NEET Exam  >  NEET Questions  >  A force f= -k(yi-xj) (where k is constant) ac... Start Learning for Free
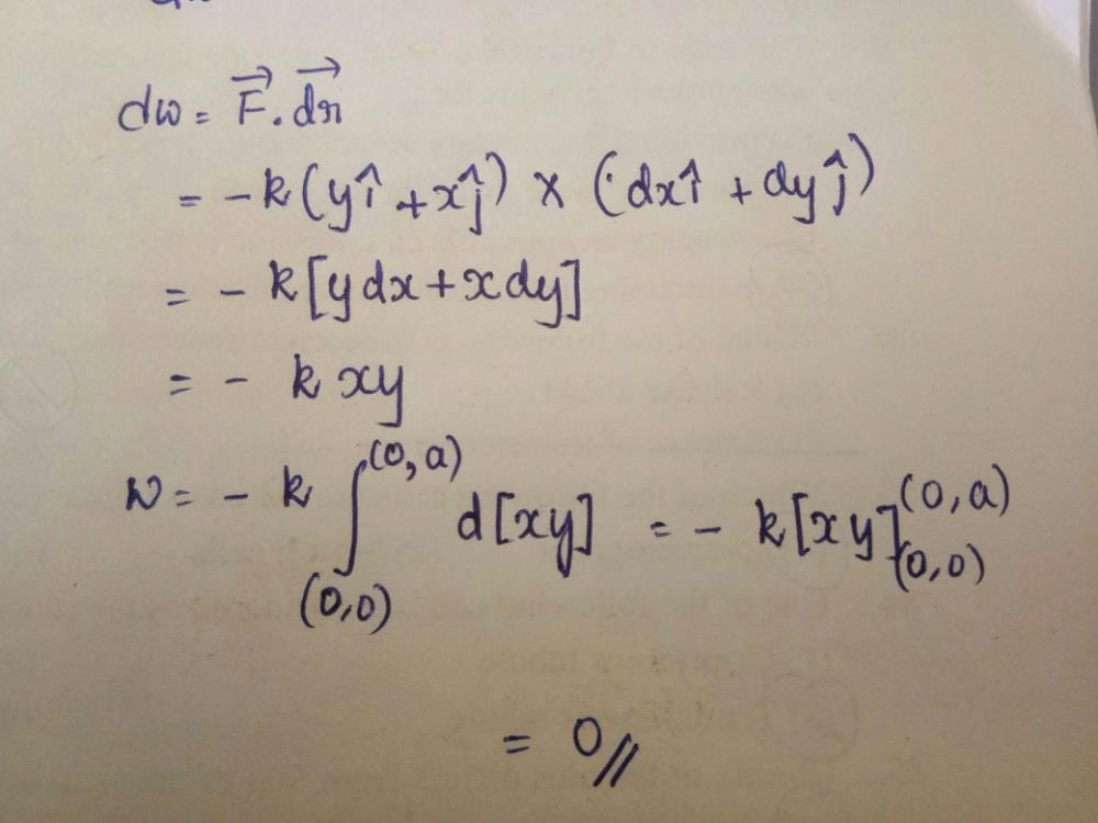
A force f= -k(yi-xj) (where k is constant) act on a particle moving in the xy plane. Starting from the origin the particle is taken along y-axis to the point (0,a). The work done by agent applying the force f on the particle is Opt 1 K^2(x^2 y^2) opt 2 zero Opt 3 Ky. Opt 4 kx?
Most Upvoted Answer
A force f= -k(yi-xj) (where k is constant) act on a particle moving in...
Answer:

Introduction:
In this problem, we have to find the work done by the agent applying the force f on the particle moving in the xy-plane.

Given:
Force f= -k(yi-xj) (where k is constant)

Calculation:
Let's take the particle from the origin to the point (0,a) along the y-axis.

The work done by the agent applying the force f on the particle is given by the formula:

W = ∫ (F . ds)

Where F is the force applied, ds is the displacement of the particle.

Let's calculate the work done in this case.

The displacement of the particle is ds = dy j, where j is the unit vector along the y-axis.

The force applied by the agent is F = -k(yi-xj), where i and j are the unit vectors along the x and y-axis respectively.

So, the dot product of F and ds is given by:

F . ds = (-k(yi-xj)) . (dy j) = -k(y dy)

Therefore, the work done by the agent is:

W = ∫ (-k(y dy)) = -k/2 (a^2 - 0^2) = -k/2 a^2

Hence, the correct option is Opt 1: K^2(x^2 y^2).

Conclusion:
The work done by the agent applying the force f on the particle is -k/2 a^2.
Community Answer
A force f= -k(yi-xj) (where k is constant) act on a particle moving in...
Explore Courses for NEET exam
Question Description
A force f= -k(yi-xj) (where k is constant) act on a particle moving in the xy plane. Starting from the origin the particle is taken along y-axis to the point (0,a). The work done by agent applying the force f on the particle is Opt 1 K^2(x^2 y^2) opt 2 zero Opt 3 Ky. Opt 4 kx? for NEET 2026 is part of NEET preparation. The Question and answers have been prepared according to the NEET exam syllabus. Information about A force f= -k(yi-xj) (where k is constant) act on a particle moving in the xy plane. Starting from the origin the particle is taken along y-axis to the point (0,a). The work done by agent applying the force f on the particle is Opt 1 K^2(x^2 y^2) opt 2 zero Opt 3 Ky. Opt 4 kx? covers all topics & solutions for NEET 2026 Exam. Find important definitions, questions, meanings, examples, exercises and tests below for A force f= -k(yi-xj) (where k is constant) act on a particle moving in the xy plane. Starting from the origin the particle is taken along y-axis to the point (0,a). The work done by agent applying the force f on the particle is Opt 1 K^2(x^2 y^2) opt 2 zero Opt 3 Ky. Opt 4 kx?.
Solutions for A force f= -k(yi-xj) (where k is constant) act on a particle moving in the xy plane. Starting from the origin the particle is taken along y-axis to the point (0,a). The work done by agent applying the force f on the particle is Opt 1 K^2(x^2 y^2) opt 2 zero Opt 3 Ky. Opt 4 kx? in English & in Hindi are available as part of our courses for NEET. Download more important topics, notes, lectures and mock test series for NEET Exam by signing up for free.
Here you can find the meaning of A force f= -k(yi-xj) (where k is constant) act on a particle moving in the xy plane. Starting from the origin the particle is taken along y-axis to the point (0,a). The work done by agent applying the force f on the particle is Opt 1 K^2(x^2 y^2) opt 2 zero Opt 3 Ky. Opt 4 kx? defined & explained in the simplest way possible. Besides giving the explanation of A force f= -k(yi-xj) (where k is constant) act on a particle moving in the xy plane. Starting from the origin the particle is taken along y-axis to the point (0,a). The work done by agent applying the force f on the particle is Opt 1 K^2(x^2 y^2) opt 2 zero Opt 3 Ky. Opt 4 kx?, a detailed solution for A force f= -k(yi-xj) (where k is constant) act on a particle moving in the xy plane. Starting from the origin the particle is taken along y-axis to the point (0,a). The work done by agent applying the force f on the particle is Opt 1 K^2(x^2 y^2) opt 2 zero Opt 3 Ky. Opt 4 kx? has been provided alongside types of A force f= -k(yi-xj) (where k is constant) act on a particle moving in the xy plane. Starting from the origin the particle is taken along y-axis to the point (0,a). The work done by agent applying the force f on the particle is Opt 1 K^2(x^2 y^2) opt 2 zero Opt 3 Ky. Opt 4 kx? theory, EduRev gives you an ample number of questions to practice A force f= -k(yi-xj) (where k is constant) act on a particle moving in the xy plane. Starting from the origin the particle is taken along y-axis to the point (0,a). The work done by agent applying the force f on the particle is Opt 1 K^2(x^2 y^2) opt 2 zero Opt 3 Ky. Opt 4 kx? tests, examples and also practice NEET tests.
Explore Courses for NEET exam

Top Courses for NEET

Explore Courses
Signup for Free!
Signup to see your scores go up within 7 days! Learn & Practice with 1000+ FREE Notes, Videos & Tests.
10M+ students study on EduRev