GATE Environmental Science Exam  >  GATE Environmental Science Tests  >  GATE Environmental Science Mock Test - 6 - GATE Environmental Science MCQ

GATE Environmental Science Mock Test - 6 - GATE Environmental Science MCQ


Test Description

30 Questions MCQ Test - GATE Environmental Science Mock Test - 6

GATE Environmental Science Mock Test - 6 for GATE Environmental Science 2025 is part of GATE Environmental Science preparation. The GATE Environmental Science Mock Test - 6 questions and answers have been prepared according to the GATE Environmental Science exam syllabus.The GATE Environmental Science Mock Test - 6 MCQs are made for GATE Environmental Science 2025 Exam. Find important definitions, questions, notes, meanings, examples, exercises, MCQs and online tests for GATE Environmental Science Mock Test - 6 below.
Solutions of GATE Environmental Science Mock Test - 6 questions in English are available as part of our course for GATE Environmental Science & GATE Environmental Science Mock Test - 6 solutions in Hindi for GATE Environmental Science course. Download more important topics, notes, lectures and mock test series for GATE Environmental Science Exam by signing up for free. Attempt GATE Environmental Science Mock Test - 6 | 65 questions in 180 minutes | Mock test for GATE Environmental Science preparation | Free important questions MCQ to study for GATE Environmental Science Exam | Download free PDF with solutions
GATE Environmental Science Mock Test - 6 - Question 1

A 25m long ladder (whose foot is on the ground) leans against the wall making an angle of 450 with the wall. What is the ratio of the horizontal distance of the wall and foot of the ladder to the height of the point where the ladder touches the wall from the ground?

Detailed Solution for GATE Environmental Science Mock Test - 6 - Question 1

cos 45 = x / 25 = 1 / √2, x = (25 / √2) m

sin 45 = y / 25 = 1 / √2, y = (25 / √2) m

Ratio = 1

GATE Environmental Science Mock Test - 6 - Question 2


The least number of squares that must be added so that the line P-Q becomes the line of symmetry is ________

GATE Environmental Science Mock Test - 6 - Question 3

Nostalgia is to anticipation as _______ is to ________      

Which one of the following options maintains a similar logical relation in the above sentence?   

GATE Environmental Science Mock Test - 6 - Question 4

Corners are cut from an equilateral triangle to produce a regular convex hexagon as shown in the figure below. 

The ratio of the area of the regular convex hexagon to the area of the original equilateral triangle is

Detailed Solution for GATE Environmental Science Mock Test - 6 - Question 4

To find the ratio of the area of the regular convex hexagon to the area of the original equilateral triangle, follow these steps:

  • The area of an equilateral triangle can be calculated using the formula: Area = (√3/4) × a².
  • A regular hexagon can be formed by cutting off the corners of the triangle. The area of the hexagon is derived from the same side length, using the formula: Area = (3√3/2) × a/3².
  • To find the ratio of the areas:
    • Area of hexagon = (3 X √3/2) × (a/3)²
    • Area of triangle = (√3/4) × a²
  • The ratio can thus be calculated as: Ratio = (Area of hexagon) / (Area of triangle).

Substituting the areas yields:

  • Ratio = [(3√3/2) × (a/3)²] / [(√3/4) × a²].
  • This simplifies to: Ratio = 6./ 9 = 2 / 3.

Thus, the final answer is option A: 2:3.

GATE Environmental Science Mock Test - 6 - Question 5

In a clariflocculator which of the following unit operations take place?

1. Coagulation

2. Aeration

3. Filtration

4. Sedimentation

Detailed Solution for GATE Environmental Science Mock Test - 6 - Question 5

In a clariflocculator, the following unit operations take place:

  1. Coagulation: Coagulants are added to destabilize the colloidal particles in the water, allowing them to agglomerate into larger particles.
  2. Sedimentation: The larger particles formed during coagulation settle to the bottom of the tank due to gravity.

Aeration (2) and Filtration (3) do not occur in a clariflocculator. Aeration is typically done in a separate aeration tank, and filtration occurs after sedimentation, usually in a filtration unit.

GATE Environmental Science Mock Test - 6 - Question 6

What is the pH of a water sample having H+ concentration of 10 mg/L? The atomic weight of H is 1 g/mol.

GATE Environmental Science Mock Test - 6 - Question 7

CRZ notification of Government of India specifies the stretches of sea, bays, estuaries etc as coastal areas require protection from developmental activities.

Detailed Solution for GATE Environmental Science Mock Test - 6 - Question 7

The Central Government declares the coastal stretches of seas, bays, estuaries, creeks, rivers and backwaters which are influenced by tidal action (in the landward side) upto 500 metres from the High Tide Line (HTL) and the land between the Low Tide Line (LTL) and the HTL as Coastal Regulation Zone; and imposes with effect from the date of Notification, the restrictions were imposed on the setting up and expansion of industries, operations or processes, etc. in the said Coastal Regulation Zone (CRZ).

GATE Environmental Science Mock Test - 6 - Question 8

The correct ascending order of the following greenhouse gases with respect to their global warming potential relative to CO2 in the time horizon of 100 years is

GATE Environmental Science Mock Test - 6 - Question 9

Read the following statements with reference to the Kyoto Protocol on Climate Change
i) Each signatory (country) has common and equal responsibility.
ii) Clean development mechanism (CDM), joint implementation (JI) and international emission trading are the three mechanisms under Kyoto Protocol to reduce the greenhouse gas emissions.
iii) Under Kyoto Protocol, India has agreed to reduce its greenhouse gas emissions by half by 2050 as compared to 2005 emissions.
Which one of the following is correct choice?

GATE Environmental Science Mock Test - 6 - Question 10

Read the following statements
I. In environmental laws, the polluter pays principle is enacted to make the polluter responsible for paying for the damage done to the natural environment.
II. The precautionary principle emphasizes caution, pausing and review before going for an innovation that may prove disastrous.
III. The precautionary principle is often used by policy makers in situations where there is the possibility of harm from making a certain decision and conclusive evidence is not yet available.
The correct choice is

GATE Environmental Science Mock Test - 6 - Question 11

Carbon sequestration is the process of

Detailed Solution for GATE Environmental Science Mock Test - 6 - Question 11

Carbon sequestration is the removal of CO2 from the atmosphere and storing it in prolonged biological cycles.

*Multiple options can be correct
GATE Environmental Science Mock Test - 6 - Question 12

(MSQ-This is a multiple select question, one or more than one option can be correct)

Which of the following options regarding evaporation from lakes is/are incorrect?

Detailed Solution for GATE Environmental Science Mock Test - 6 - Question 12

During summer, when the depth of the lake increases sunlight is not able to penetrate till the lake bed so the evaporation rate decreases with depth. But during winter, the bottom layer easily absorbs heat and the evaporation rate increases.

*Answer can only contain numeric values
GATE Environmental Science Mock Test - 6 - Question 13

In a sample, the growth of microbial cells started with an initial concentration of 5 × 104 cells per millilitre (mL) of the sample. After a certain time period, the cell concentration was found to be 1280 × 104 cells per mL of the sample. Assuming binary fission of cells and no cell death, the number of generations of cell growth occurred in this time period is ____________ (answer in integer).


*Answer can only contain numeric values
GATE Environmental Science Mock Test - 6 - Question 14

If for two events E1 and E2, P( E1 ∩ E2 ) = 0.4 and P ( E1c ∩ E2c ) = 0.3 and P(E1) = P(E2). Then P(E1) will be ___. 

(Write your answer rounding off to 2 decimals)


Detailed Solution for GATE Environmental Science Mock Test - 6 - Question 14

0.3 + x + 0.4 + y = 1
x + y = 0.3
P(E₁) = P(E₂)
x + 0.4 = y + 0.4
x = y
⇒ x = y = 0.15
P(E₁) = 0.4+0.15 = 0.55​​​​​​

*Answer can only contain numeric values
GATE Environmental Science Mock Test - 6 - Question 15

A researcher compiled the following information about the performance of a kit in an outbreak

The probability of detecting an infection for a positive result through the kit would be ________ (rounded off to three decimal places).


GATE Environmental Science Mock Test - 6 - Question 16

Calculate the ultimate BOD of the sample (in mg/l) when the initial DO of the sample(5 ml) and distilled water(295 ml) is 1 mg/l and 8 mg/l respectively. The final DO of the mixture after 5 days is 4 mg/l. Assume k(base e) = 0.23 day-1

Detailed Solution for GATE Environmental Science Mock Test - 6 - Question 16

DOinitial = (1 × 5 + 8 × 295) / 300 = 7.89 mg/l

BOD = (7.89 - 4) / (5 / 300) = 233 mg/l

UBOD = BOD5 / (1 - e(-kt)) = 233 / (1 - e(-0.23 × 5)) = 340.96 mg

GATE Environmental Science Mock Test - 6 - Question 17

For a fluid flow occurring at a point P, the pressure is observed as 100 kPa when the fluid is flowing with a speed of 50 m/s.What is the stagnation pressure observed at P in kPa?

Density of fluid = 1000 kg/m3

Detailed Solution for GATE Environmental Science Mock Test - 6 - Question 17

Stagnation head = P + (ρv² / 2)
= 100 × 10³ + (10³ × 50² / 2)
= 1350 kPa

GATE Environmental Science Mock Test - 6 - Question 18

An ideal PFR or an ideal CFSTR may be used to degrade a pollutant with first order reaction kinetics. Both the reactors are fed with the same inlet concentration and the same volumetric flow rate, and are designed to achieve the same outlet concentration. Which of the following statements is true when comparing PFR with CFSTR?
PFR is Plug Flow Reactor.
CFSTR is Continuous Flow Stirred Tank Reactor (also referred to as CSTR).

GATE Environmental Science Mock Test - 6 - Question 19

A sewage treatment plant (STP) receives sewage at a flow rate of 20000 m3 per day. The sewage has 200 mg/L of suspended solids. Assume 60 % suspended solids are removed in the primary clarifier. The underflow (i.e. sludge) removed from the clarifier contains 5 % solids (by weight).
The daily volume of the sludge generated will be ____________ m3 per day. Assume sludge density = 1000 kg/m3.

GATE Environmental Science Mock Test - 6 - Question 20

Which one of the following statements is NOT correct?

GATE Environmental Science Mock Test - 6 - Question 21

Read the following statements
I. Bacteriophage is an anaerobic bacterium.
II. Male-specific bacteriophage infect via the pili of other microorganisms including viruses.
III. Bacteriophage is found in human as well as in animal excreta.
IV. Bacteriophage can not indicate the presence of bacteria.
The correct choice is

*Multiple options can be correct
GATE Environmental Science Mock Test - 6 - Question 22

Which of the following is/are correct for the process of glycolysis?                

*Answer can only contain numeric values
GATE Environmental Science Mock Test - 6 - Question 23

A mechanized stationary container system is proposed for waste collection from a commercial area. The container unloading time is 0.1 hours per container. There are two containers at each location and the drive time between the two locations is 0.2 hours. The maximum waste ‘pick-up time’ is 2.4 hours per trip.
The ‘pick-up time’ starts at the instant the truck arrives at the first pick-up location and ends when the last container on the route is emptied. The maximum number of locations which can be covered in a trip by the collection vehicle are ____________ (answer in integer).


*Answer can only contain numeric values
GATE Environmental Science Mock Test - 6 - Question 24

The following figure (not to the scale) shows a catchment (Q, S, U, T, Q) and adjoining raingauge stations P, Q, R, S, U and V. Due to a storm, 20 mm, 25 mm, 30 mm, 15 mm, 22 mm and 18 mm rainfall depths were recorded by raingauges at P, Q, R, S, U and V, respectively.

The corresponding mean rainfall over the catchment using Thiessen polygon method is __________ (in mm, rounded off to two decimal places).


*Answer can only contain numeric values
GATE Environmental Science Mock Test - 6 - Question 25

A plunger weighing 314 kN is balanced in a cylindrical vessel of diameter 1.5 m and filled with an oil (specific gravity 0.9) as shown in the following figure (not to the scale).

If a pressure gauge is connected with the vessel using 1.5 cm diameter tube, the reading of the gauge will be _______ (in kPa, rounded off to two decimal places).


*Answer can only contain numeric values
GATE Environmental Science Mock Test - 6 - Question 26

A fully penetrating well is installed in a homogenous and isotropic confined aquifer. The aquifer has uniform thickness of 16 m and hydraulic conductivity of 25 m/d. Water is being pumped out from the well at a constant rate of 0.1 m3/s till steady state condition is reached. If a drawdown of 3.5 m is observed at a distance of 75 m from the well then the drawdown at a distance of 150 m from the well will be ________ (in m, rounded off to two decimal places).


*Answer can only contain numeric values
GATE Environmental Science Mock Test - 6 - Question 27

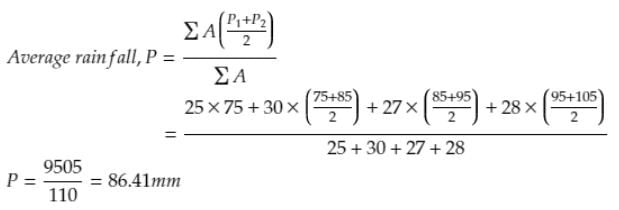
An analysis of rainfall in an area using the isohyetal method, the following data is observed. Calculate the average rainfall recorded(in mm, up to 2 decimal places) in the region.


Detailed Solution for GATE Environmental Science Mock Test - 6 - Question 27

*Answer can only contain numeric values
GATE Environmental Science Mock Test - 6 - Question 28

A 10 million litres per day (MLD) sewage treatment plant (STP) is based on the Activated Sludge Process (ASP). First, the sewage undergoes primary treatment and the resulting treated sewage has BOD5 of 140 mg/L concentration. This is further passed through a 1500 m3 capacity aeration tank (in ASP), where the mixed liquor volatile suspended solids (MLVSS) concentration is maintained at 3000 mg/L. The concentration of BOD5 of the treated sewage is 5 mg/L.
The Food to Microorganisms ratio (F/M) of the ASP is ____________ day-1 (rounded off to two decimal places).


*Answer can only contain numeric values
GATE Environmental Science Mock Test - 6 - Question 29

The molar concentrations (M, i.e. mol/L) of some ionic species in a water sample were estimated as follows: 

Na+ = 0.25 M; Ca2+ = 0.12 M; CI- = 0.32 M; HCO-3 = 0.05 M.

The ionic strength of this water sample is ____________ M (correct up to two decimal places).


*Answer can only contain numeric values
GATE Environmental Science Mock Test - 6 - Question 30

Excess amount of solid calcium sulphate (CaSO4) was added to a pure water sample (pH = 7) so that some solids remain undissolved at the equilibrium. The solubility product of CaSO4 is 2x10-5 mol2/L2. The molar concentration of SO2-4 in this water sample at mol/L (rounded off to three equilibrium will be decimal places).


View more questions
Information about GATE Environmental Science Mock Test - 6 Page
In this test you can find the Exam questions for GATE Environmental Science Mock Test - 6 solved & explained in the simplest way possible. Besides giving Questions and answers for GATE Environmental Science Mock Test - 6, EduRev gives you an ample number of Online tests for practice
Download as PDF