 2y + 1 = 0 -- eqn. 1

(2x - y - 2 = 0) x 2 ⇒ 4x - 2y - 4 = 0 -- eqn. 2

Subtract eqn. 2 from eqn. 1

-x + 5 = 0,  x̄ = 5

From eqn. 1, 3 × 5 - 2y + 1 = 0, ȳ = 8

Thus, x̄ = 5 and ȳ = 8

GATE Environmental Science Mock Test - 4 - Question 18

Consider the kinetics of a second-order reaction (rc = −kC2) under conditions of steady-state. What is the required ratio of the volume of a completely mixed reactor (CMR) to that of a plug flow reactor (PFR) to achieve a reduction of 90% in concentration?
The inlet concentrations for both reactors are kept the same.

GATE Environmental Science Mock Test - 4 - Question 19

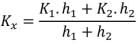
Consider two horizontal layers of an aquifer as shown in the diagram. Each layer is both isotropic and homogeneous. The flow occurs parallel to the layers. The thickness and horizontal hydraulic conductivity of the first layer are represented as h1 and K1, respectively. For the second layer, the thickness and horizontal hydraulic conductivity are indicated by h2 and K2, respectively, under the condition that h1 does not equal h2.
The equivalent horizontal conductivity Kx for the aquifer system is denoted by _______.

GATE Environmental Science Mock Test - 4 - Question 20

A gravity settling chamber with a height of ‘H’ and a length of ‘L’ is designed to address particulate air pollution. Within this chamber, the horizontal airflow velocity is ‘Vh’ and the terminal settling velocity of the given particle is ‘Vt’. Which of the following equations correctly illustrates the principle used to ascertain the minimum size of the target particle that can be removed with 100% efficiency?

GATE Environmental Science Mock Test - 4 - Question 21

The existence of calcium (Ca2 ) and magnesium (Mg2 ) ions contributes to the hardness of water. At standard water temperatures, which forms of calcium and magnesium exhibit the least solubility?

Detailed Solution for GATE Environmental Science Mock Test - 4 - Question 21

The least soluble forms of calcium (Ca²⁺) and magnesium (Mg²⁺) in water at normal temperatures are their carbonate (CaCO₃) and hydroxide (Mg(OH)₂) salts. These compounds are poorly soluble in water due to their low solubility products (Ksp).

  • CaCO₃ (calcium carbonate) is known for its very low solubility in water, leading to its precipitation when water is in contact with sources of calcium and carbonate ions.
  • Mg(OH)₂ (magnesium hydroxide) is also only sparingly soluble in water, leading to the formation of precipitates in water with high magnesium ion concentration.
*Answer can only contain numeric values
GATE Environmental Science Mock Test - 4 - Question 22

The equations of the regression lines are expressed as

3x - 2y - 10 = 0, 3y - 4x 24 = 0

What is the value of the correlation coefficient, rounded to two decimal places?


Detailed Solution for GATE Environmental Science Mock Test - 4 - Question 22

1) 3x - 2y - 10 = 0 ➞ x = (2/3)y + 10/3

coefficient of y (byx) =  2/3

2) 3y - 4x +24 = 0 ➞ y = (4/3)x - 8

coefficient of x (bxy) = 4/3

r = √bxy.byx = √8/9 = 0.94

*Answer can only contain numeric values
GATE Environmental Science Mock Test - 4 - Question 23

Considering the watershed and the isohyets depicted in the diagram, what is the average precipitation within the watershed represented in _______ mm (an integer value)?


*Answer can only contain numeric values
GATE Environmental Science Mock Test - 4 - Question 24

In a room, there are two sources of noise located adjacent to each other, with sound pressure levels recorded at 30 dB and 40 dB, respectively. What is the cumulative sound pressure level in the room, expressed in __________ dB (rounded to two decimal places)?
Use a reference sound pressure of 20 µPa.


*Answer can only contain numeric values
GATE Environmental Science Mock Test - 4 - Question 25

The weight density (kN/m3) of the fluid varies with depth as described by the equation:
γ = 15e−0.2h 60h 5
What is the gauge pressure (in kPa) at a depth of 5 m? Please round your answer to two decimal places.


Detailed Solution for GATE Environmental Science Mock Test - 4 - Question 25

dP = γ dh
0P dP = ∫05 (15e-0.2h + 60h + 5) dh
Integrating above within limits, we get
P = 822.41 kPa

*Answer can only contain numeric values
GATE Environmental Science Mock Test - 4 - Question 26

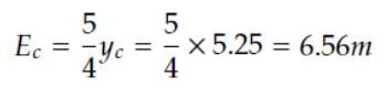
In a triangular cross-section with steady flow, the depth of the flow at a certain point is 2m. The side slope of the triangular shape is 1 vertical to 2.5 horizontal. The measured flow velocity is 35m/s. Calculate the critical specific energy of the flow (in meters, rounded to two decimal places).


Detailed Solution for GATE Environmental Science Mock Test - 4 - Question 26


*Answer can only contain numeric values
GATE Environmental Science Mock Test - 4 - Question 27

Two theoretical organic waste streams, referred to as A and B, are mixed prior to the composting process. Waste-A has a composition of 2.16% C and 1.20% N, whereas Waste-B comprises 19.10% C and 0.14% N. In order to achieve the desired C:N ratio of 25, determine the quantity of Waste-B that should be combined with each kg of Waste-A, expressed in __________ kg (rounded to two decimal places).
Assume that both waste streams are completely dry.


*Answer can only contain numeric values
GATE Environmental Science Mock Test - 4 - Question 28

Two friends, Jaydip and Dhruvi, alternate rolling a standard die. The game is won by the first player to roll a six. Since Dhruvi rolls first, what is the likelihood (expressed as a percentage, rounded to two decimal places) that Jaydip will win the game?


Detailed Solution for GATE Environmental Science Mock Test - 4 - Question 28

P(jaydip) = ⅚ x ⅙ + ⅚ x ⅚ x ⅚ x ⅙ + ⅚ x ⅚ x ⅚ x ⅚ x ⅚ x ⅙ + .....
P x (⅚)² = ⅚ x ⅚ x ⅚ x ⅙ + ⅚ x ⅚ x ⅚ x ⅚ x ⅚ x ⅙ + .....
P – P(⅚)² = ⅚ x ⅙
P = 5/11 = 0.4546 = 45.46%

*Answer can only contain numeric values
GATE Environmental Science Mock Test - 4 - Question 29

A container originally contained 400 g of ethanol. A student used half of this ethanol to prepare a stock solution in an environmental chemistry laboratory just before embarking on a 90-day summer vacation. After completing this task, the student left the bottle uncapped. If the open bottle loses ethanol at a rate of 0.5 g each day, what amount of ethanol will be left in the bottle at the end of the summer vacation, expressed in grams (as an integer)?


*Answer can only contain numeric values
GATE Environmental Science Mock Test - 4 - Question 30

Given the second-order ordinary differential equation with initial conditions y = 2 and dy/dx = 1 at x = 0, what is the value of y when x = 1, rounded to three decimal places?


View more questions
Information about GATE Environmental Science Mock Test - 4 Page
In this test you can find the Exam questions for GATE Environmental Science Mock Test - 4 solved & explained in the simplest way possible. Besides giving Questions and answers for GATE Environmental Science Mock Test - 4, EduRev gives you an ample number of Online tests for practice
Download as PDF