GATE Environmental Science Exam  >  GATE Environmental Science Tests  >  GATE Environmental Science Mock Test - 7 - GATE Environmental Science MCQ

GATE Environmental Science Mock Test - 7 - GATE Environmental Science MCQ


Test Description

30 Questions MCQ Test - GATE Environmental Science Mock Test - 7

GATE Environmental Science Mock Test - 7 for GATE Environmental Science 2025 is part of GATE Environmental Science preparation. The GATE Environmental Science Mock Test - 7 questions and answers have been prepared according to the GATE Environmental Science exam syllabus.The GATE Environmental Science Mock Test - 7 MCQs are made for GATE Environmental Science 2025 Exam. Find important definitions, questions, notes, meanings, examples, exercises, MCQs and online tests for GATE Environmental Science Mock Test - 7 below.
Solutions of GATE Environmental Science Mock Test - 7 questions in English are available as part of our course for GATE Environmental Science & GATE Environmental Science Mock Test - 7 solutions in Hindi for GATE Environmental Science course. Download more important topics, notes, lectures and mock test series for GATE Environmental Science Exam by signing up for free. Attempt GATE Environmental Science Mock Test - 7 | 65 questions in 180 minutes | Mock test for GATE Environmental Science preparation | Free important questions MCQ to study for GATE Environmental Science Exam | Download free PDF with solutions
GATE Environmental Science Mock Test - 7 - Question 1

Ram consumed the remaining coffee with a __________.

Detailed Solution for GATE Environmental Science Mock Test - 7 - Question 1

GULP - swallow

GATE Environmental Science Mock Test - 7 - Question 2

Rafi informed Mary, “I am considering watching a movie this weekend.”
The following conveys the above statement in indirect speech:
Rafi informed Mary that he _______ of watching a movie that weekend.

GATE Environmental Science Mock Test - 7 - Question 3

Permit : _______ : : Enforce : Relax
(By word meaning)

GATE Environmental Science Mock Test - 7 - Question 4

What is the digit in the unit’s place of the product 3999 × 71000?

GATE Environmental Science Mock Test - 7 - Question 5

Identify the underlined section and select the most appropriate alternative to replace it. 
The advancement in technology is entirely different from what we have observed in the previous century. 

Detailed Solution for GATE Environmental Science Mock Test - 7 - Question 5

The correct phrase to use in this context is "different from what we have seen." The word "different" is usually followed by "from" rather than "than," and "what we have seen" maintains proper verb tense and grammatical structure.
So, the correct answer is Option A.

GATE Environmental Science Mock Test - 7 - Question 6

Which of the following statements can be deduced from the paragraph above?

Detailed Solution for GATE Environmental Science Mock Test - 7 - Question 6

The paragraph discusses how millennials, with their investigative nature and access to the internet and smartphones, have made it difficult for brands to manipulate or hide information about their products. It emphasizes transparency and consumer awareness, making Option A the most appropriate inference.

GATE Environmental Science Mock Test - 7 - Question 7

Which of the following statements accurately defines the term Ecological equivalent?

Detailed Solution for GATE Environmental Science Mock Test - 7 - Question 7

Ecological equivalents are organisms of different species that live in similar habitats with resemblance in appearance and adaptations

GATE Environmental Science Mock Test - 7 - Question 8

In a proximate analysis, a 10 kg moisture-free solid sample is subjected to heating in a furnace at 950°C without the presence of air, resulting in a mass loss of 6 kg. Conversely, when the identical 10 kg moisture-free solid sample is heated in the furnace at the same temperature with air present, the mass decreases by 7 kg. What is the percentage of fixed carbon found in the sample?

GATE Environmental Science Mock Test - 7 - Question 9

Chlorine is most efficient as a disinfectant for water when the pH is ____________.

GATE Environmental Science Mock Test - 7 - Question 10

The sodium adsorption ratio (SAR) is frequently utilized to forecast possible infiltration issues. What concentrations of which chemical species are required for its calculation?

Detailed Solution for GATE Environmental Science Mock Test - 7 - Question 10

Na, Ca and Mg

GATE Environmental Science Mock Test - 7 - Question 11

Which of the following elements exhibits the correct sequence of electron affinity?

Detailed Solution for GATE Environmental Science Mock Test - 7 - Question 11

The tendency of an element to lose electrons increases when we go down the group. This is because atomic size increases when we go down the group. And force of attraction of nucleus for the valence electrons decreases down the group. This makes it easier for an element to lose electrons.

GATE Environmental Science Mock Test - 7 - Question 12

The process that leads to the formation of carboxyhemoglobin involves

Detailed Solution for GATE Environmental Science Mock Test - 7 - Question 12

The formation of carboxyhemoglobin is a process involving  Reaction of CO with haemoglobin.

*Multiple options can be correct
GATE Environmental Science Mock Test - 7 - Question 13

Examine the equation: x3 -10x2 31x - 30 = 0. Which of the following represents the root(s) of this equation?

*Answer can only contain numeric values
GATE Environmental Science Mock Test - 7 - Question 14

A sample of solid waste comprises various components with their respective weight percentages indicated.
Food waste constitutes 40% (density - 800kg/m3), while paper makes up 35% (density - 400kg/m3). The remaining fraction has a density of 250kg/m3.
What is the total density of the solid waste sample in kg/m3 (rounded to two decimal places)?


Detailed Solution for GATE Environmental Science Mock Test - 7 - Question 14

Density (ρSW) = 100 / [(C11) + (C22) + (C33)]
= 100 / [(40/800) + (35/400) + (25/250)]
= 421.05 kg/m³

*Answer can only contain numeric values
GATE Environmental Science Mock Test - 7 - Question 15

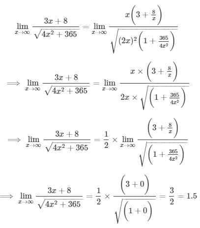
What is the value (rounded to one decimal place) of the following limit?


Detailed Solution for GATE Environmental Science Mock Test - 7 - Question 15

*Answer can only contain numeric values
GATE Environmental Science Mock Test - 7 - Question 16

In an aeration tank, the concentration of MLSS is measured at 2200 mg/l, while the sludge volume recorded after 30 minutes of settling in a 1000 ml graduated cylinder is 180 ml. Determine the sludge density index in g/ml (rounded to two decimal places).


Detailed Solution for GATE Environmental Science Mock Test - 7 - Question 16

Sludge Density Index (SDI) = 100 / SVI
= 100 / (180 / (2200 × 10-3))
= 1.22 g/ml

*Answer can only contain numeric values
GATE Environmental Science Mock Test - 7 - Question 17

The value of is _____ (rounded to two decimal places).


GATE Environmental Science Mock Test - 7 - Question 18

In the case of a floating boat A, the vertical distance between the metacentre and the centre of gravity is represented by x1 = 9 m. In contrast, for another boat B, which has the same weight and dimensions as boat A, the vertical distance between the metacentre and the centre of gravity is indicated by x2 = 4 m. What is the ratio of the time periods of oscillation for boats A and B, respectively?

Detailed Solution for GATE Environmental Science Mock Test - 7 - Question 18

We know Time period T = 2π × √(I / (W × GM)),
where GM = metacentric height, I = moment of inertia, W = weight of boat.
T ∝ √(1 / GM) ⟹ TA / TB = √(GMB / GMA) = √(4 / 9) = 2 / 3 = 0.67

GATE Environmental Science Mock Test - 7 - Question 19

Connect the items listed in Column I with their corresponding items in Column II.

GATE Environmental Science Mock Test - 7 - Question 20

Which of the following international multilateral agreements (such as conventions and protocols) listed in Column I corresponds with the items in Column II?

GATE Environmental Science Mock Test - 7 - Question 21

Identify the correct order concerning the environmental management system ISO 1401:

Detailed Solution for GATE Environmental Science Mock Test - 7 - Question 21

Option A is correct
ISO 14001 follows a structured cycle of Plan-Do-Check-Act (PDCA). The correct sequence starts with Environmental Policy (Plan), followed by Implementation and Operation (Do), then Checking and Corrective Action (Check), and finally Management Review (Act) to ensure continuous improvement.

*Multiple options can be correct
GATE Environmental Science Mock Test - 7 - Question 22

The proliferation of phytoplankton in aquatic environments such as lakes and ponds is influenced by the availability of essential limiting nutrients. Which of these nutrients are responsible?

This is an MSQ. One or more than one options can be correct.

Detailed Solution for GATE Environmental Science Mock Test - 7 - Question 22

Presence of Nitrogen and phosphorus is a determining factor of phytoplankton in water bodies.

*Multiple options can be correct
GATE Environmental Science Mock Test - 7 - Question 23

Which factors would affect the amount of solar radiation received by a rooftop solar water heater at a specific location?

*Multiple options can be correct
GATE Environmental Science Mock Test - 7 - Question 24

MSQ: Identify the gases generated by anaerobic bacteria as a result of the digestion of sludge.

NOTE: This is a multiple select question, meaning one or more options may be correct.

Detailed Solution for GATE Environmental Science Mock Test - 7 - Question 24

Carbon dioxide, hydrogen sulphide and methane are the gases produced as a result of digestion of sludge in wastewater treatment and are used to produce biogas.

*Answer can only contain numeric values
GATE Environmental Science Mock Test - 7 - Question 25

What is the equivalent sound power level (in dB, rounded to two decimal places) for the four sources with noise levels of 60 dB, 69 dB, 70 dB, and 79 dB?


Detailed Solution for GATE Environmental Science Mock Test - 7 - Question 25

Sound in decibals =  201og (Pmax /20)
=> 60 = 20 log (Pmax / 20 ) 
=> (Pmax / 20 ) 2 = 10 60 /20 = 1000
(Pmax / 20 ) 2 = 10 69 / 20 = 2818.3829
(Pmax / 20 ) 2 = 10 70/20 = 3162.2776
(Pmax / 20 ) 2 = 10 79/20 = 8912.50938
(Pmax / 20) equivalence = √((1000)2+(2818.3829)2+(3162.2776)2+(8912.50938)2) = 9918.4729
Equivalent sound in dB = 20 1og ((Pmax / 20)) = 20 log (9918.4729) = 79.928 dB
Hence the answer is 79.928 dB

*Answer can only contain numeric values
GATE Environmental Science Mock Test - 7 - Question 26

A noise level of 90 dB is recorded at a distance of 100 m. What would be the noise level at a distance of 141 meters? It should be expressed in ___ dB.

(Please provide your answer rounded to the nearest integer.)


Detailed Solution for GATE Environmental Science Mock Test - 7 - Question 26

Formula for line source are :
L2 = L2 - 20 log d2/d1 ( d = distance)
= 90 - 20 log 141/100
= 90 - 2.984 = 87.015
Rounding off to nearest integer, the answer is 87dB.

*Answer can only contain numeric values
GATE Environmental Science Mock Test - 7 - Question 27

A baghouse filter consists of 20 compartments, each containing 350 bags, with each bag having a diameter of 12 m and a length of 40 m. The gas flow rate is 1200000 m3/min. If three compartments are not operational, what is the percentage change in the air-to-cloth ratio? (Round your answer to 2 decimal places.)


Detailed Solution for GATE Environmental Science Mock Test - 7 - Question 27

Cloth area per bag = πdh = π × 12 × 40 = 1507.96 m²
Total number of bags = 20 × 350 = 7000 bags
Total cloth area = 7000 × 1507.96 = 10555720 m²
Air to cloth ratio = 1200000 / 10555720 = 0.11368 m³ / m² - min
When 2 compartments are out of service,
Total number of bags = 17 × 350 = 5950 bags
Air to cloth ratio = 1200000 / (5950 × 1507.96) = 0.1337 m³ / m² - min
Percentage change = ((0.1337 - 0.11368) / 0.11368) × 100 = 17.61%

*Answer can only contain numeric values
GATE Environmental Science Mock Test - 7 - Question 28

A system of four electrostatic precipitators is arranged in series, with fractional efficiencies of 80%, 75%, 60%, and 50% respectively. What is the overall efficiency (%) of the system?

(Please provide your answer rounded to the nearest integer)


Detailed Solution for GATE Environmental Science Mock Test - 7 - Question 28

Overall efficiency = ((100 - 1) / 100) × 100 = 99%

*Answer can only contain numeric values
GATE Environmental Science Mock Test - 7 - Question 29

A water treatment facility processes 20 million litres of water each day using Copperas and lime. If the concentration of ferrous sulphate is 20 mg for every litre, what is the total amount of quick lime (in kg, rounded up to two decimal places) needed daily, assuming lime is added first?


Detailed Solution for GATE Environmental Science Mock Test - 7 - Question 29

CaO + H₂O → Ca(OH)₂

FeSO₄·7H₂O + Ca(OH)₂ → Fe(OH)₂ + CaSO₄ + 7H₂O

Lime required as CaO = (20 × 20) / [(56 + 32 + 16 × 4 + 7 × 18) / 2] × (56 / 2)

= 80.57 kg

*Answer can only contain numeric values
GATE Environmental Science Mock Test - 7 - Question 30

In a residential community consisting of 1200 houses, each averaging 3.5 individuals per household, a local transfer station serves as the observation site for the waste collected before final disposal. Calculate the unit waste disposal rate for this community (Round up to one decimal, in kg/capita per day).

The specifications for the vehicles and their capacities are outlined below:

Number of compactor trucks = 9 weekly

The average capacity of a compactor truck = 20m3; Specific weight = 500 kg/m3

Number of flatbed truckloads = 7 weekly

Average flatbed volume = 2m3; Specific weight = 225 kg/m3

Number of loads from residents using private cars and trucks = 20 weekly

Average estimated volume for each domestic vehicle = 0.3m3; Specific weight = 150 kg/m3


Detailed Solution for GATE Environmental Science Mock Test - 7 - Question 30

View more questions
Information about GATE Environmental Science Mock Test - 7 Page
In this test you can find the Exam questions for GATE Environmental Science Mock Test - 7 solved & explained in the simplest way possible. Besides giving Questions and answers for GATE Environmental Science Mock Test - 7, EduRev gives you an ample number of Online tests for practice
Download as PDF