GATE Environmental Science Exam  >  GATE Environmental Science Tests  >  GATE Environmental Science Mock Test - 5 - GATE Environmental Science MCQ

GATE Environmental Science Mock Test - 5 - GATE Environmental Science MCQ


Test Description

30 Questions MCQ Test - GATE Environmental Science Mock Test - 5

GATE Environmental Science Mock Test - 5 for GATE Environmental Science 2025 is part of GATE Environmental Science preparation. The GATE Environmental Science Mock Test - 5 questions and answers have been prepared according to the GATE Environmental Science exam syllabus.The GATE Environmental Science Mock Test - 5 MCQs are made for GATE Environmental Science 2025 Exam. Find important definitions, questions, notes, meanings, examples, exercises, MCQs and online tests for GATE Environmental Science Mock Test - 5 below.
Solutions of GATE Environmental Science Mock Test - 5 questions in English are available as part of our course for GATE Environmental Science & GATE Environmental Science Mock Test - 5 solutions in Hindi for GATE Environmental Science course. Download more important topics, notes, lectures and mock test series for GATE Environmental Science Exam by signing up for free. Attempt GATE Environmental Science Mock Test - 5 | 65 questions in 180 minutes | Mock test for GATE Environmental Science preparation | Free important questions MCQ to study for GATE Environmental Science Exam | Download free PDF with solutions
GATE Environmental Science Mock Test - 5 - Question 1

A car travels at an average speed of 60 km/hr. However, if the driver opts for an alternate route where the traffic is somewhat heavier, the average speed decreases to 50 km/hr. Given that the driver took 1 hour to reach the destination while traveling at 60 km/hr, how much additional time will it take to arrive at the destination using the slower route?

Detailed Solution for GATE Environmental Science Mock Test - 5 - Question 1

Average speed of car = 60 km / hr
Reduced average speed of car = 50 km / hr
If the speed would not have been reduced then the driver would have covered 10 km more in an hour
∴ Extra time taken by him = Time taken to cover these 10 km
= (10 / 50) x 60
= 12 min.

GATE Environmental Science Mock Test - 5 - Question 2

In the series 23E, 45I, 67M, what would be the subsequent term?

Detailed Solution for GATE Environmental Science Mock Test - 5 - Question 2

The numeric values are in series as 23, 45, 67
Hence the next numeric values would be 89
The alphabet corresponds to sum of the two numeric values with it as
2 + 3 = 5 (E)
4 + 5 = 9 (I)
Hence 8 + 9 = 17 (Q)

GATE Environmental Science Mock Test - 5 - Question 3

Select the most appropriate words from the given choices to complete the sentences below.
(i) You are equating theoretical discomfort with _____ pain.
(ii) The outlook is already _____ in these immediate requirements.

Detailed Solution for GATE Environmental Science Mock Test - 5 - Question 3

IMMANENT-inherent or intrinsic
IMMINENT-ready to take place

GATE Environmental Science Mock Test - 5 - Question 4

The present population of a city stands at 11,02,500. If it has been growing at an annual rate of 5%, what was the population of the city two years prior?

GATE Environmental Science Mock Test - 5 - Question 5

If p and q are positive integers such that p/q q/p equals 3, what is the value of p2/q2 q2/p2?

GATE Environmental Science Mock Test - 5 - Question 6

In the year 2000, the incomes of Companies X and Y were in the ratio of 3 : 4. What was the corresponding ratio of their expenditures for the same year?

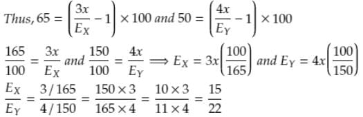
Detailed Solution for GATE Environmental Science Mock Test - 5 - Question 6

In 2000, Ratio of profit of X and Y = 65:50, Ratio of income of X and Y = 3:4

Let incomes of X and Y be 3x and 4x and let the expenditures for X and Y be EX and EY

GATE Environmental Science Mock Test - 5 - Question 7

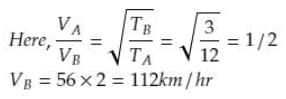
Two trains, A and B, depart simultaneously from the stations of Mumbai and Bengaluru respectively, traveling towards each other. After they meet, it takes them 12 hours and 3 hours to arrive at Mumbai and Bengaluru respectively. Given that train A travels at a speed of 56 km/hr, what is the speed of train B?

Detailed Solution for GATE Environmental Science Mock Test - 5 - Question 7

GATE Environmental Science Mock Test - 5 - Question 8

Below are two statements followed by two conclusions.
Statement 1: Every purple is green.
Statement 2: Every black is green.
Conclusion I: Some blacks are purples.
Conclusion II: No black is purple.
Based on the statements and conclusions provided, which of the following options is logically INCORRECT?               

GATE Environmental Science Mock Test - 5 - Question 9

Computers are everywhere in modern life, enhancing efficiency across various domains, including agriculture and space exploration. Currently, artificial intelligence (AI) is a prominent topic of discussion. AI allows computers to learn when provided with sufficient training data. Prolonged periods of computer use can result in health problems for humans.
Which of the following conclusions can be drawn from the passage above?

(i) Today, computers are found in nearly all environments.

(ii) Computers are not applicable for addressing engineering challenges.

(iii) The use of computers has both beneficial and detrimental effects on humans.

(iv) Artificial intelligence can function independently of data.

GATE Environmental Science Mock Test - 5 - Question 10

Consider a square sheet with a side length of 1 unit. In the initial step, it is sliced along the primary diagonal, resulting in two triangular sections. In the following step, one of these triangular sections is rotated around its shorter edge to create a solid cone. The volume of the resulting cone, measured in cubic units, is ________

GATE Environmental Science Mock Test - 5 - Question 11

What is the primary aim of the Earth Summit held in Rio de Janeiro?

Detailed Solution for GATE Environmental Science Mock Test - 5 - Question 11

The main aim of the United Nations Conference on Environment and Development (UNCED) Earth summit was to put the concept of sustainable development and protect the planet from environmental degradation that even threatens to change the global climate.

GATE Environmental Science Mock Test - 5 - Question 12

The process of treating solid waste through pyrolysis entails:

Detailed Solution for GATE Environmental Science Mock Test - 5 - Question 12

Pyrolysis of low-density polyethylene (LDPE) was studied in order to relieve environmental pollution and recover the monomer or fuel. LDPE was thermally decomposed with and without catalyst.

GATE Environmental Science Mock Test - 5 - Question 13

The measurement of ozone thickness is expressed in:

Detailed Solution for GATE Environmental Science Mock Test - 5 - Question 13

The Dobson Unit is a way to describe how much ozone there would be in the column if it were all squeezed into a single layer. The average amount of ozone in the atmosphere is roughly 300 Dobson Units.

GATE Environmental Science Mock Test - 5 - Question 14

A tangent line is drawn to the curve of the function y = x2 at the point (x, y) = (3, 9). What is the slope of this tangent line? ____________.

GATE Environmental Science Mock Test - 5 - Question 15

GATE Environmental Science Mock Test - 5 - Question 16

The following table illustrates the carbon content present in four different samples of powdered coal. If these samples are thoroughly combined, what would be the carbon percentage of the resulting mixture by weight?

GATE Environmental Science Mock Test - 5 - Question 17

In which location does the electron transport chain occur?

Detailed Solution for GATE Environmental Science Mock Test - 5 - Question 17

Both TCA cycle and Electron transport chain take place in mitochondria of eukaryotes while glycolysis occurs in cytoplasm.

GATE Environmental Science Mock Test - 5 - Question 18

In which unit is the thickness of the ozone layer quantified?

Detailed Solution for GATE Environmental Science Mock Test - 5 - Question 18

Ozone layer thickness is measured in Dobson, which is the number of ozone molecules needed to form a complete layer of 0.01 mm thickness in 0o celcius and 1atm pressure.

GATE Environmental Science Mock Test - 5 - Question 19

According to the Biomedical Waste Handling Rules 2016, what is the total number of categories for Biomedical waste?

Detailed Solution for GATE Environmental Science Mock Test - 5 - Question 19

4 categories - Yellow, Red, White and Blue

GATE Environmental Science Mock Test - 5 - Question 20

Consider the following statements:
I. The aim of Life Cycle Analysis (LCA) is to evaluate the environmental effects of products from a holistic viewpoint and to pinpoint potential strategies for enhancement.
II. Environmental Impact Assessment (EIA) is described as the process of recognizing, forecasting, and assessing the probable effects of a proposed project or development to establish mitigation measures that lessen adverse effects and to offer beneficial contributions to the natural environment and public well-being.
The correct choice is 

GATE Environmental Science Mock Test - 5 - Question 21

For the key environmental legislation in India listed below:

i) Environmental Protection Act

ii) Water Act (Prevention and Control of Pollution)

iii) Air Act (Prevention and Control of Pollution)

iv) The National Green Tribunal Act

what is the correct sequence of their enactment from the oldest to the most recent?

GATE Environmental Science Mock Test - 5 - Question 22

The kinematic viscosities of glycerin and kerosene are 1.2 times and 0.95 times that of water, respectively. Both glycerin and kerosene are flowing through two identical porous media with the same hydraulic gradient. Assuming that Darcy’s law applies to the porous media, what is the ratio of the flow rate of kerosene to that of glycerin?

GATE Environmental Science Mock Test - 5 - Question 23

What is the most favored ideal measure in the hierarchy of Integrated Solid Waste Management (ISWM) for handling municipal solid waste?

Detailed Solution for GATE Environmental Science Mock Test - 5 - Question 23

According to the model of the hierarchy of ISWM, source reduction and reuse is ideally the first step. In some cases where the generation of waste is inevitable, reuse and recycling are suitable.

GATE Environmental Science Mock Test - 5 - Question 24

In accordance with the BMW handling regulations of 2016, which type of waste is required to be disposed of in the Black bag?

Detailed Solution for GATE Environmental Science Mock Test - 5 - Question 24

Non biomedical should be disposed in Black bags.

GATE Environmental Science Mock Test - 5 - Question 25

What is the minimum thickness of compostable carry bags as recommended in the Plastic Waste Management Rules of 2016?

Detailed Solution for GATE Environmental Science Mock Test - 5 - Question 25

50 micron is the minimum thickness of the Compostable carry bags suggested in Plastic waste management rules 2016.

GATE Environmental Science Mock Test - 5 - Question 26

Which of the following organic compounds contribute to environmental pollution in recent times?

Detailed Solution for GATE Environmental Science Mock Test - 5 - Question 26

Polycyclic aromatic hydrocarbons (PAH) are carcinogenic (cancer causing) compounds released by combustion of coal and petroleum products. Some examples of PAH are pyrene, quinoline, etc.

GATE Environmental Science Mock Test - 5 - Question 27

Which of the following theories addresses the balance between the availability of resources and their consumption?

Detailed Solution for GATE Environmental Science Mock Test - 5 - Question 27

According to steady state economic theory human society can grow to a special state resource supply and consumption or balance day only refinement of society will take place then.

*Multiple options can be correct
GATE Environmental Science Mock Test - 5 - Question 28

What are the pollutants that can be classified as secondary air pollutants?

*Multiple options can be correct
GATE Environmental Science Mock Test - 5 - Question 29

According to the Hazardous Waste (Management and Handling) Rules, 2016, in India, what is/are the characteristic(s) that a waste must demonstrate to be categorized as 'characteristic' hazardous waste?

*Multiple options can be correct
GATE Environmental Science Mock Test - 5 - Question 30

Which of the following statement(s) are correct?

Note: This is a multiple select question; one or more options may be correct.

Detailed Solution for GATE Environmental Science Mock Test - 5 - Question 30

Increased levels of carbon monoxide in the indoor environment result in the formation of carboxyhemoglobin and long term exposure becomes a cause of cardiovascular diseases.

View more questions
Information about GATE Environmental Science Mock Test - 5 Page
In this test you can find the Exam questions for GATE Environmental Science Mock Test - 5 solved & explained in the simplest way possible. Besides giving Questions and answers for GATE Environmental Science Mock Test - 5, EduRev gives you an ample number of Online tests for practice
Download as PDF