Electrical Engineering (EE) Exam  >  Electrical Engineering (EE) Questions  >  If vs1 = 6 V and vs 2 = -6 V then the value o... Start Learning for Free
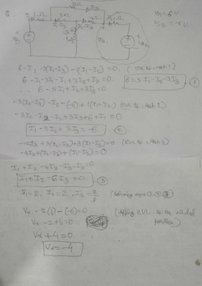
If vs1 = 6 V and vs 2 = -6 V then the value of vα is
  • a)
    4V
  • b)
    -4V
  • c)
    6V
  • d)
    -6V
Correct answer is option 'B'. Can you explain this answer?
Verified Answer
If vs1 = 6 V and vs 2 = -6 V then the value of vα isa)4Vb)-4Vc)6...
Since both source have opposite polarity, hence short circuit the all straight-through connection as shown in fig. S.1.4.33

View all questions of this test
Most Upvoted Answer
If vs1 = 6 V and vs 2 = -6 V then the value of vα isa)4Vb)-4Vc)6...
Explore Courses for Electrical Engineering (EE) exam
Question Description
If vs1 = 6 V and vs 2 = -6 V then the value of vα isa)4Vb)-4Vc)6Vd)-6VCorrect answer is option 'B'. Can you explain this answer? for Electrical Engineering (EE) 2026 is part of Electrical Engineering (EE) preparation. The Question and answers have been prepared according to the Electrical Engineering (EE) exam syllabus. Information about If vs1 = 6 V and vs 2 = -6 V then the value of vα isa)4Vb)-4Vc)6Vd)-6VCorrect answer is option 'B'. Can you explain this answer? covers all topics & solutions for Electrical Engineering (EE) 2026 Exam. Find important definitions, questions, meanings, examples, exercises and tests below for If vs1 = 6 V and vs 2 = -6 V then the value of vα isa)4Vb)-4Vc)6Vd)-6VCorrect answer is option 'B'. Can you explain this answer?.
Solutions for If vs1 = 6 V and vs 2 = -6 V then the value of vα isa)4Vb)-4Vc)6Vd)-6VCorrect answer is option 'B'. Can you explain this answer? in English & in Hindi are available as part of our courses for Electrical Engineering (EE). Download more important topics, notes, lectures and mock test series for Electrical Engineering (EE) Exam by signing up for free.
Here you can find the meaning of If vs1 = 6 V and vs 2 = -6 V then the value of vα isa)4Vb)-4Vc)6Vd)-6VCorrect answer is option 'B'. Can you explain this answer? defined & explained in the simplest way possible. Besides giving the explanation of If vs1 = 6 V and vs 2 = -6 V then the value of vα isa)4Vb)-4Vc)6Vd)-6VCorrect answer is option 'B'. Can you explain this answer?, a detailed solution for If vs1 = 6 V and vs 2 = -6 V then the value of vα isa)4Vb)-4Vc)6Vd)-6VCorrect answer is option 'B'. Can you explain this answer? has been provided alongside types of If vs1 = 6 V and vs 2 = -6 V then the value of vα isa)4Vb)-4Vc)6Vd)-6VCorrect answer is option 'B'. Can you explain this answer? theory, EduRev gives you an ample number of questions to practice If vs1 = 6 V and vs 2 = -6 V then the value of vα isa)4Vb)-4Vc)6Vd)-6VCorrect answer is option 'B'. Can you explain this answer? tests, examples and also practice Electrical Engineering (EE) tests.
Explore Courses for Electrical Engineering (EE) exam

Top Courses for Electrical Engineering (EE)

Explore Courses
Signup for Free!
Signup to see your scores go up within 7 days! Learn & Practice with 1000+ FREE Notes, Videos & Tests.
10M+ students study on EduRev