Class 12 Exam  >  Class 12 Questions  >  A charge ‘q’ is placed at the cen... Start Learning for Free
A charge ‘q’ is placed at the centre of the linejoining two equal charges ‘Q’. The system ofthe three charges will be in equilibrium if ‘q’ isequal to [NEET Kar. 2013]
  • a)
    Q/2
  • b)
    – Q/4
  • c)
    Q/4
  • d)
    – Q/2
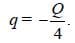
Correct answer is option 'B'. Can you explain this answer?
Verified Answer
A charge ‘q’ is placed at the centre of the linejoining tw...
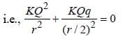
The system of three charges will be in
equilibrium.
For this, force between charge at A and B +
force between charge at point O and either
at A or B is zero.
View all questions of this test
Most Upvoted Answer
A charge ‘q’ is placed at the centre of the linejoining tw...
A charge refers to an amount of money that is owed or paid for a particular product, service, or transaction. It can also refer to an accusation or allegation of wrongdoing, typically in a legal context.
Explore Courses for Class 12 exam
Question Description
A charge ‘q’ is placed at the centre of the linejoining two equal charges ‘Q’. The system ofthe three charges will be in equilibrium if ‘q’ isequal to [NEET Kar. 2013]a)Q/2b)– Q/4c)Q/4d)– Q/2Correct answer is option 'B'. Can you explain this answer? for Class 12 2026 is part of Class 12 preparation. The Question and answers have been prepared according to the Class 12 exam syllabus. Information about A charge ‘q’ is placed at the centre of the linejoining two equal charges ‘Q’. The system ofthe three charges will be in equilibrium if ‘q’ isequal to [NEET Kar. 2013]a)Q/2b)– Q/4c)Q/4d)– Q/2Correct answer is option 'B'. Can you explain this answer? covers all topics & solutions for Class 12 2026 Exam. Find important definitions, questions, meanings, examples, exercises and tests below for A charge ‘q’ is placed at the centre of the linejoining two equal charges ‘Q’. The system ofthe three charges will be in equilibrium if ‘q’ isequal to [NEET Kar. 2013]a)Q/2b)– Q/4c)Q/4d)– Q/2Correct answer is option 'B'. Can you explain this answer?.
Solutions for A charge ‘q’ is placed at the centre of the linejoining two equal charges ‘Q’. The system ofthe three charges will be in equilibrium if ‘q’ isequal to [NEET Kar. 2013]a)Q/2b)– Q/4c)Q/4d)– Q/2Correct answer is option 'B'. Can you explain this answer? in English & in Hindi are available as part of our courses for Class 12. Download more important topics, notes, lectures and mock test series for Class 12 Exam by signing up for free.
Here you can find the meaning of A charge ‘q’ is placed at the centre of the linejoining two equal charges ‘Q’. The system ofthe three charges will be in equilibrium if ‘q’ isequal to [NEET Kar. 2013]a)Q/2b)– Q/4c)Q/4d)– Q/2Correct answer is option 'B'. Can you explain this answer? defined & explained in the simplest way possible. Besides giving the explanation of A charge ‘q’ is placed at the centre of the linejoining two equal charges ‘Q’. The system ofthe three charges will be in equilibrium if ‘q’ isequal to [NEET Kar. 2013]a)Q/2b)– Q/4c)Q/4d)– Q/2Correct answer is option 'B'. Can you explain this answer?, a detailed solution for A charge ‘q’ is placed at the centre of the linejoining two equal charges ‘Q’. The system ofthe three charges will be in equilibrium if ‘q’ isequal to [NEET Kar. 2013]a)Q/2b)– Q/4c)Q/4d)– Q/2Correct answer is option 'B'. Can you explain this answer? has been provided alongside types of A charge ‘q’ is placed at the centre of the linejoining two equal charges ‘Q’. The system ofthe three charges will be in equilibrium if ‘q’ isequal to [NEET Kar. 2013]a)Q/2b)– Q/4c)Q/4d)– Q/2Correct answer is option 'B'. Can you explain this answer? theory, EduRev gives you an ample number of questions to practice A charge ‘q’ is placed at the centre of the linejoining two equal charges ‘Q’. The system ofthe three charges will be in equilibrium if ‘q’ isequal to [NEET Kar. 2013]a)Q/2b)– Q/4c)Q/4d)– Q/2Correct answer is option 'B'. Can you explain this answer? tests, examples and also practice Class 12 tests.
Explore Courses for Class 12 exam

Top Courses for Class 12

Explore Courses
Signup for Free!
Signup to see your scores go up within 7 days! Learn & Practice with 1000+ FREE Notes, Videos & Tests.
10M+ students study on EduRev