GATE Environmental Science Exam  >  GATE Environmental Science Tests  >  GATE Environmental Science Mock Test - 8 - GATE Environmental Science MCQ

GATE Environmental Science Mock Test - 8 - GATE Environmental Science MCQ


Test Description

30 Questions MCQ Test - GATE Environmental Science Mock Test - 8

GATE Environmental Science Mock Test - 8 for GATE Environmental Science 2025 is part of GATE Environmental Science preparation. The GATE Environmental Science Mock Test - 8 questions and answers have been prepared according to the GATE Environmental Science exam syllabus.The GATE Environmental Science Mock Test - 8 MCQs are made for GATE Environmental Science 2025 Exam. Find important definitions, questions, notes, meanings, examples, exercises, MCQs and online tests for GATE Environmental Science Mock Test - 8 below.
Solutions of GATE Environmental Science Mock Test - 8 questions in English are available as part of our course for GATE Environmental Science & GATE Environmental Science Mock Test - 8 solutions in Hindi for GATE Environmental Science course. Download more important topics, notes, lectures and mock test series for GATE Environmental Science Exam by signing up for free. Attempt GATE Environmental Science Mock Test - 8 | 65 questions in 180 minutes | Mock test for GATE Environmental Science preparation | Free important questions MCQ to study for GATE Environmental Science Exam | Download free PDF with solutions
GATE Environmental Science Mock Test - 8 - Question 1

The vaccine was believed to be safe and ______.

Detailed Solution for GATE Environmental Science Mock Test - 8 - Question 1

EFFICACIOUS-effective

GATE Environmental Science Mock Test - 8 - Question 2

If 15th August 2020 fell on a Tuesday, then what day of the week will 15th August 2025 be?

Detailed Solution for GATE Environmental Science Mock Test - 8 - Question 2

1 leap year = 366 days = 52 weeks + 2 days
Hence one leap year corresponds to 2 odd days
Similarly 1 normal year corresponds to 1 old day
:. Total no. of odd days b / w 2020 and 2025 = 4 + 2 = 6 odd days
Hence 15th August 2025 will 6 days after Tuesday i.e. Monday

GATE Environmental Science Mock Test - 8 - Question 3

A substantial cube was immersed in paint, removed, and subsequently, its length was sectioned into 5 equal segments, its breadth was divided into 4 equal segments, and its height was partitioned into 3 equal segments. How many cuboids are painted on no sides___.

Detailed Solution for GATE Environmental Science Mock Test - 8 - Question 3

The large cube will be cut as shown in the figure
​​​​​​

Total number of cuboids = 60
Cuboids painted on 3 sides = 8 (corners)
Cuboids painted on 2 sides = 4 X 2 + 4 X 3 + 4 X 1 = 24
Cuboids painted on 1 side only = 6 X 2 + 2 X 2 + 3 X 2 = 22
Cuboids painted on 0 side = 60 - (8 + 24 + 22) = 6

GATE Environmental Science Mock Test - 8 - Question 4

Rice is an essential and affordable source of carbohydrates that plays a significant role in diets around the globe. The effects of climate change, which lead to severe weather events, threaten the continuous availability of rice. Researchers are focusing on creating Green Super Rice (GSR), which can withstand extreme weather while ensuring sustainable higher yields.
What is the CORRECT logical inference that can be drawn from the information presented in the passage above?

Detailed Solution for GATE Environmental Science Mock Test - 8 - Question 4

According to given information let's check option;

A. False, because GSR is resilent under extreme weather.

B. True, GSR may be used in future because it is strong enough to survive in climate changes.

C. False, because GSR gives high yield.

D. False, reguler rice in extreme weather can't gives good yields.

Hence, the correct answer is "Option(B)".

GATE Environmental Science Mock Test - 8 - Question 5

The cause of the Bhopal gas tragedy in 1984 was due to:

Detailed Solution for GATE Environmental Science Mock Test - 8 - Question 5

The Bhopal gas tragedy of 1984 occurred due to the accidental release of methyl isocyanate (MIC) gas from the Union Carbide India Limited (UCIL) pesticide plant. This toxic gas led to thousands of deaths and severe health issues for the people in the surrounding areas.

GATE Environmental Science Mock Test - 8 - Question 6

Which of the following does NOT constitute a part of integrated solid waste management (ISWM)?

Detailed Solution for GATE Environmental Science Mock Test - 8 - Question 6

Recycling, composting, land filling, waste transportation and source reduction are the components of integrated solid waste management.

GATE Environmental Science Mock Test - 8 - Question 7

As per the Noise Pollution Regulation and Control Rules 2000, what is defined as daytime?

Detailed Solution for GATE Environmental Science Mock Test - 8 - Question 7

According to the Noise Pollution (Regulation and Control) Rules, 2000, day time is defined as the period from 6:00 am to 10:00 pm. The rules aim to regulate noise levels in different zones such as residential, commercial, industrial, and silence zones during the day and night to prevent noise pollution and protect public health.

GATE Environmental Science Mock Test - 8 - Question 8

What factors contribute to the occurrence of 'Type-I' settling in a sedimentation tank?

GATE Environmental Science Mock Test - 8 - Question 9

In the realm of noise pollution, the sound pressure level (SPL) is measured in decibels (dB). The connection between SPL, the root mean square (rms) sound pressure p, and the reference pressure (hearing threshold) p0 is represented as ____________.

GATE Environmental Science Mock Test - 8 - Question 10

The type of bacteria that can thrive in both aerobic and anaerobic environments without being affected is referred to as 

Detailed Solution for GATE Environmental Science Mock Test - 8 - Question 10

Facultative bacteria can live both in aerobic and anaerobic conditions whereas, Aerobic bacteria require free oxygen for their existence and development. Anaerobic bacteria do not require oxygen/light for their existence and development.

GATE Environmental Science Mock Test - 8 - Question 11

In multi-media filters, when examining the filter materials from the uppermost to the lowermost layer of the filter, what is the specific gravity of the filter material?

Detailed Solution for GATE Environmental Science Mock Test - 8 - Question 11

To avoid crushing the filter materials, materials having lower specific gravity at placed at the top and while coming down, the specific gravity increases.

GATE Environmental Science Mock Test - 8 - Question 12

Consider the real square matrix A of size n × n as shown below:

Examine the equation AX = 0.

Detailed Solution for GATE Environmental Science Mock Test - 8 - Question 12

free variable = nullity = linearly independent vectors = ρ(A) = 1
linearly independent solution = n - ρ(A) = n - 1

GATE Environmental Science Mock Test - 8 - Question 13

The sub-index values for NO2, SO2, and PM10 are 80, 80, and 100, respectively. In accordance with the National Air Quality Index (NAQI) published by the Government of India in 2015, what is the overall NAQI?

GATE Environmental Science Mock Test - 8 - Question 14

In order to assess the air quality and its effects on human health, a standard rating scale has been proposed. Based on this scale, which of the following values impacts even individuals who are healthy?

Detailed Solution for GATE Environmental Science Mock Test - 8 - Question 14

401-500 is categorized as a severe impact by the central pollution control board.

*Answer can only contain numeric values
GATE Environmental Science Mock Test - 8 - Question 15

A differential equation is expressed as ( x 2y ) ( dx - dy ) = dx dy. Given that y (0) = 1/3, the solution can be represented as 3x - 3y 1 = kln(3x 6y - 1). What is the value of k?

(Please provide your answer by rounding it to the nearest integer.)


Detailed Solution for GATE Environmental Science Mock Test - 8 - Question 15

dy/dx = (x + 2y - 1) / (x + 2y + 1)
Put x + 2y = z
⟹ 1 + 2(dy/dx) = dz/dx
(1/2) dz/dx - 1/2 = (z - 1) / (z + 1)
dz/dx = 2((z - 1) / (z + 1)) + 1 = (3z - 1) / (z + 1)
(z + 1) / (3z - 1) dz = dx
(1/3 + 4/3 × 1 / (3z - 1)) dz = dx
z / 3 + (4/3) × ln(3z - 1) / 3 = x + C
⟹ 3x - 3y + C = 2 ln(3x + 6y - 1)
At x = 0, y = 1/3 ⟹ C = 2 ln(1) + 1 = 1

*Answer can only contain numeric values
GATE Environmental Science Mock Test - 8 - Question 16

An S-hydrograph was created for a 240 km2 catchment area utilizing a 3-hour unit hydrograph (with 1 cm of rainfall excess). The equilibrium discharge for the S-hydrograph would be ___________ (in m3/s, rounded to two decimal places).


*Answer can only contain numeric values
GATE Environmental Science Mock Test - 8 - Question 17

What is the pressure (in kPa, rounded to two decimal places) at the base of the tank that holds both oil and water?

[Consider the relative density of the oil to be 0.80]


Detailed Solution for GATE Environmental Science Mock Test - 8 - Question 17

Pressure at top of the tank, pA = 0

γoil = 0.8 × γwater = 0.8 × 9790 N/m3 = 7832 N/m3

Pressure at oil and water interface, pB = pA + γoilhoil

→ pB = (0 + (7832 × 4)) = 31,328 N/m2

Pressure at the bottom of the tank, pC = pB + γwaterhwater

→ pC = (31328 + (9790 × 7)) = 99,858 N/m2

Hence, pressure at the bottom of the tank = 99.86 kPa

GATE Environmental Science Mock Test - 8 - Question 18

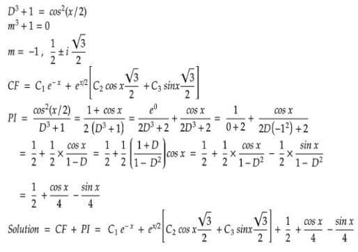
What is the general solution to the differential equation (D3 1)y = cos2(x / 2)?

[Here, D denotes the first derivative with respect to x]

Detailed Solution for GATE Environmental Science Mock Test - 8 - Question 18

GATE Environmental Science Mock Test - 8 - Question 19

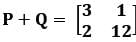
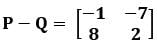
The 2 × 2 matrices P and Q fulfill the following equations:
 and 
The matrix Q is equal to ____________.

GATE Environmental Science Mock Test - 8 - Question 20

A biased die features six faces numbered as k = 1, 2, 3, 4, 5, and 6. When the die is rolled, the likelihood of the number k showing up is proportional to k2. What is the likelihood that an even number will be rolled on this die?

GATE Environmental Science Mock Test - 8 - Question 21

Match the items listed below:

Detailed Solution for GATE Environmental Science Mock Test - 8 - Question 21

Pluviometer - Rainfall measurement
RADAR - Rainfall measurement
Double mass curve - Rainfall inconsistency
Tipping bucket rain gauge - Recording type rain gauge

GATE Environmental Science Mock Test - 8 - Question 22

Analyze the statements below.
(i) The wind profile exponent for a 'very unstable' atmosphere is less than that for a 'neutral' atmosphere.
(ii) The concentration of air pollutants downwind from an elevated point source is inversely related to the wind speed.
(iii) The wind profile exponent for the 'neutral' atmosphere is lower than that for the 'very unstable' atmosphere.
(iv) The downwind concentration of air pollutants from an elevated point source is directly related to the wind speed.

Select the correct option.

Detailed Solution for GATE Environmental Science Mock Test - 8 - Question 22

(iii) and (iv) are false

*Multiple options can be correct
GATE Environmental Science Mock Test - 8 - Question 23

A municipality with a population of 0.25 lakh generates solid waste at a rate of 2.5 kg per person per day. The waste is compressed to a density of 1400 kg/m3 and the ratio of solid waste to cover material is 4:1. What are the required volumes of landfill and cover?
NOTE: This is a multiple select question, indicating that one or more options may be correct.

Detailed Solution for GATE Environmental Science Mock Test - 8 - Question 23

Solid waste produced per day = 2.5 × 104 × 2.5 kg / day = 6.25 × 104 kg / day
Volume of solid waste produced per day = 6.25 × 104 kg / day / 1400 kg / m3 = 44.643 m/ day
Volume of solid waste produced per year = 44.643 × 365 = 16294.70 m3
Volume of cover required per year = 16294.70 / 4 = 4073.675 m3
Volume of landfill site = 16294.70 m3 + 4073.675 m3 = 20368.38 m3

*Multiple options can be correct
GATE Environmental Science Mock Test - 8 - Question 24

MSQ: Which of the following statements is/are accurate?
NOTE: This is a multiple select question, meaning that one or more options may be correct.

Detailed Solution for GATE Environmental Science Mock Test - 8 - Question 24

A: Correct. PAN is a secondary air pollutant formed by photochemical reactions.

B: Correct. SO₂ at high concentrations worsens asthma and breathing issues.

C: Incorrect. Gravity settling chambers remove large particles, not <1 micron.

D: Correct. Fabric filters have >99% efficiency in removing particulates.

Correct Options: A, B, D

*Multiple options can be correct
GATE Environmental Science Mock Test - 8 - Question 25

MSQ: Examine the matrix A shown below. 

Which of the following options is/are correct?

NOTE: This is a multiple select question, meaning one or more options may be correct.

Detailed Solution for GATE Environmental Science Mock Test - 8 - Question 25


Lower triangular matrix, hence eigenvalues = 1, 1, 3
AM = Number of times EV is repeated = 2
GM = Number of linearly independent eigenvectors corresponding to repeated EV = n - p( A - λI )
A - λI = 
R3 → R3 − 0.5R2
 ⇒ ρ(A−λI) = 2
GM = 3 - 2 = 1
Total linearly independent EV = 1 + 1
= 2 (1 corresponding to EV 1 and 1 corresponding to EV 3)

*Answer can only contain numeric values
GATE Environmental Science Mock Test - 8 - Question 26

The analysis results of the water entering a treatment facility are presented below:
Suspended solids = 100 ppm
CaCO3 alkalinity = 150 ppm
MgCl2 = 50 ppm
CaSO4 = 100 ppm
Alum necessary = 20 ppm
Coagulation, sedimentation, and lime soda treatment are performed in the sedimentation basin. Given a flow of 1 MLD, the specific gravity of the sludge solids is 2.65 and the solid content is 1.8%. What will be the daily volume of sludge generated in m3 (rounded to two decimal places)?


Detailed Solution for GATE Environmental Science Mock Test - 8 - Question 26

suspended solids = 100 × 1 = 100 kg/d

Al(OH)₃ = (20 x 1) / 111 × 26 = 4.684 kg/d

due to lime – soda process = ([Ca²⁺] + 0.58 [Mg²⁺] + lime added) as CaCO₃ × 1 kg/d

[Ca²⁺] = (150 + (100/68) × 50) = 223.53

[Mg²⁺] = (50/47.5) × 50 = 52.63

lime added = (150 + (50/47.5) × 50) = 202.63

due to lime – soda process = (223.53 + 0.58 × 52.63 + 202.63) × 1 = 456.685 kg/d

sludge solids = 100 + 4.684 + 456.685 = 561.369 kg/d

= 561.369 / (2.65 × 1000) = 0.211 m³/d

Total sludge = (561.369 × 100) / 1.5 = 31187.166 kg/d

water = 31187.166 − 561.369 = 30625.797 kg/d = 30.625 m³/d

Total sludge = 30.625 + 0.211 = 30.83 m³/d

*Answer can only contain numeric values
GATE Environmental Science Mock Test - 8 - Question 27

A pipeline with a diameter of 30 cm, positioned at an incline, transports oil with a relative density of 0.80 at a speed of 5 m/s. The pressure measurements at point A (20 m above the datum level) and point B (25 m above the datum level) are recorded at 60 kPa and 10 kPa, respectively. What is the head loss (in meters, rounded to two decimal places) between points A and B? Assume that ρwater = 1000 kg/m³ and g = 9.81 m/s².


Detailed Solution for GATE Environmental Science Mock Test - 8 - Question 27

Given, D = 30 cm = 0.3 m & V = 5 m/s

Point A:
pA = 60 kPa = 60 × 1000 N/m²
ZA = 20 m
Total energy, EA = pA / (ρg) + V² / (2g) + ZA
⇒ EA = (60 × 1000) / (0.8 × 1000 × 9.81) + (5²) / (2 × 9.81) + 20 = 28.92 m

Point B:
pB = 10 kPa = 10 × 1000 N/m²
ZB = 25 m
Total energy, EB = pB / (ρg) + V² / (2g) + ZB
⇒ EB = (10 × 1000) / (0.8 × 1000 × 9.81) + (5²) / (2 × 9.81) + 25 = 27.55 m

Therefore,
Head loss = EA − EB = 28.92 − 27.55 = 1.37 m

*Answer can only contain numeric values
GATE Environmental Science Mock Test - 8 - Question 28

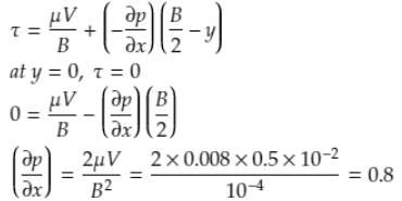
Consider a steady laminar flow occurring in the x-direction between two infinitely long parallel plates. The lower plate remains at rest, while the upper plate is moving in the x-direction at a velocity of 0.5 cm/sec. The separation between the plates measures 10 mm, and the dynamic viscosity of the fluid is 0.008 N-sec/m2. Given that the shear stress on the lower plate is zero, determine the pressure difference between the two points that are 50 m apart, rounding your answer to the nearest integer in N/m2.


Detailed Solution for GATE Environmental Science Mock Test - 8 - Question 28

The shear stress for laminar flow (couette flow)

for points 50 m apart,

*Answer can only contain numeric values
GATE Environmental Science Mock Test - 8 - Question 29

A soil sample contains 0.26 meq of potassium, 0.06 meq of magnesium, and 0.56 meq of calcium, while its cation exchange capacity is measured at 3.25 meq per 100 g of soil. Calculate the base saturation percentage, rounding to the nearest whole number.


Detailed Solution for GATE Environmental Science Mock Test - 8 - Question 29

Base saturation percentage = (concentration of potassium + magnesium + calcium / CEC ) × 100
= ( 0.26+ 0.06+ 0.56 / 3.25) × 100
= (0.88/ 3.25 ) × 100
= 27%

*Answer can only contain numeric values
GATE Environmental Science Mock Test - 8 - Question 30

A total of 50g of CO2 and 25g of CH4 are generated from the breakdown of municipal solid waste, which has a formula weight of 120 g. In a city with a population of 1 million and a municipal solid waste production rate of 500 tons/day, what is the average greenhouse gas emission per person (in g/day, rounded to the nearest integer)?


Detailed Solution for GATE Environmental Science Mock Test - 8 - Question 30

120 gm of MSW contain = 50 gm of CO₂ + 25 gm of CH₄
120 gm of MSW refuse = 75 gm of greenhouse gas
1 part of MSW release = 75 / 120 parts of greenhouse gas
500 ton/day of MSW release = (75 / 120) × 500 parts of greenhouse gas
Total greenhouse gas emission = 312.5 t/day
Per capita greenhouse gas emission = total gas emission / population
= (312.5 × 1000 × 1000) / (1 × 10⁶) gm/day/person
= 312.5 g/day
= 313 g/day

View more questions
Information about GATE Environmental Science Mock Test - 8 Page
In this test you can find the Exam questions for GATE Environmental Science Mock Test - 8 solved & explained in the simplest way possible. Besides giving Questions and answers for GATE Environmental Science Mock Test - 8, EduRev gives you an ample number of Online tests for practice
Download as PDF