Teaching Exam  >  Teaching Questions  >  The value of (64)-2/3x (27)-2/3 isa)1/144b)1/... Start Learning for Free
The value of (64)-2/3 x (27) -2/3 is 
  • a)
    1/144
  • b)
    1/145
  • c)
    1/414
  • d)
    1/444
Correct answer is option 'A'. Can you explain this answer?
Verified Answer
The value of (64)-2/3x (27)-2/3 isa)1/144b)1/145c)1/414d)1/444Correct ...
View all questions of this test
Most Upvoted Answer
The value of (64)-2/3x (27)-2/3 isa)1/144b)1/145c)1/414d)1/444Correct ...
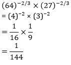
Expression Simplification:
- First, simplify each term inside the parentheses:
- (64)^(-2/3) = 1/(64)^(2/3) = 1/(4^2) = 1/16
- (27)^(-2/3) = 1/(27)^(2/3) = 1/(3^3) = 1/27
- Substitute the simplified values back into the expression:
- 1/16 - 2/3 * 1/27
- 1/16 - 2/81
- To combine the fractions, find a common denominator, which is 16*81 = 1296:
- (1*81)/(16*81) - (2*16)/(81*16)
- 81/1296 - 32/1296
- (81 - 32)/1296
- 49/1296

Final Answer:
- The final simplified value of the expression (64)^(-2/3) - 2/3 * (27)^(-2/3) is 49/1296, which can be further simplified to 1/144. Therefore, the correct answer is option 'A' - 1/144.
Explore Courses for Teaching exam
Question Description
The value of (64)-2/3x (27)-2/3 isa)1/144b)1/145c)1/414d)1/444Correct answer is option 'A'. Can you explain this answer? for Teaching 2026 is part of Teaching preparation. The Question and answers have been prepared according to the Teaching exam syllabus. Information about The value of (64)-2/3x (27)-2/3 isa)1/144b)1/145c)1/414d)1/444Correct answer is option 'A'. Can you explain this answer? covers all topics & solutions for Teaching 2026 Exam. Find important definitions, questions, meanings, examples, exercises and tests below for The value of (64)-2/3x (27)-2/3 isa)1/144b)1/145c)1/414d)1/444Correct answer is option 'A'. Can you explain this answer?.
Solutions for The value of (64)-2/3x (27)-2/3 isa)1/144b)1/145c)1/414d)1/444Correct answer is option 'A'. Can you explain this answer? in English & in Hindi are available as part of our courses for Teaching. Download more important topics, notes, lectures and mock test series for Teaching Exam by signing up for free.
Here you can find the meaning of The value of (64)-2/3x (27)-2/3 isa)1/144b)1/145c)1/414d)1/444Correct answer is option 'A'. Can you explain this answer? defined & explained in the simplest way possible. Besides giving the explanation of The value of (64)-2/3x (27)-2/3 isa)1/144b)1/145c)1/414d)1/444Correct answer is option 'A'. Can you explain this answer?, a detailed solution for The value of (64)-2/3x (27)-2/3 isa)1/144b)1/145c)1/414d)1/444Correct answer is option 'A'. Can you explain this answer? has been provided alongside types of The value of (64)-2/3x (27)-2/3 isa)1/144b)1/145c)1/414d)1/444Correct answer is option 'A'. Can you explain this answer? theory, EduRev gives you an ample number of questions to practice The value of (64)-2/3x (27)-2/3 isa)1/144b)1/145c)1/414d)1/444Correct answer is option 'A'. Can you explain this answer? tests, examples and also practice Teaching tests.
Explore Courses for Teaching exam

Top Courses for Teaching

Explore Courses
Signup for Free!
Signup to see your scores go up within 7 days! Learn & Practice with 1000+ FREE Notes, Videos & Tests.
10M+ students study on EduRev